Three-Dimensional Transient Electric Field Characteristics of High Pressure Electrode Boilers
Abstract
1. Introduction
2. Calculation Method and Model
2.1. Three-Dimensional Electric Field Calculation Method
2.2. Physical Models and Assumptions
- (1)
- Ignoring the small gap, unevenness, and other small structures inside the electrode boiler, the surface of each component is regarded as smooth, which is convenient for calculation and processing;
- (2)
- Ignoring the influence of temperature rise on the material properties during the operation of the electrode boiler and assuming that the material properties do not change with the direction, that is, isotropic;
- (3)
- Ignoring the difference in fluid flow caused by gravity at different heights of the boiler, especially in the high temperature and high-pressure environment, the influence of gravity can be ignored;
- (4)
- It is assumed that the boiler’s inner coating is uniform, the heat conduction conditions of the wall are consistent, and good insulation performance is maintained;
- (5)
- The simplified model only models the high-voltage electrode, electrode plate, electrode rod, and furnace water in the electrode system.
2.3. Mesh Model and Independence Verification
2.4. Boundary Conditions and Excitation Settings
3. Results and Analysis
3.1. Analysis of Electric Field Distribution Characteristics under Nominal Voltage
3.2. The Influence of Three-Phase Voltage Imbalance on Transient Electric Field
3.2.1. The Influence of Different Voltages on the Transient Electric Field
3.2.2. The Impact of Different Voltage Phase Deviations on Transient Electric Fields
3.2.3. The Influence of Different Voltage Amplitude Deviation on Transient Electric Field
4. Conclusions
- (1)
- The closer the cross-section is to the electrode disk, the more pronounced the uneven distribution of the three-phase transient electric field. The electric field distribution is most uniform at a cross-section of 1.4 m.
- (2)
- The charged particles in the TNP solution in the furnace water of an electrode boiler rotate horizontally and vertically under the action of a three-phase AC electric field. When the furnace water is heated, the charged particles spiral up and down.
- (3)
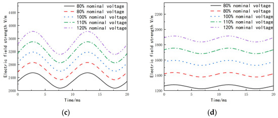
- When different voltages are applied to the electrode system of an electrode boiler, the points of maximum electric field strength on the four surfaces change periodically over time. The magnitude of the maximum electric field strength in the cross-section is positively correlated with the increase in voltage. The larger the voltage, the higher the maximum electric field strength. The maximum waveform is at 120% of the nominal voltage, and the minimum waveform is at 80% of the nominal voltage.
- (4)
- The maximum electric field intensity value of the cross-section shifts with the increase of the initial phase of phase A voltage during the cycle, and the shift becomes more severe with the increase of phase angle. The optimal average electric field strength value is obtained at nominal voltage and phase angle deviation of 0°.
- (5)
- The maximum electric field intensity in the cross-section positively correlates with the amplitude deviation. The maximum waveform has an amplitude deviation of 7%, and the minimum waveform has an amplitude deviation of 0%. The average electric field strength is linearly positively correlated with the deviation of voltage amplitude.
Author Contributions
Funding
Data Availability Statement
Conflicts of Interest
References
- Xu, F.; Min, Y.; Chen, L.; Chen, Q.; Hu, W.; Zhang, W.L.; Wang, X.H.; Hou, Y.H. Combined electricity-heat operation system containing large capacity thermal energy storage. Proc. CSEE 2014, 34, 5063–5072. [Google Scholar]
- Wang, H.; Dong, H.; Du, Q.; Wei, G. Current situation and prospect of electrode boiler in China. Therm. Energy Power Eng. 2023, 38, 1–12. [Google Scholar]
- Manni, M.; Nicolini, A.; Cotana, F. Performance assessment of an electrode boiler for power-to-heat conversion in sustainable energy districts. Energy Build. 2022, 277, 112569. [Google Scholar] [CrossRef]
- Shi, T.; Chen, Z.; Guo, S.; Li, D. Fast-Frequency-Response Control Method for Electrode Boilers Supporting New Energy Accommodation. Processes 2023, 11, 3098. [Google Scholar] [CrossRef]
- Gicevskis, K.; Linkevics, O. The Role of Decentralized Electrode Boiler in Ancillary Services and District Heating: A Feasibility Assessment. Latv. J. Phys. Tech. Sci. 2023, 60, 32–42. [Google Scholar] [CrossRef]
- Nielsen, R.J.; Pedersen, T.E. Electrode boiler model for ancillary service simulation. In Proceedings of the 15th International Modelica Conference 2023, Aachen, Germany, 9–11 October 2023; pp. 589–598. [Google Scholar]
- Carneiro, J. Reduction of GHG Emissions and Increase Operational Reliability Using Immersed Electrode Boiler in an Alumina Refinery. Light Met. 2023, 2023, 191. [Google Scholar]
- Ramonas, Č.; Kepalas, V.; Adomavičius, V. Research of the grid-tied power system consisting of wind turbine and boiler GALAN. Elektron. Ir Elektrotechnika 2010, 10, 27–32. [Google Scholar]
