CMCA-YOLO: A Study on a Real-Time Object Detection Model for Parking Lot Surveillance Imagery
Abstract
1. Introduction
1.1. Research Background
1.2. Traditional Methods and Problems
1.3. Research Significance and Contribution
- (1)
- Conception and implementation of the CMCA-YOLO model. This study introduces the Criss-Cross Multi-Spectral Channel Attention (CMCA) module for the first time, utilizing the cross-attention mechanism to delve into pixel-level contextual information to differentiate the background and employing Discrete Cosine Transform (DCT) to analyze channel frequencies in video frames, effectively capturing and compressing key channel information. This method allows the model to more accurately focus on features of varying sizes and frequencies, significantly enhancing the recognition capabilities for small and overlapping targets. Especially in parking lot environments with frequent changes in lighting and interweaving of people and vehicles, the model demonstrates exceptional performance improvements;
- (2)
- Creation of a dedicated parking lot scene dataset. The research team organized and constructed a parking lot scene dataset containing 4502 images, covering a variety of environmental conditions and target types. This dataset not only provides valuable resources for training and evaluating the CMCA-YOLO model but also fills the gap in existing datasets, offering a practical benchmark for future research;
- (3)
- Comprehensive efficacy validation. Through a series of ablation experiments and comparisons with existing leading models, this study comprehensively validates the effectiveness and superiority of the CMCA-YOLO model. Experiment results show that CMCA-YOLO outperforms comparative models in multiple performance metrics, especially in handling complex surveillance scenarios, highlighting the model’s tremendous potential in practical applications.
2. Related Work
2.1. The Evolution and Optimization of Intelligent Surveillance Systems
2.2. Research on Lightweight Strategies for Object Detection Models
2.3. Optimization Strategies for Object Detection Models in Complex Scenarios
2.4. Comparison with Existing Models
3. Methodology
3.1. CMCA-YOLO Model
3.2. CMCA Module
3.2.1. CCA Mechanism
| Algorithm 1. Criss-Cross Attention |
| Input: X ∈ Output: Y ∈ 1: Initialize γ as a learnable scale parameter set to 0 2: Define Conv1×1_query, Conv1×1_key, Conv1×1_value as 1 × 1 convolution layers with input dimension 3: Define INF as a large negative value (e.g., ) for masking 4: for each x ∈ X do 5: Q ← Conv1×1_query(x) 6: K ← Conv1×1_key(x) 7: V ← Conv1×1_value(x) 8: ← reshape(Q) for horizontal and vertical attention 9: ← reshape(K) for horizontal and vertical attention 10: ←) + repeat(INF, B × W, H, H)) 11: ←)) 12: ← reshape(V) for horizontal and vertical attention 13: ←) 14: ←) 15: Y ← Y + γ ∗) 16: end for 17: return Y |
