PHIR: A Platform Solution of Data-Driven Health Monitoring for Industrial Robots
Abstract
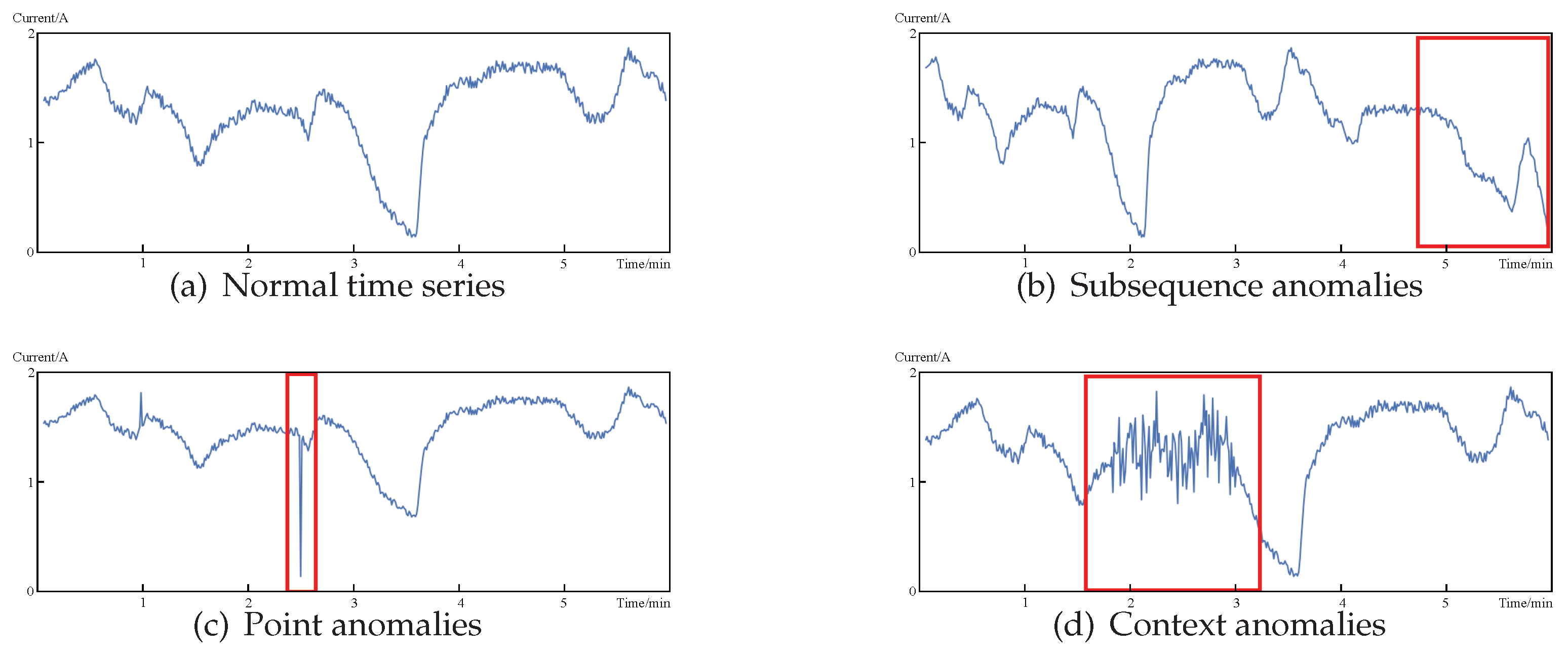
1. Introduction
2. Related Work
3. Methodology
3.1. Data Collection
- Heterogeneous Data: Industrial robots generate data from various sources, such as sensors, cameras, and actuators. These data can be in different formats and structures, making it challenging to collect and integrate into a unified system. Thus, robust data processing techniques are required to ensure compatibility and consistency in handling this heterogeneity.
- Different Data Transmission Protocols: Industrial robots often use different data transmission protocols, depending on the devices and systems involved. Coordinating and collecting data from these diverse protocols can be complex and requires specialized integration mechanisms to ensure seamless data transfer.
- Aggregation of High-Frequency Massive Data: Industrial robots generate a significant amount of data at high frequencies, which poses challenges in massive data collecting, storing, and processing in real-time. Efficient aggregation techniques, along with scalable storage and processing infrastructure, are necessary to handle this high-frequency data flow effectively.
3.2. Process Orchestration
3.3. Health Condition Monitoring Algorithms
3.3.1. AE-DTW
3.3.2. Transformer-SD
4. Experiment
4.1. Application Results and Datasets
4.2. Metric
4.3. Baselines and Implementation Details
4.4. Results
4.5. Hyper-parameters Analysis
5. Conclusions
Author Contributions
Funding
Data Availability Statement
Conflicts of Interest
References
- Fei, Y.; Shi, P.; Li, Y.; Liu, Y.; Qu, X. Formation control of multi-agent systems with actuator saturation via neural-based sliding mode estimators. Knowl.-Based Syst. 2024, 284, 111292. [Google Scholar] [CrossRef]
- IFR. Executive Summary: World Robotics 2023 Industrial Robots. 2023. Available online: https://ifr.org/img/worldrobotics/Executive_Summary_WR_Industrial_Robots_2023.pdf (accessed on 20 November 2023).
