Research on Fast Frequency Response Control Strategy of Hydrogen Production Systems
Abstract
1. Introduction
2. Model of Electrolytic Hydrogen Production Systems
2.1. Principle of Electrolytic Hydrogen Production
2.2. Simulation Model
2.2.1. Model of PEM Electrolyzer
2.2.2. Model of Hydrogen Storage Tank
2.2.3. Electrolyzer Dynamic Characteristics
3. Objective of Fast Frequency Response Control
3.1. The Principle of Frequency Response
3.2. Control Objectives of Primary Frequency Control
4. Strategy of Fast Frequency Response Control
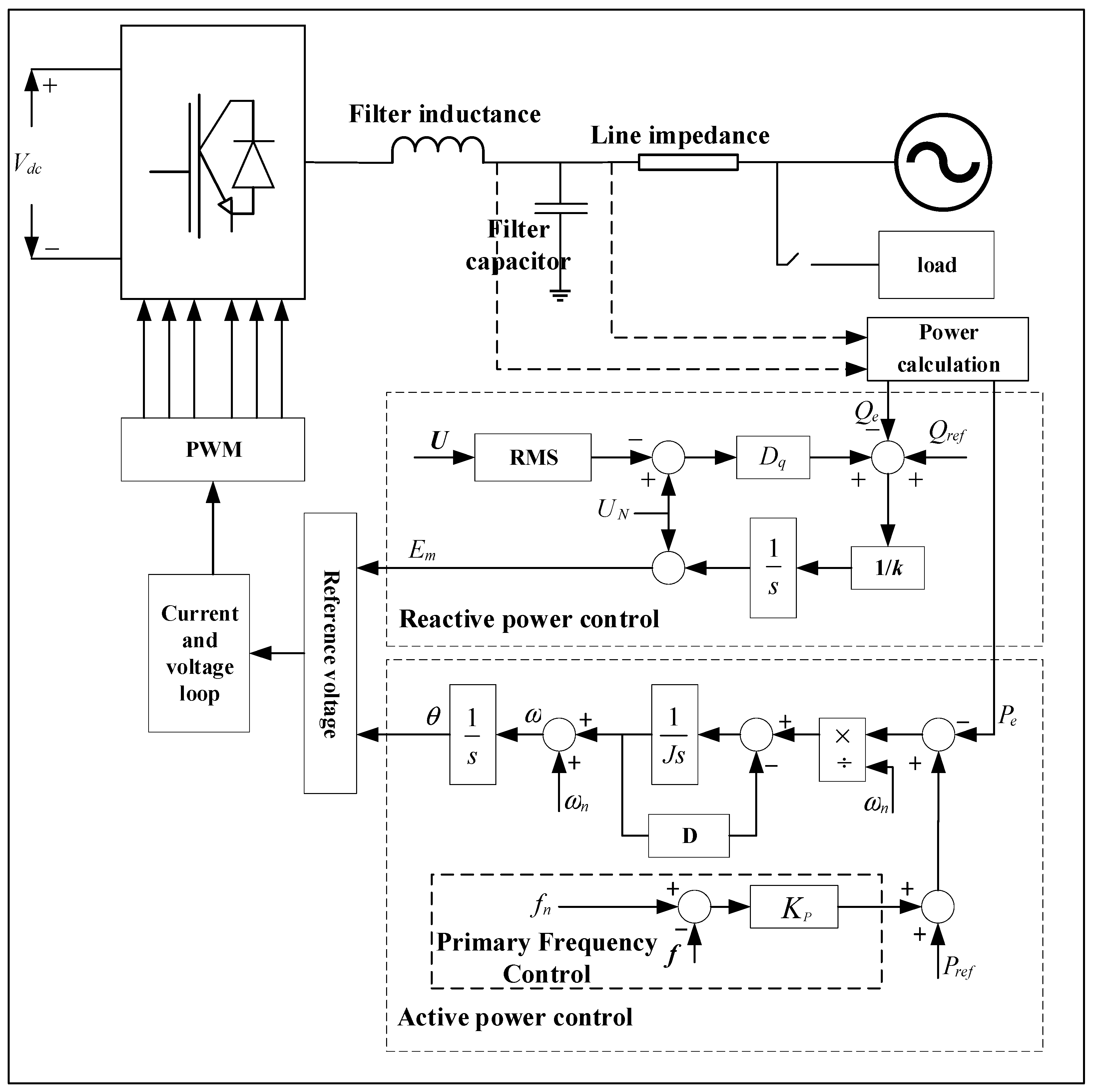
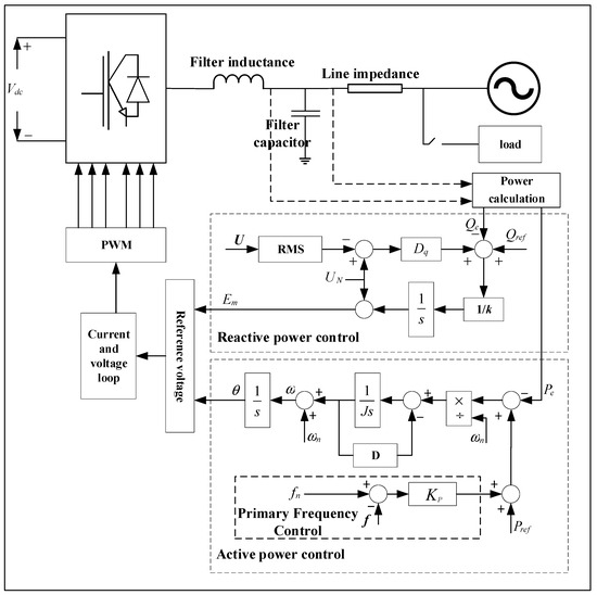
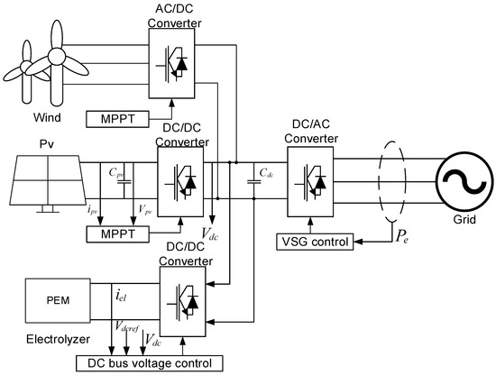
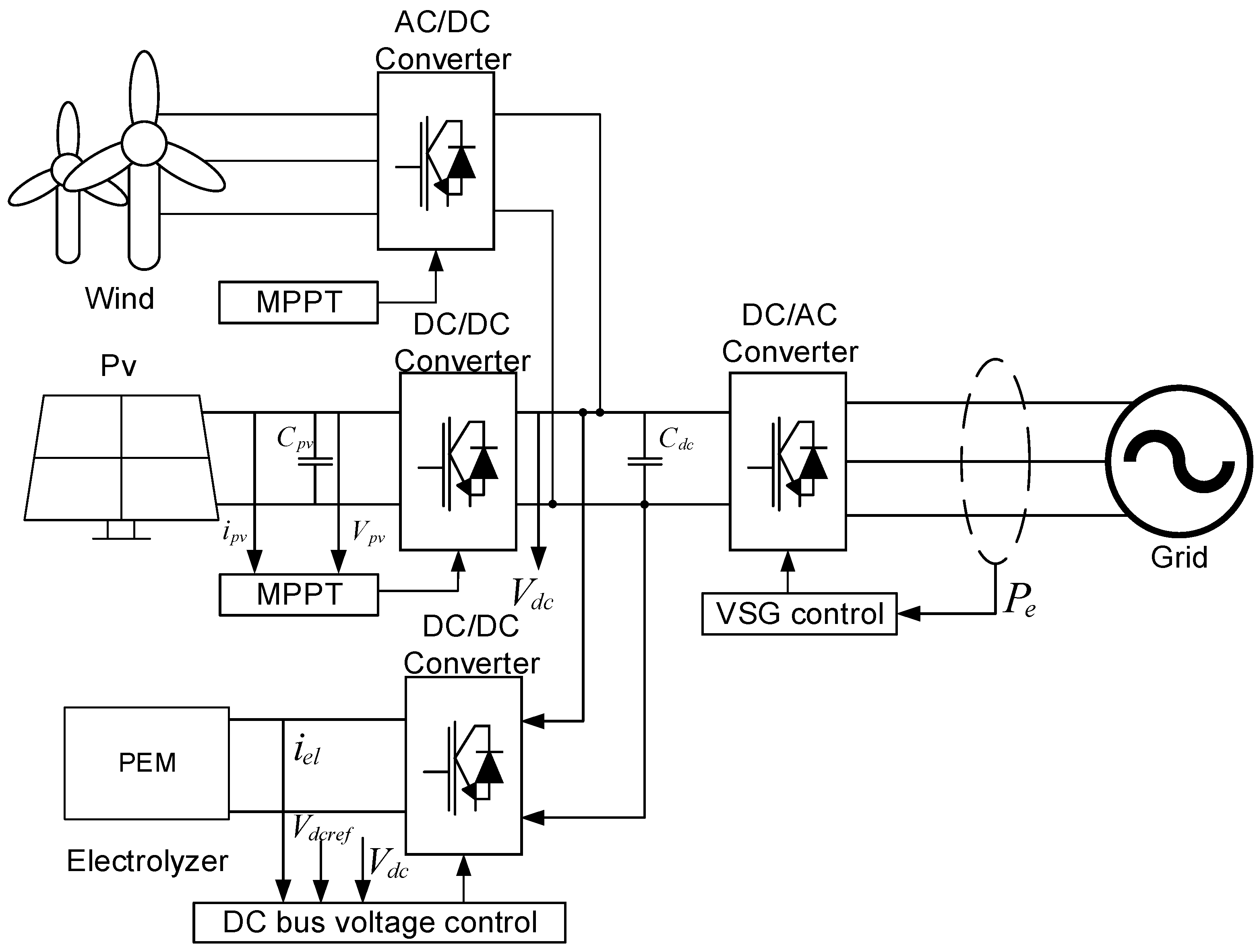
4.1. System Structure
4.2. DC/DC Converter Control Strategy on the Electrolyzer Side
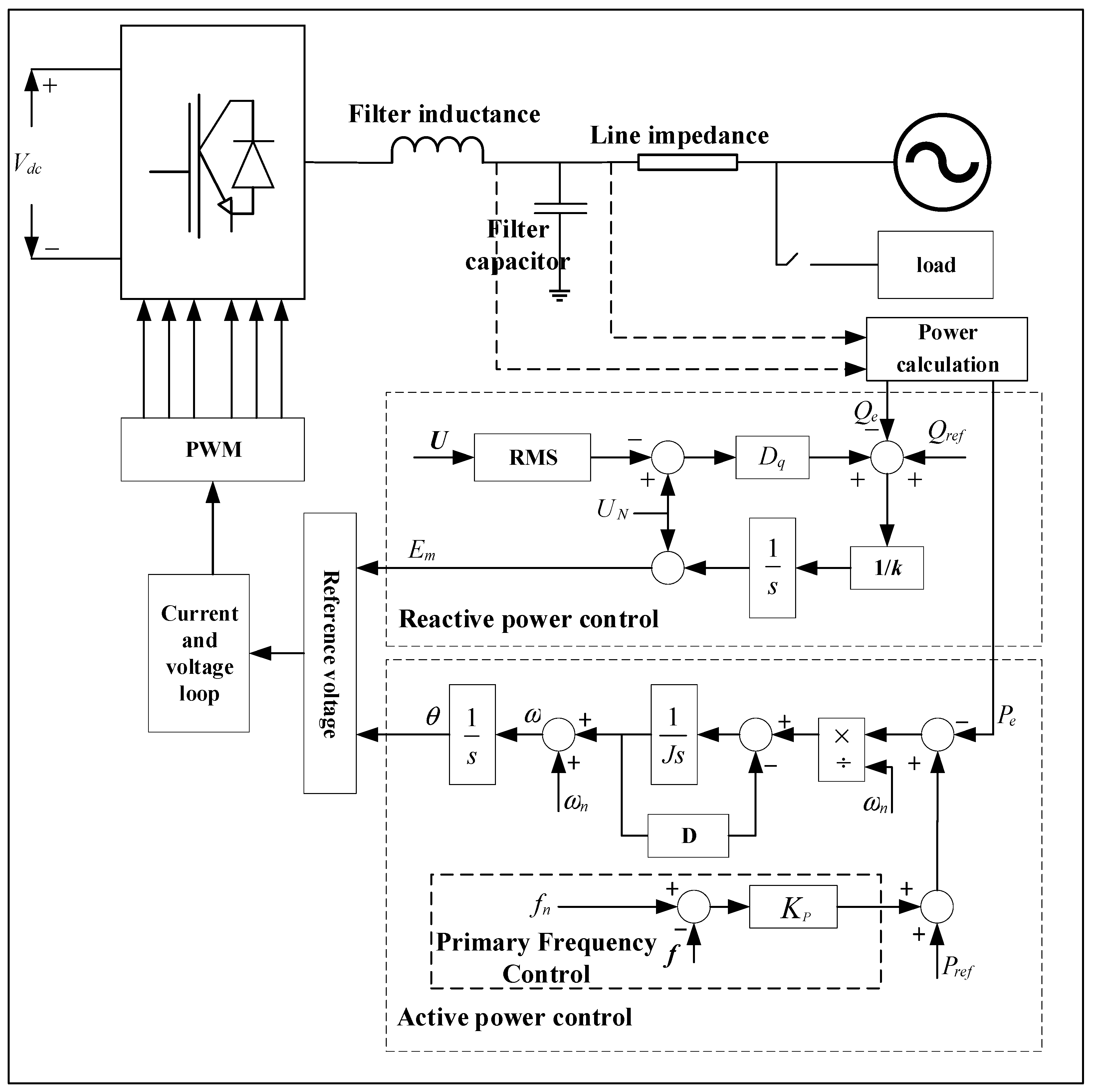
4.3. DC/AC Converter Control Strategy on the Power Grid Side
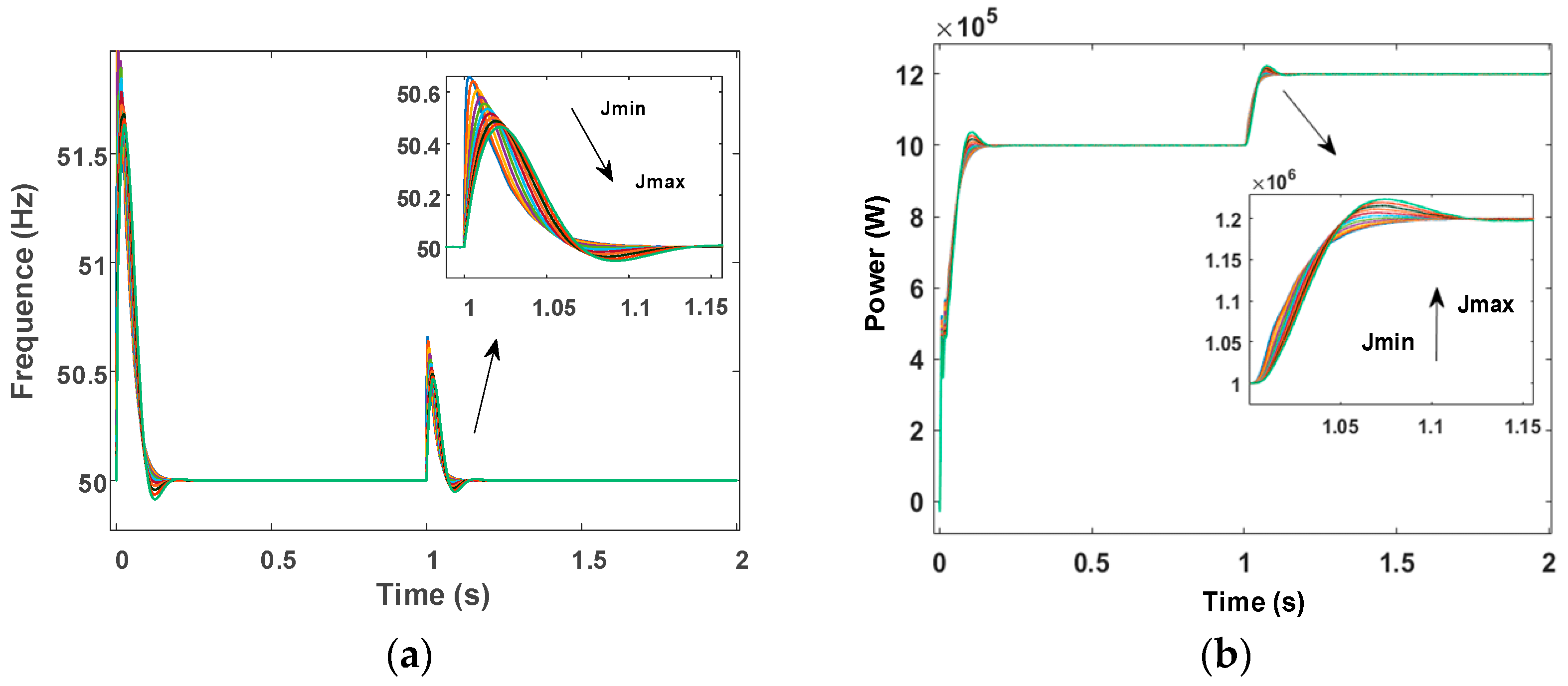
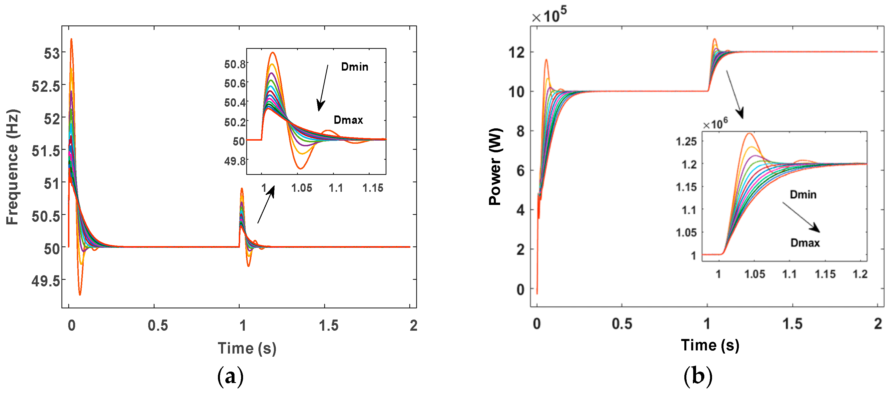
5. Fast Frequency Response Control Parameters on Regulation Performance