3.2.2. MSCA Mechanism
| Algorithm 2. Multi-Spectral Channel Attention |
| Input: X ∈, reduction Output: Y ∈ ← GetFreqIndices(FreqSelMethod) ←/7) ←) 4: FC ← Sequential(Linear(channel, channel/reduction), ReLU, Linear(channel/reduction, channel), Sigmoid) 5: Initialize Y as a tensor of zeros with the same shape as X 6: for each feature map x in X do 7: if h ≠ dct_h or w ≠ dct_w then ←) else ← x 10: y_dct ← apply DCT_filters to x_resized and sum over the last two dimensions 11: attention_weights ← FC(y_dct).reshape(N, C, 1, 1) 12: Y ← Y + (x ∗ AttentionWeights) 13: end for 14: return Y |
4. Experiments
4.1. Dataset
4.2. Experiments and Testing
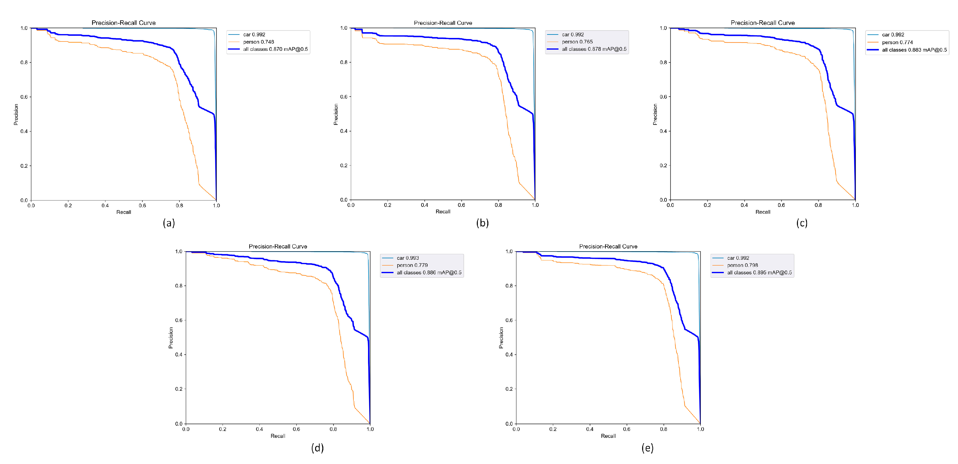
4.3. Discussion of Experimental Results
| Algorithm 3. Data Smooth |
| Input: y, 1: y ← np.array(y) 2: reflection ← y 3: box ← np.ones(box_pts)/box_pts 4: if > 1 then reflection ← concatenate(2∗[0]:1:−1], y, 2∗:−1:−1]) 5: ← np.convolve(reflection, box, mode=‘same’) 6: start ← > 1 else 0 7: end ← − > 1 else None 8: ← [start:end] 9: |
5. Conclusions
Author Contributions
Funding
Data Availability Statement
Acknowledgments
Conflicts of Interest
References
- Elharrouss, O.; Almaadeed, N.; Al-Maadeed, S. A review of video surveillance systems. J. Vis. Commun. Image Represent. 2021, 77, 103–116. [Google Scholar] [CrossRef]
- Gowsikhaa, D.; Abirami, S.; Baskaran, R. Automated human behavior analysis from surveillance videos: A survey. Artif. Intell. Rev. 2014, 42, 747–765. [Google Scholar] [CrossRef]
- Verma, K.K.; Singh, B.M.; Dixit, A. A review of supervised and unsupervised machine learning techniques for suspicious behavior recognition in intelligent surveillance system. Int. J. Inf. Technol. 2022, 14, 397–410. [Google Scholar] [CrossRef]
- Kumar, M.; Ray, S.; Yadav, D.K. Moving human detection and tracking from thermal video through intelligent surveillance system for smart applications. Multimed. Tools Appl. 2023, 82, 39551–39570. [Google Scholar] [CrossRef]
- Swain, M.J.; Ballard, D.H. Color indexing. Int. J. Comput. Vis. 1991, 7, 11–32. [Google Scholar] [CrossRef]
- Gupte, S.; Masoud, O.; Martin, R.F.K.; Papanikolopoulos, N.P. Detection and classification of vehicles. IEEE Trans. Intell. Transp. Syst. 2002, 3, 37–47. [Google Scholar] [CrossRef]
- Stein, G.P. System and Method for Detecting Obstacles to Vehicle Motion and Determining Time to Contact Therewith Using Sequences of Images. U.S. Patent 7,113,867, 26 September 2006. [Google Scholar]