- Yang, X.; Ye, T.; Zhang, Y. A novel optimization model for combined wind power accommodation and electric boiler with thermal storage. Int. J. Energy Res. 2019, 43, 6494–6509. [Google Scholar] [CrossRef]
- Yuan, X.; Ma, J.; Zhang, Q.; Mo, R. Study on improving operation flexibility of heating unit by using electrode boiler. Electr. Power Sci. Eng. 2018, 34, 42. [Google Scholar]
- Hutabarat, R.; Nugroho, G. High voltage electrode boiler implementation using hydropower in a process steam production scenario. AIP Conf. Proc. 2019, 2088, 030008. [Google Scholar]
- Zhang, P.; Wang, S.; He, Z.; Zhang, R.; Zhou, T.; Ye, H.; Zhang, N. Optimal economic dispatch method of High pressure electrode boiler combined with coal power Unit participating in frequency modulation Service. Sci. Technol. Eng. 2012, 22, 10109–10115. [Google Scholar]
- Wu, B.; Wu, H. Reverse power control method of steam water parameters for nuclear power electrode Immersion Boiler. Electr. Power China 2017, 50, 107–112+123. [Google Scholar]
- Yuan, X. Research on Mechanism Modeling and Dynamic Characteristics of Electrode Immersion Boiler System. Master’s Thesis, North China Electric Power University, Beijing, China, 2019. [Google Scholar]
- Yuan, X.; Ma, J.; Qiang, S. Research on decoupling of Power and Steam Temperature Control System of Electrode Boiler. Comput. Simul. 2019, 36, 136–141. [Google Scholar]
- Ma, J.; Qiang, S.; Yuan, X. Research on Mathematical Modeling of Electrode Boiler Based on Dynamic Neural Network. Comput. Simul. 2019, 36, 126–130. [Google Scholar]
- Kang, C.; Chen, H.; Zhao, Y.; Han, B.; Feng, G.; Yang, J.; Huibert, T.V.; Jiang, J.N. High performance distributed electric heating energy system based on High voltage electrode electric boiler. China South. Power Grid Technol. 2017, 11, 35–44. [Google Scholar]
- Zheng, Z. Study on Corrosion Characteristics of Boiler High Pressure Electrode. Master’s Thesis, Xinjiang University, Urumqi, China, 2021. [Google Scholar]
- Sano, M.B.; DeWitt, M.R. Thermochromic tissue phantoms for evaluating temperature distribution in simulated clinical applications of pulsed electric field therapies. Bioelectricity 2020, 2, 362–371. [Google Scholar] [CrossRef] [PubMed]
- Büttgenbach, S.; Constantinou, I.; Dietzel, A.; Leester-Schädel, M.; Büttgenbach, S.; Constantinou, I.; Dietzel, A.; Leester-Schädel, M. Surface Micromachined Acceleration Sensors. In Case Studies in Micromechatronics: From Systems to Processes; Springer: Berlin/Heidelberg, Germany, 2020; pp. 87–144. [Google Scholar]
- Lim, A.E.; Goh, S. Effect of microchannel diameter on electroosmotic flow hysteresis. Energies 2023, 16, 2154. [Google Scholar] [CrossRef]
- Jiang, S.; Zhou, Y. Research on electric field Distribution Characteristics of Immersed electrode Boiler. Comput. Simul. 2022, 39, 248–252. [Google Scholar]
- Lin, X.; Nie, Y.; Zhu, T.; Li, Z.; Fang, W. Research on 3D Transient Electric Field Calculation of High Voltage Switchgear. High Volt. Appar. 2020, 56, 56–62. [Google Scholar]


















| Geometric Parameter | Numerical Value | Geometric Parameter | Numerical Value |
|---|---|---|---|
| High voltage electrode radius/m | 0.04 | High voltage electrode length/m | 0.69 |
| Electrode rod radius/m | 0.025 | Electrode rod length/m | 1.6 |
| Furnace water radius/m | 1.6 | Furnace water height/m | 2.2 |
| Inner radius of the electrode disk/m | 0.29 | The outer radius of the electrode disk/m | 0.69 |
| Electrode disc thickness/m | 0.035 |
| Geometrical Parameter | Relative Dielectric Constant | Electrical Conductivity (s/m) | Materials |
|---|---|---|---|
| High voltage electrode | 1 | 5.8 × 107 | Copper |
| Electrode bar | 2.3 | 4.032 × 106 | Stainless steel |
| Electrode disk | 2.3 | 4.032 × 106 | Stainless steel |
| Furnace water | 2.9 | 8 × 10−2 | Trisodium phosphate solution |
Disclaimer/Publisher’s Note: The statements, opinions and data contained in all publications are solely those of the individual author(s) and contributor(s) and not of MDPI and/or the editor(s). MDPI and/or the editor(s) disclaim responsibility for any injury to people or property resulting from any ideas, methods, instructions or products referred to in the content. |
© 2024 by the authors. Licensee MDPI, Basel, Switzerland. This article is an open access article distributed under the terms and conditions of the Creative Commons Attribution (CC BY) license (https://creativecommons.org/licenses/by/4.0/).
Share and Cite
He, X.; Ruan, Y.; Wang, W. Three-Dimensional Transient Electric Field Characteristics of High Pressure Electrode Boilers. Electronics 2024, 13, 1615. https://doi.org/10.3390/electronics13091615
He X, Ruan Y, Wang W. Three-Dimensional Transient Electric Field Characteristics of High Pressure Electrode Boilers. Electronics. 2024; 13(9):1615. https://doi.org/10.3390/electronics13091615
Chicago/Turabian StyleHe, Xiaoke, Yushuai Ruan, and Weishu Wang. 2024. "Three-Dimensional Transient Electric Field Characteristics of High Pressure Electrode Boilers" Electronics 13, no. 9: 1615. https://doi.org/10.3390/electronics13091615
APA StyleHe, X., Ruan, Y., & Wang, W. (2024). Three-Dimensional Transient Electric Field Characteristics of High Pressure Electrode Boilers. Electronics, 13(9), 1615. https://doi.org/10.3390/electronics13091615