5.1. The Impact of System Control Parameters on Regulation Performance
5.2. Establishment of Control Parameter Optimization Model
5.3. Establishment of Adaptive Control Parameter Model
5.4. The Process of Parameter Optimization
- (a)
- Initialize particle parameters.
- (b)
- Calculate the ITAE value based on the VSG output frequency.
- (c)
- Update the individual best values and the global best solution based on the individual and overall ITAE values, finding the most suitable J and D for this iteration.
- (d)
- Modify the J and D of the VSG based on the particle swarm’s individual update formula.
- (e)
- After 20 iterations, calculate the ITAE value to complete optimization, and display the optimized J and D.
- (f)
- Conduct a grid-connected simulation using the optimized and .
- (g)
- Monitor the VSG output angular frequency and angular frequency rate changes during operation.
- (h)
- Determine if the VSG output angular frequency rate exceeds the threshold.
- (i)
- If the threshold is exceeded, adaptively adjust the VSG’s moment of inertia and damping coefficient online, based on the designed VSG control parameters.
6. Case Study
6.1. Case Description
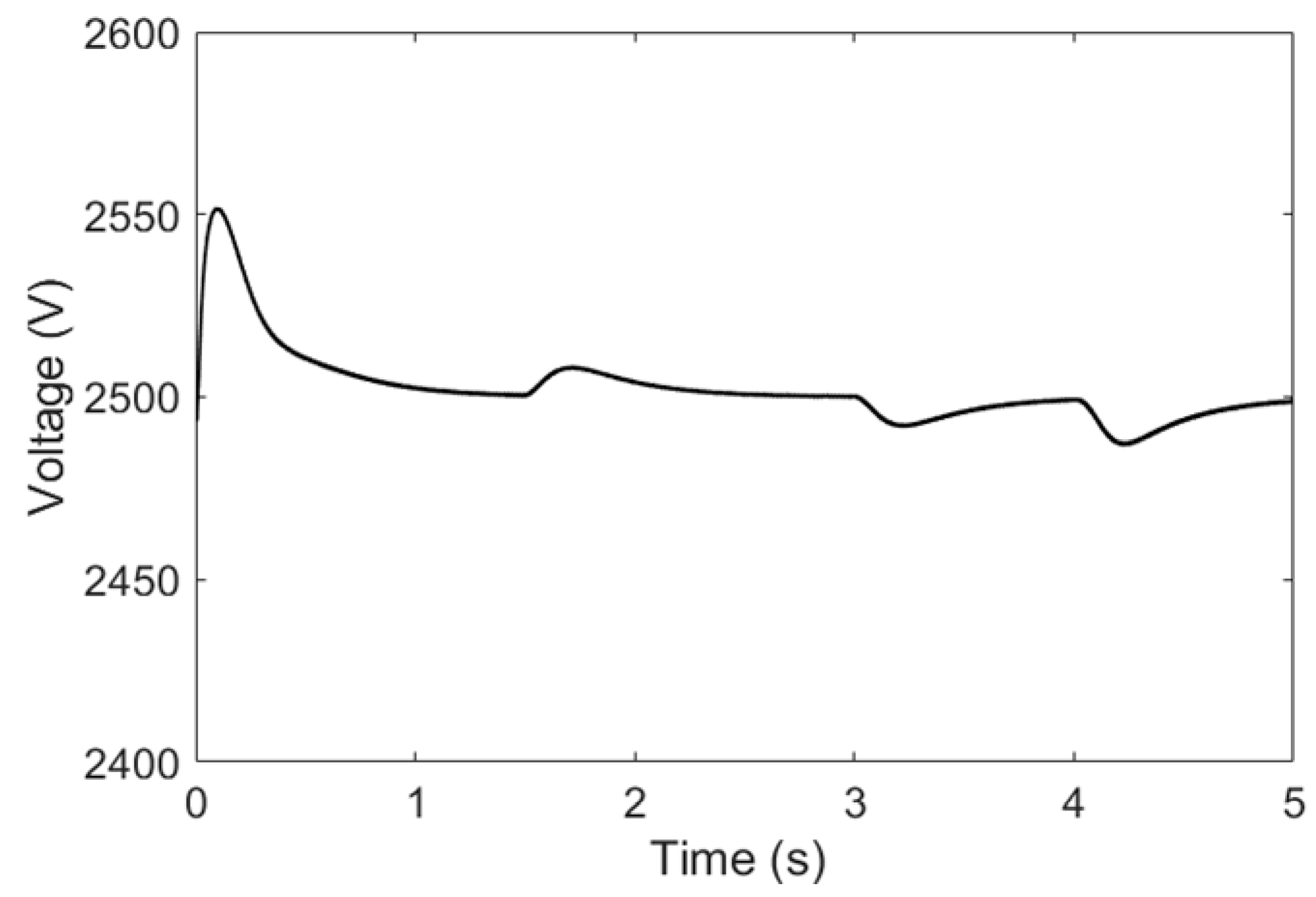
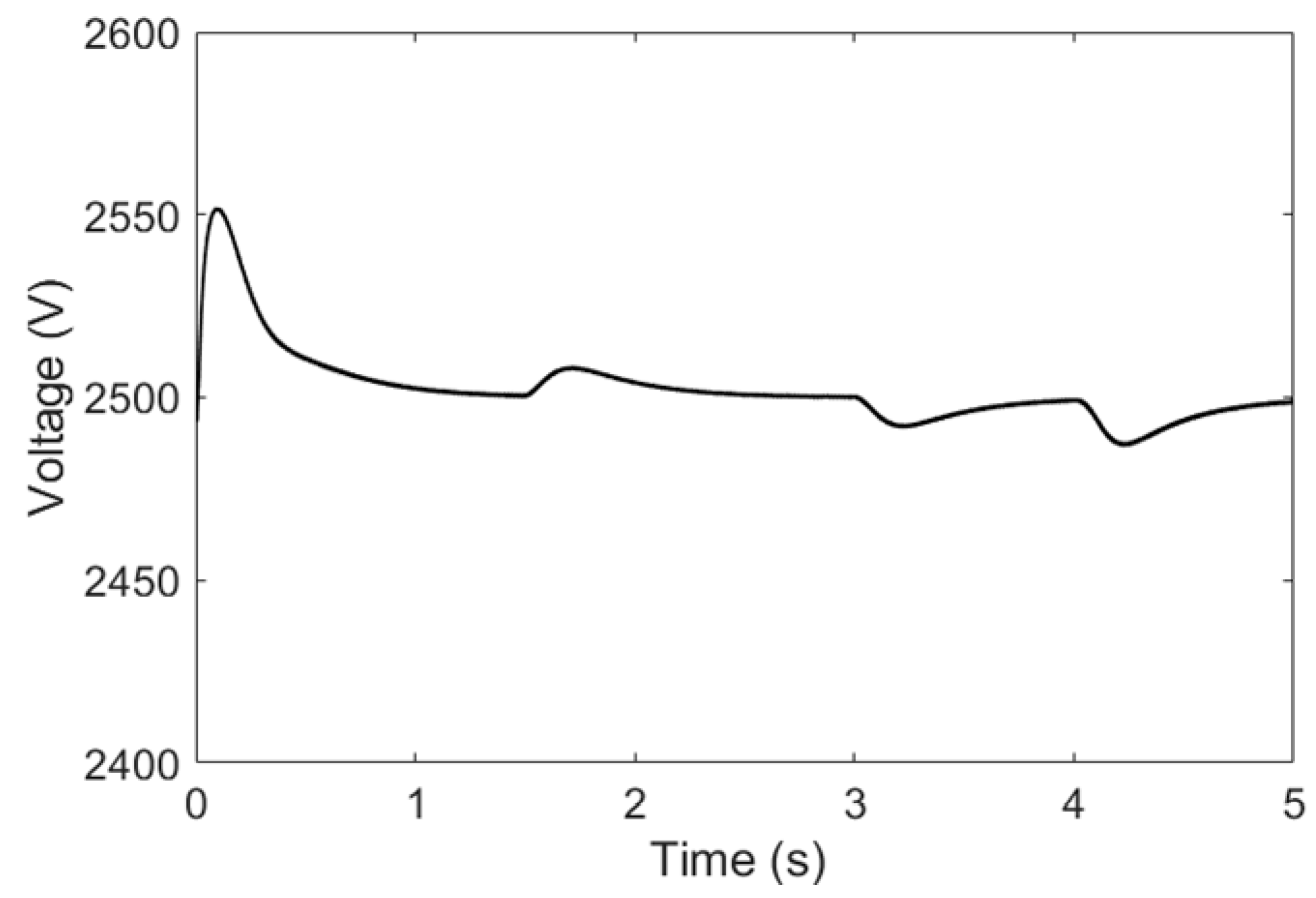
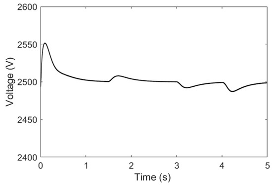
6.2. Simulation of Coordinated Control Strategy
- (1)
- When t = 1.5 s, the light intensity increased from 800 W/m2 to 1000 W/m2.
- (2)
- When t = 3 s, the wind speed increased from 10 m/s to 12 m/s.