- Sun, D.; Roth, S.; Black, M.J. Secrets of optical flow estimation and their principles. In Proceedings of the 2010 IEEE Computer Society Conference on Computer Vision and Pattern Recognition, San Francisco, CA, USA, 13–18 June 2010; IEEE: Piscataway, NJ, USA, 2010; pp. 2432–2439. [Google Scholar]
- Krizhevsky, A.; Sutskever, I.; Hinton, G.E. ImageNet classification with deep convolutional neural networks. Adv. Neural Inf. Process. Syst. 2012, 25, 1097–1105. [Google Scholar] [CrossRef]
- Girshick, R.; Donahue, J.; Darrell, T.; Malik, J. Region-based convolutional networks for accurate object detection and segmentation. IEEE Trans. Pattern Anal. Mach. Intell. 2015, 38, 142–158. [Google Scholar] [CrossRef]
- Girshick, R. Fast r-cnn. In Proceedings of the IEEE International Conference on Computer Vision, Santiago, Chile, 7–13 December 2015; pp. 1440–1448. [Google Scholar]
- Ren, S.; He, K.; Girshick, R.; Sun, J. Faster r-cnn: Towards real-time object detection with region proposal networks. Adv. Neural Inf. Process. Syst. 2015, 28. [Google Scholar] [CrossRef]
- Dai, J.; Li, Y.; He, K.; Sun, J. R-fcn: Object detection via region-based fully convolutional networks. Adv. Neural Inf. Process. Syst. 2016, 29. [Google Scholar]
- Redmon, J.; Divvala, S.; Girshick, R.; Farhadi, A. You only look once: Unified, real-time object detection. In Proceedings of the IEEE Conference on Computer Vision and Pattern Recognition, Las Vegas, NV, USA, 27–30 June 2016; pp. 779–788. [Google Scholar]
- Redmon, J.; Farhadi, A. YOLO9000: Better, faster, stronger. In Proceedings of the IEEE Conference on Computer Vision and Pattern Recognition, Honolulu, HI, USA, 21–26 July 2017; pp. 7263–7271. [Google Scholar]
- Redmon, J.; Farhadi, A. Yolov3: An incremental improvement. arXiv 2018, arXiv:1804.02767. [Google Scholar]
- Bochkovskiy, A.; Wang, C.Y.; Liao, H.Y.M. Yolov4: Optimal speed and accuracy of object detection. arXiv 2020, arXiv:2004.10934. [Google Scholar]
- Jocher, G. yolov5. 2021. Available online: https://github.com/ultralytics/yolov5 (accessed on 19 June 2023).
- Ge, Z.; Liu, S.; Wang, F.; Li, Z.; Sun, J. Yolox: Exceeding yolo series in 2021. arXiv 2021, arXiv:2107.08430. [Google Scholar]
- Wang, C.Y.; Bochkovskiy, A.; Liao, H.Y.M. YOLOv7: Trainable bag-of-freebies sets new state-of-the-art for real-time object detectors. In Proceedings of the IEEE/CVF Conference on Computer Vision and Pattern Recognition, Vancouver, BC, Canada, 18–22 June 2023; pp. 7464–7475. [Google Scholar]
- Jocher, G. yolov8. 2023. Available online: https://github.com/ultralytics/ultralytics (accessed on 25 June 2023).
- Liu, W.; Anguelov, D.; Erhan, D.; Szegedy, C.; Reed, S.; Fu, C.Y.; Berg, A.C. Ssd: Single shot multibox detector. In Proceedings of the Computer Vision–ECCV 2016: 14th European Conference, Amsterdam, The Netherlands, 11–14 October 2016; Proceedings, Part I 14. Springer International Publishing: Cham, Switzerland, 2016; pp. 21–37. [Google Scholar]
- Fu, C.Y.; Liu, W.; Ranga, A.; Tyagi, A.; Berg, A.C. Dssd: Deconvolutional single shot detector. arXiv 2017, arXiv:1701.06659. [Google Scholar]
- Lin, T.Y.; Goyal, P.; Girshick, R.; He, K.; Dollár, P. Focal loss for dense object detection. In Proceedings of the IEEE International Conference on Computer Vision, Venice, Italy, 22–29 October 2017; pp. 2980–2988. [Google Scholar]
- He, K.; Zhang, X.; Ren, S.; Sun, J. Deep residual learning for image recognition. In Proceedings of the IEEE Conference on Computer Vision and Pattern Recognition, Las Vegas, NV, USA, 27–30 June 2016; pp. 770–778. [Google Scholar]
- Woo, S.; Park, J.; Lee, J.Y.; Kweon, I.S. Cbam: Convolutional block attention module. In Proceedings of the European conference on computer vision (ECCV), Munich, Germany, 8–14 September 2018; pp. 3–19. [Google Scholar]
- Hu, J.; Shen, L.; Sun, G. Squeeze-and-excitation networks. In Proceedings of the IEEE Conference on Computer Vision and Pattern Recognition, Salt Lake City, UT, USA, 18–22 June 2018; pp. 7132–7141. [Google Scholar]
- Yang, L.; Zhang, R.Y.; Li, L.; Xie, X. Simam: A simple, parameter-free attention module for convolutional neural networks. In Proceedings of the International Conference on Machine Learning, Online, 18–24 July 2021; PMLR. pp. 11863–11874. [Google Scholar]
- Vaswani, A.; Shazeer, N.; Parmar, N.; Uszkoreit, J.; Jones, L.; Gomez, A.N.; Kaiser, Ł.; Polosukhin, I. Attention is all you need. Adv. Neural Inf. Process. Syst. 2017, 30. [Google Scholar]
- Carion, N.; Massa, F.; Synnaeve, G.; Usunier, N.; Kirillov, A.; Zagoruyko, S. End-to-end object detection with transformers. In Proceedings of the European Conference on Computer Vision, Glasgow, UK, 23–28 August 2020; Springer International Publishing: Cham, Switzerland, 2020; pp. 213–229. [Google Scholar]
- Dosovitskiy, A.; Beyer, L.; Kolesnikov, A.; Weissenborn, D.; Zhai, X.; Unterthiner, T.; Dehghani, M.; Minderer, M.; Heigold, G.; Gelly, S.; et al. An image is worth 16x16 words: Transformers for image recognition at scale. arXiv 2020, arXiv:2010.11929. [Google Scholar]
- Kirillov, A.; Mintun, E.; Ravi, N.; Mao, H.; Rolland, C.; Gustafson, L.; Xiao, T.; Whitehead, S.; Berg, A.C.; Lo, W.-Y.; et al. Segment anything. In Proceedings of the IEEE/CVF International Conference on Computer Vision, Paris, France, 2–6 October 2023; pp. 4015–4026. [Google Scholar]
- Chen, K.; Liu, C.; Chen, H.; Zhang, H.; Li, W.; Zou, Z.; Shi, Z. RSPrompter: Learning to prompt for remote sensing instance segmentation based on visual foundation model. IEEE Trans. Geosci. Remote Sens. 2024, 62, 1–17. [Google Scholar] [CrossRef]
- Chen, K.; Zou, Z.; Shi, Z. Building extraction from remote sensing images with sparse token transformers. Remote Sens. 2021, 13, 4441. [Google Scholar] [CrossRef]
- Vijayakumar, A.; Vairavasundaram, S. YOLO-based Object Detection Models: A Review and its Applications. Multimed. Tools Appl. 2024, 1–40. [Google Scholar] [CrossRef]