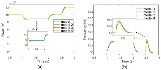
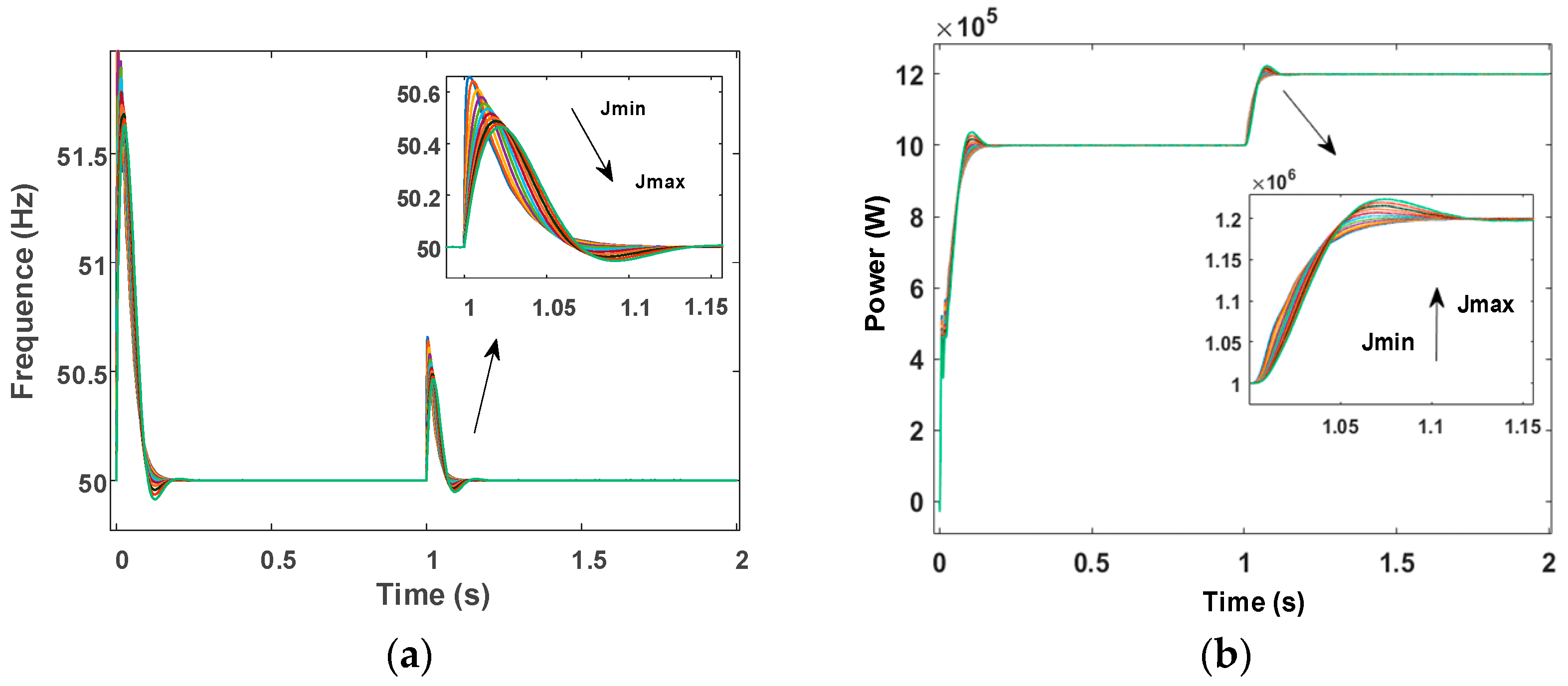
6.3. Simulation of Fast Frequency Response Control Strategy
- (1)
- When t = 1.5 s, disturbance in the external power grid leads to an increase in system frequency of 0.15 Hz;
- (2)
- When t = 3 s, restore the system frequency to its rated value;
- (3)
- When t = 4 s, the output power limit of the grid connection point has been increased from 1 MW to 1.2 MW.
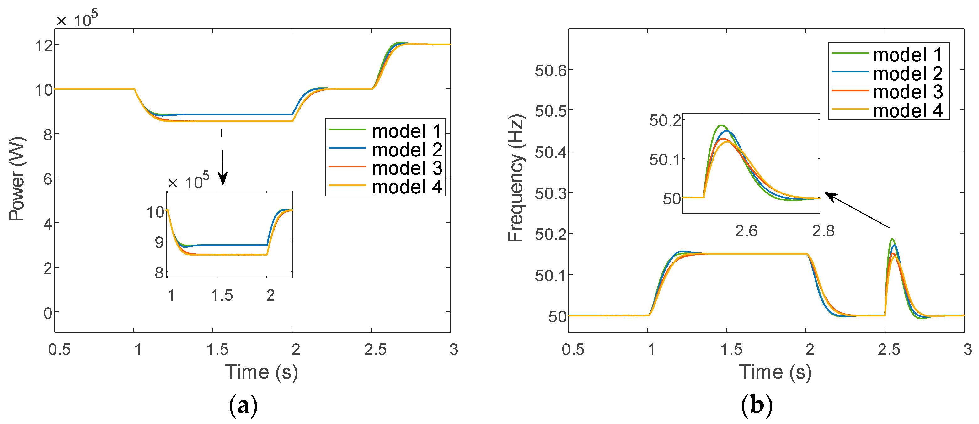
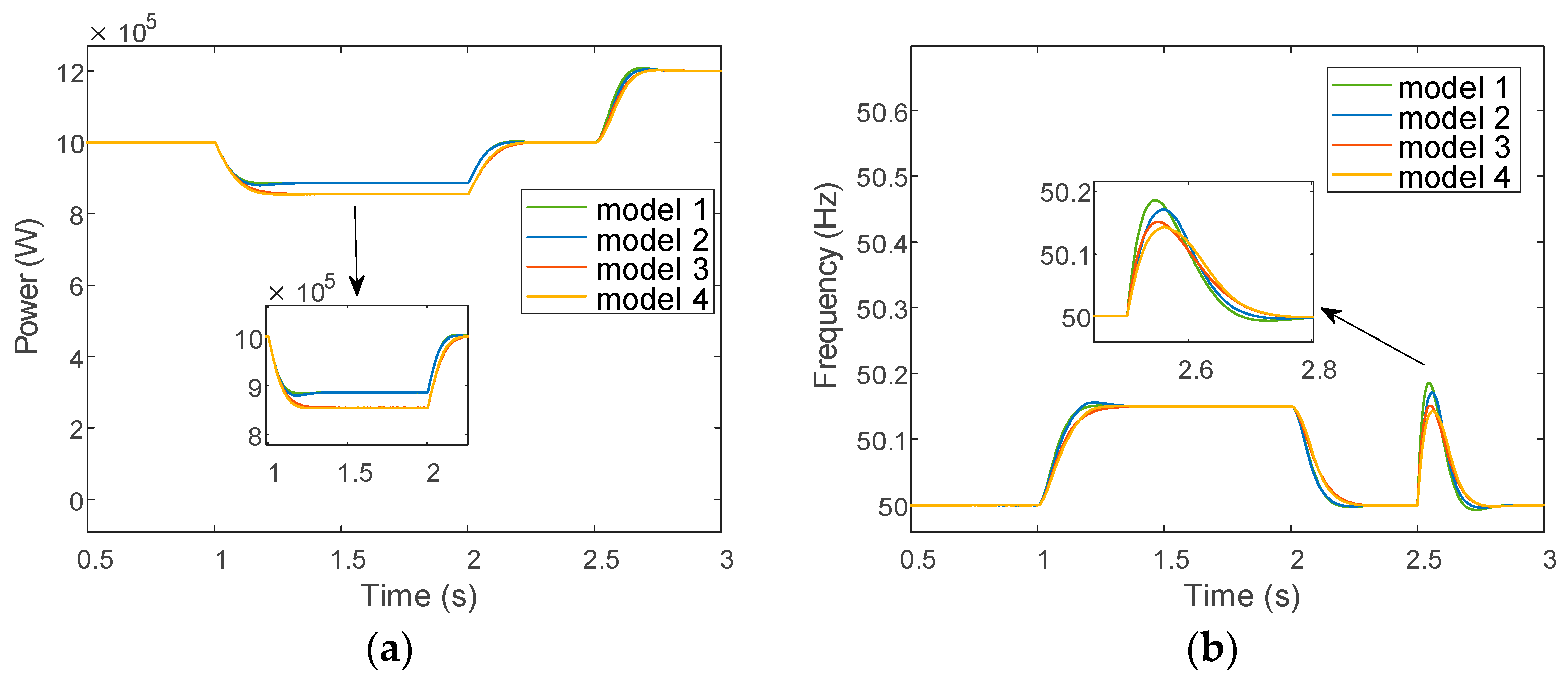
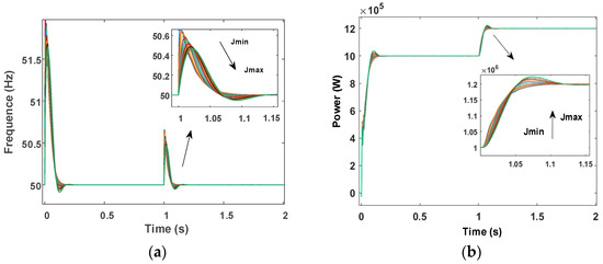
6.4. Comparative Analysis of Parameter Optimization
7. Conclusions
Author Contributions
Funding
Data Availability Statement
Conflicts of Interest
References
- Liu, D.; Zhao, N.; Li, P.; Liu, M.; Xu, X.; Shao, P.; Cao, X. Market-Oriented Consumption Model Based on the Joint Tracking of Renewable Energy Generation Curve of “Shared Energy Storage & Demand Side Resources”. Dianwang Jishu/Power Syst. Technol. 2021, 45, 2791–2800. [Google Scholar] [CrossRef]
- Sheng, W.; Wu, M.; Ji, Y.; Kou, L.; Pan, J.; Shi, H.; Niu, G.; Wang, Z. Key Techniques and Engineering Practice of Distributed Renewable Generation Clusters Integration. Proc. CSEE 2019, 39, 2175–2186. [Google Scholar] [CrossRef]
- Cai, G.; Chong, C.; Kong, L.; Long, P.; Hao, Z. Modeling and Control of Grid-Connected System of Wind/PV/Electrolyzer and SC. Power Syst. Technol. 2016, 40, 2982–2990. [Google Scholar]
- Albarghot, M.; Rolland, L. MATLAB/Simulink Modelling and Experimental Results of a PEM Electrolyzer Powered by a Solar Panel. In Proceedings of the 2016 IEEE Electrical Power and Energy Conference (EPEC), Ottawa, ON, Canada, 12–14 October 2016; IEEE: Piscataway, NJ, USA, 2016; pp. 1–6. [Google Scholar] [CrossRef]
- Valenciaga, F.; Evangelista, C.A. Control Design for an Autonomous Wind Based Hydrogen Production System. Int. J. Hydrogen Energy 2010, 35, 5799–5807. [Google Scholar] [CrossRef]
- Sun, D.; Zheng, W.; Yu, J.; Li, J. Research on the Primary Frequency Regulation Control Strategy of a Wind Storage Hydrogen-Generating Power Station. Electronics 2022, 11, 3669. [Google Scholar] [CrossRef]
- Agredano-Torres, M.; Xu, Q.; Zhang, M.; Söder, L.; Cornell, A. Dynamic Power Allocation Control for Frequency Regulation Using Hybrid Electrolyzer Systems. In Proceedings of the Conference Proceedings—IEEE Applied Power Electronics Conference and Exposition—APEC, Orlando, FL, USA, 19–23 March 2023; Institute of Electrical and Electronics Engineers Inc.: Piscataway, NJ, USA, 2023; Volume 2023, pp. 2991–2998. [Google Scholar] [CrossRef]
- Veerakumar, N.; Ahmad, Z.; Adabi, M.E.; Torres, J.R.; Palensky, P.; van der Meijden, M.; Gonzalez-Longatt, F. Fast Active Power-Frequency Support Methods by Large Scale Electrolyzers for Multi-Energy Systems. In Proceedings of the 2020 IEEE PES Innovative Smart Grid Technologies Europe (ISGT-Europe), The Hague, The Netherlands, 26–28 October 2020; IEEE: Piscataway, NJ, USA, 2020; pp. 151–155. [Google Scholar] [CrossRef]
- Sarrias-Mena, R.; Fernández-Ramírez, L.M.; García-Vázquez, C.A.; Jurado, F. Electrolyzer Models for Hydrogen Production from Wind Energy Systems. Int. J. Hydrogen Energy 2015, 40, 2927–2938. [Google Scholar] [CrossRef]
- Zhang, X.; Gao, Q.; Guo, Z.; Zhang, H.; Li, M.; Li, F. Coordinated Control Strategy for a PV-Storage Grid-Connected System Based on a Virtual Synchronous Generator. Glob. Energy Interconnect. 2020, 3, 51–59. [Google Scholar] [CrossRef]
- Zhong, Q. Virtual Synchronous Machines and Autonomous Power Systems. Proc. CSEE 2017, 37, 336–348. [Google Scholar] [CrossRef]
- Cheng, Q.; Yu, D.; Cheng, Y.; Gao, J.; Zhang, Y.; Tan, F. Control Strategy of Virtual Synchronous Generator Based on Adaptive Rotational Inertia. Electr. Power Autom. Equip. 2018, 38, 79–85. [Google Scholar] [CrossRef]
- Gao, F.; Qian, K.; Li, M.; Jiang, Y.; Li, T.; Wen, B. Control Strategy of Virtual Synchronous Generator Based on Self-Adaptive Damping Control Algorithm. Power Capacit. React. Power Compens. 2021, 42, 109–114. [Google Scholar] [CrossRef]
- Yang, Y.; Mei, F.; Zhang, C.; Liao, H.; Chen, H.; Zheng, J. Collaborative Adaptive Control Strategy for Virtual Synchronous Generator’s Rotational Inertia and Damping Coefficient. Electr. Power Autom. Equip. 2019, 39, 125–131. [Google Scholar] [CrossRef]
- Falcão, D.S.; Pinto, A.M.F.R. A Review on PEM Electrolyzer Modelling: Guidelines for Beginners. J. Clean. Prod. 2020, 261, 121184. [Google Scholar] [CrossRef]
- Ma, Z.; Witteman, L.; Wrubel, J.A.; Bender, G. A Comprehensive Modeling Method for Proton Exchange Membrane Electrolyzer Development. Int. J. Hydrogen Energy 2021, 46, 17627–17643. [Google Scholar] [CrossRef]
- Görgün, H. Dynamic Modelling of a Proton Exchange Membrane (PEM) Electrolyzer. Int. J. Hydrogen Energy 2006, 31, 29–38. [Google Scholar] [CrossRef]
- Ling, Z.; Liu, Y.; Wang, Z.; Yin, J. Adaptive Inertia and Damping of Grid-Connected Inverter with Improved VSG Control. IET Power Electron. 2023, 16, 2769–2781. [Google Scholar] [CrossRef]