- Ke, R.; Zhuang, Y.; Pu, Z.; Wang, Y. A smart, efficient, and reliable parking surveillance system with edge artificial intelligence on IoT devices. IEEE Trans. Intell. Transp. Syst. 2020, 22, 4962–4974. [Google Scholar] [CrossRef]
- Chen, X.; Wang, M.; Ling, J.; Wu, H.; Wu, B.; Li, C. Ship imaging trajectory extraction via an aggregated you only look once (YOLO) model. Eng. Appl. Artif. Intell. 2024, 130, 107742. [Google Scholar] [CrossRef]
- Nguyen, D.L.; Vo, X.T.; Priadana, A.; Jo, K.H. YOLO5PKLot: A Parking Lot Detection Network Based on Improved YOLOv5 for Smart Parking Management System. In International Workshop on Frontiers of Computer Vision; Springer Nature: Singapore, 2023; pp. 95–106. [Google Scholar]
- Ogawa, M.; Arnon, T.; Gruber, E. Identifying Parking Lot Occupancy with YOLOv5. J. Stud. Res. 2023, 12. [Google Scholar] [CrossRef]
- Wang, C.; He, W.; Nie, Y.; Guo, J.; Liu, C.; Wang, Y.; Han, K. Gold-YOLO: Efficient object detector via gather-and-distribute mechanism. Adv. Neural Inf. Process. Syst. 2024, 36, 51094–51112. [Google Scholar]
- Howard, A.; Sandler, M.; Chu, G.; Chen, L.C.; Chen, B.; Tan, M.; Wang, W.; Zhu, Y.; Pang, R.; Vasudevan, V.; et al. Searching for mobilenetv3. In Proceedings of the IEEE/CVF International Conference on Computer Vision, Seoul, Republic of Korea, 27 October–2 November 2019; pp. 1314–1324. [Google Scholar]
- Zhang, X.; Zhou, X.; Lin, M.; Sun, J. Shufflenet: An extremely efficient convolutional neural network for mobile devices. In Proceedings of the IEEE Conference on Computer Vision and Pattern Recognition, Salt Lake City, UT, USA, 18–22 June 2018; pp. 6848–6856. [Google Scholar]
- Zhao, Q.; Ma, W.; Zheng, C.; Li, L. Exploration of Vehicle Target Detection Method Based on Lightweight YOLOv5 Fusion Background Modeling. Appl. Sci. 2023, 13, 4088. [Google Scholar] [CrossRef]
- Zhang, Z.D.; Tan, M.L.; Lan, Z.C.; Liu, H.C.; Pei, L.; Yu, W.X. CDNet: A real-time and robust crosswalk detection network on Jetson nano based on YOLOv5. Neural Comput. Appl. 2022, 34, 10719–10730. [Google Scholar] [CrossRef]
- Song, F.; Li, P. YOLOv5-MS: Real-time multi-surveillance pedestrian target detection model for smart cities. Biomimetics 2023, 8, 480. [Google Scholar] [CrossRef] [PubMed]
- Liu, L.; Liang, J.; Wang, J.; Hu, P.; Wan, L.; Zheng, Q. An improved YOLOv5-based approach to soybean phenotype information perception. Comput. Electr. Eng. 2023, 106, 108582. [Google Scholar] [CrossRef]
- Dong, X.; Yan, S.; Duan, C. A lightweight vehicles detection network model based on YOLOv5. Eng. Appl. Artif. Intell. 2022, 113, 104914. [Google Scholar] [CrossRef]
- Li, S.; Yang, X.; Lin, X.; Zhang, Y.; Wu, J. Real-Time Vehicle Detection from UAV Aerial Images Based on Improved YOLOv5. Sensors 2023, 23, 5634. [Google Scholar] [CrossRef]
- Zhu, X.; Lyu, S.; Wang, X.; Zhao, Q. TPH-YOLOv5: Improved YOLOv5 based on transformer prediction head for object detection on drone-captured scenarios. In Proceedings of the IEEE/CVF International Conference on Computer Vision, Virtual, 11–17 October 2021; pp. 2778–2788. [Google Scholar]
- Sun, Y.; Zhi, X.; Han, H.; Jiang, S.; Shi, T.; Gong, J.; Zhang, W. Enhancing UAV Detection in Surveillance Camera Videos through Spatiotemporal Information and Optical Flow. Sensors 2023, 23, 6037. [Google Scholar] [CrossRef]