- Ding, L.; Ke, S.; Yang, J.; Shi, X. Control Strategy of Virtual Synchronous Generator Based on Adaptive Control Parameter Setting. Integr. Intell. Energy 2023. Available online: https://kns.cnki.net/kcms/detail/41.1461.TK.20230823.0909.002.html (accessed on 27 February 2024).
- Shen, Z.; Liu, Y.; Zheng, B.; Qi, Y.; Li, J. Microgrid Optical Storage Charge and Discharge Control Technology Based on Adaptive Virtual Synchronous Generator. Distrib. Energy 2021, 6, 18–25. [Google Scholar] [CrossRef]
- Zheng, T.; Chen, L.; Wang, R.; Li, C.; Mei, S. Adaptive Damping Control Strategy of Virtual Synchronous Generator for Frequency Oscillation Suppression. In Proceedings of the 12th IET International Conference on AC and DC Power Transmission (ACDC 2016), Beijing, China, 28–29 May 2016; Institution of Engineering and Technology: Stevenage, UK, 2016; pp. 1–5. [Google Scholar] [CrossRef]



















| Phase | Variation | Change Rate | J | D |
|---|---|---|---|---|
| A | Increase | Increase | ||
| B | Reduce | Reduce | ||
| C | Increase | Increase | ||
| D | Reduce | Reduce |
Disclaimer/Publisher’s Note: The statements, opinions and data contained in all publications are solely those of the individual author(s) and contributor(s) and not of MDPI and/or the editor(s). MDPI and/or the editor(s) disclaim responsibility for any injury to people or property resulting from any ideas, methods, instructions or products referred to in the content. |
© 2024 by the authors. Licensee MDPI, Basel, Switzerland. This article is an open access article distributed under the terms and conditions of the Creative Commons Attribution (CC BY) license (https://creativecommons.org/licenses/by/4.0/).
Share and Cite
Shi, T.; Xu, Z.; Gu, L.; Zhou, H. Research on Fast Frequency Response Control Strategy of Hydrogen Production Systems. Electronics 2024, 13, 956. https://doi.org/10.3390/electronics13050956
Shi T, Xu Z, Gu L, Zhou H. Research on Fast Frequency Response Control Strategy of Hydrogen Production Systems. Electronics. 2024; 13(5):956. https://doi.org/10.3390/electronics13050956
Chicago/Turabian StyleShi, Tao, Zeyan Xu, Libo Gu, and Hangyu Zhou. 2024. "Research on Fast Frequency Response Control Strategy of Hydrogen Production Systems" Electronics 13, no. 5: 956. https://doi.org/10.3390/electronics13050956
APA StyleShi, T., Xu, Z., Gu, L., & Zhou, H. (2024). Research on Fast Frequency Response Control Strategy of Hydrogen Production Systems. Electronics, 13(5), 956. https://doi.org/10.3390/electronics13050956