- Li, Y.; Fan, Q.; Huang, H.; Han, Z.; Gu, Q. A Modified YOLOv8 Detection Network for UAV Aerial Image Recognition. Drones 2023, 7, 304. [Google Scholar] [CrossRef]
- Mahaur, B.; Mishra, K.K. Small-object detection based on YOLOv5 in autonomous driving systems. Pattern Recognit. Lett. 2023, 168, 115–122. [Google Scholar] [CrossRef]
- Qu, Z.; Gao, L.; Wang, S.; Yin, H.; Yi, T. An improved YOLOv5 method for large objects detection with multi-scale feature cross-layer fusion network. Image Vis. Comput. 2022, 125, 104518. [Google Scholar] [CrossRef]
- Omar, N.; Sengur, A.; Al-Ali, S.G.S. Cascaded deep learning-based efficient approach for license plate detection and recognition. Expert Syst. Appl. 2020, 149, 113280. [Google Scholar] [CrossRef]
- Lou, H.; Duan, X.; Guo, J.; Liu, H.; Gu, J.; Bi, L.; Chen, H. DC-YOLOv8: Small-Size Object Detection Algorithm Based on Camera Sensor. Electronics 2023, 12, 2323. [Google Scholar] [CrossRef]
- Huang, Z.; Wang, X.; Huang, L.; Huang, C.; Wei, Y.; Liu, W. Ccnet: Criss-cross attention for semantic segmentation. In Proceedings of the IEEE/CVF International Conference on Computer Vision, Seoul, Republic of Korea, 27 October–2 November 2019; pp. 603–612. [Google Scholar]
- Qin, Z.; Zhang, P.; Wu, F.; Li, X. Fcanet: Frequency channel attention networks. In Proceedings of the IEEE/CVF International Conference on Computer Vision, Virtual, 11–17 October 2021; pp. 783–792. [Google Scholar]
- Cai, Z.; Vasconcelos, N. Cascade r-cnn: Delving into high quality object detection. In Proceedings of the IEEE Conference on Computer Vision and Pattern Recognition, Salt Lake City, UT, USA, 18–22 June 2018; pp. 6154–6162. [Google Scholar]
- Zhang, S.; Chi, C.; Yao, Y.; Lei, Z.; Li, S.Z. Bridging the gap between anchor-based and anchor-free detection via adaptive training sample selection. In Proceedings of the IEEE/CVF Conference on Computer Vision and Pattern Recognition, Seattle, WA, USA, 14–19 June 2020; pp. 9759–9768. [Google Scholar]
- Zhu, C.; He, Y.; Savvides, M. Feature selective anchor-free module for single-shot object detection. In Proceedings of the IEEE/CVF Conference on Computer Vision and Pattern Recognition, Long Beach, CA, USA, 15–20 June 2019; pp. 840–849. [Google Scholar]
- Selvaraju, R.R.; Cogswell, M.; Das, A.; Vedantam, R.; Parikh, D.; Batra, D. Grad-cam: Visual explanations from deep networks via gradient-based localization. In Proceedings of the IEEE International Conference on Computer Vision, Venice, Italy, 22–29 October 2017; pp. 618–626. [Google Scholar]
- Rafailov, R.; Sharma, A.; Mitchell, E.; Manning, C.D.; Ermon, S.; Finn, C. Direct Preference Optimization: Your Language Model is Secretly a Reward Model. arXiv 2023, arXiv:2305.18290. Available online: https://arxiv.org/abs/2305.18290 (accessed on 4 April 2024).
- de Zarzà, I.; de Curtò, J.; Roig, G.; Calafate, C.T. LLM Multimodal Traffic Accident Forecasting. Sensors 2023, 23, 9225. [Google Scholar] [CrossRef] [PubMed]
- Li, J.; Li, D.; Savarese, S.; Hoi, S. BLIP-2: Bootstrapping Language-Image Pre-training with Frozen Image Encoders and Large Language Models. arXiv 2023, arXiv:2301.12597. Available online: https://arxiv.org/abs/2301.12597 (accessed on 4 April 2024).
- Teterwak, P.; Sun, X.; Plummer, B.A.; Saenko, K.; Lim, S.-N. CLAMP: Contrastive Language Model Prompt-tuning. arXiv 2023, arXiv:2312.01629. Available online: https://arxiv.org/abs/2312.01629 (accessed on 4 April 2024).
- Cheng, T.; Song, L.; Ge, Y.; Liu, W.; Wang, X.; Shan, Y. YOLO-World: Real-Time Open-Vocabulary Object Detection. arXiv 2024, arXiv:2401.17270. [Google Scholar]










| Parameters | Value |
|---|---|
| Epoch | 120 |
| Batch size | 8 |
| Input image Size | 640 × 640 |
| weight decay | 0.0005 |
| Initial learning rate | 0.01 |
| Momentum | 0.937 |
| Optimizer | SGD |
| Workers | 8 |
| Data Augmentation | Mosaic |
| Method | mAP@0.5 | FPS |
|---|---|---|
| SSD [22] | 0.783 | 120.7 |
| RetinaNet [24] | 0.853 | 73.2 |
| Faster-RCNN [12] | 0.817 | 85.3 |
| Cascade R-CNN [58] | 0.832 | 63.6 |
| ATSS [59] | 0.836 | 110.7 |
| FSAF [60] | 0.824 | 115.4 |
| YOLOv8s [21] | 0.872 | 153.7 |
| Our Model | 0.895 | 143.7 |
| Method | Class | mAP@0.5 | FPS | |
|---|---|---|---|---|
| Car (AP) | Person (AP) | |||
| YOLOv5s | 0.992 | 0.748 | 0.870 | 149.6 |
| YOLOv5 + M1 | 0.992 | 0.771 | 0.881 | 144.8 |
| YOLOv5 + M2 | 0.992 | 0.775 | 0.883 | 146.5 |
| Our Model | 0.992 | 0.798 | 0.895 | 143.7 |
Disclaimer/Publisher’s Note: The statements, opinions and data contained in all publications are solely those of the individual author(s) and contributor(s) and not of MDPI and/or the editor(s). MDPI and/or the editor(s) disclaim responsibility for any injury to people or property resulting from any ideas, methods, instructions or products referred to in the content. |
© 2024 by the authors. Licensee MDPI, Basel, Switzerland. This article is an open access article distributed under the terms and conditions of the Creative Commons Attribution (CC BY) license (https://creativecommons.org/licenses/by/4.0/).
Share and Cite
Zhao, N.; Wang, K.; Yang, J.; Luan, F.; Yuan, L.; Zhang, H. CMCA-YOLO: A Study on a Real-Time Object Detection Model for Parking Lot Surveillance Imagery. Electronics 2024, 13, 1557. https://doi.org/10.3390/electronics13081557
Zhao N, Wang K, Yang J, Luan F, Yuan L, Zhang H. CMCA-YOLO: A Study on a Real-Time Object Detection Model for Parking Lot Surveillance Imagery. Electronics. 2024; 13(8):1557. https://doi.org/10.3390/electronics13081557
Chicago/Turabian StyleZhao, Ning, Ke Wang, Jiaxing Yang, Fengkai Luan, Liping Yuan, and Hu Zhang. 2024. "CMCA-YOLO: A Study on a Real-Time Object Detection Model for Parking Lot Surveillance Imagery" Electronics 13, no. 8: 1557. https://doi.org/10.3390/electronics13081557
APA StyleZhao, N., Wang, K., Yang, J., Luan, F., Yuan, L., & Zhang, H. (2024). CMCA-YOLO: A Study on a Real-Time Object Detection Model for Parking Lot Surveillance Imagery. Electronics, 13(8), 1557. https://doi.org/10.3390/electronics13081557