- Wang, R.; Mou, X.; Sun, J.; Liu, P.; Guo, X.; Wo, T.; Liu, X. Cloud-edge collaborative industrial robotic intelligent service platform. In Proceedings of the 2020 IEEE International Conference on Joint Cloud Computing, Oxford, UK, 3–6 August 2020; pp. 71–77. [Google Scholar]
- Chen, T.; Liu, X.; Xia, B.; Wang, W.; Lai, Y. Unsupervised Anomaly Detection of Industrial Robots Using Sliding-Window Convolutional Variational Autoencoder. IEEE Access 2020, 8, 47072–47081. [Google Scholar] [CrossRef]
- Xiao, H.; Zeng, H.; Jiang, W.; Zhou, Y.; Tu, X. HMM-TCN-based health assessment and state prediction for robot mechanical axis. Int. J. Intell. Syst. 2022, 37, 10476–10494. [Google Scholar] [CrossRef]
- Long, J.; Mou, J.; Zhang, L.; Zhang, S.; Li, C. Attitude data-based deep hybrid learning architecture for intelligent fault diagnosis of multi-joint industrial robots. J. Manuf. Syst. 2021, 61, 736–745. [Google Scholar] [CrossRef]
- Long, J.; Qin, Y.; Yang, Z.; Huang, Y.; Li, C. Discriminative feature learning using a multiscale convolutional capsule network from attitude data for fault diagnosis of industrial robots. Mech. Syst. Signal Process. 2023, 182, 109569. [Google Scholar] [CrossRef]
- Hsu, C.Y.; Liu, W.C. Multiple time-series convolutional neural network for fault detection and diagnosis and empirical study in semiconductor manufacturing. J. Intell. Manuf. 2021, 32, 823–836. [Google Scholar] [CrossRef]
- Zhu, J.; Yang, R.; Hu, C.; Wo, T.; Xue, S.; Ouyang, J.; Xu, J. Perphon: A ml-based agent for workload co-location via performance prediction and resource inference. In Proceedings of the ACM Symposium on Cloud Computing, Santa Cruz, CA, USA, 20–23 November 2019; p. 478. [Google Scholar]
- Yang, R.; Hu, C.; Sun, X.; Garraghan, P.; Wo, T.; Wen, Z.; Peng, H.; Xu, J.; Li, C. Performance-aware speculative resource oversubscription for large-scale clusters. IEEE Trans. Parallel Distrib. Syst. 2020, 31, 1499–1517. [Google Scholar] [CrossRef]
- Yeung, G.; Borowiec, D.; Yang, R.; Friday, A.; Harper, R.; Garraghan, P. Horus: Interference-Aware and Prediction-Based Scheduling in Deep Learning Systems. IEEE Trans. Parallel Distrib. Syst. 2022, 33, 88–100. [Google Scholar] [CrossRef]
- Zhu, J.; Yang, R.; Sun, X.; Wo, T.; Hu, C.; Peng, H.; Xiao, J.; Zomaya, A.Y.; Xu, J. QoS-aware co-scheduling for distributed long-running applications on shared clusters. IEEE Trans. Parallel Distrib. Syst. 2022, 33, 4818–4834. [Google Scholar] [CrossRef]
- Wen, Z.; Yang, R.; Qian, B.; Xuan, Y.; Lu, L.; Wang, Z.; Peng, H.; Xu, J.; Zomaya, A.Y.; Ranjan, R. JANUS: Latency-Aware Traffic Scheduling for IoT Data Streaming in Edge Environments. IEEE Trans. Serv. Comput. 2023, 16, 4302–4316. [Google Scholar] [CrossRef]
- Mou, X.; Sun, J.; Zhong, Y.; Wo, T. HyCU: Hybrid Consistent Update for Software Defined Network. In Proceedings of the 2023 IEEE International Conference on Joint Cloud Computing (JCC), Athens, Greece, 17–20 July 2023; pp. 86–92. [Google Scholar]
- Kuffner, J. Cloud-enabled humanoid robots. In Proceedings of the Humanoid Robots (Humanoids), 2010 10th IEEE-RAS International Conference on, Nashville, TN, USA, 6–8 December 2010. [Google Scholar]
- Mohanarajah, G.; Hunziker, D.; D’Andrea, R.; Waibel, M. Rapyuta: A cloud robotics platform. IEEE Trans. Autom. Sci. Eng. 2014, 12, 481–493. [Google Scholar] [CrossRef]
- Li, R. Cloud Robotics-Enable Cloud Computing for Robots. Technical Report. 2014. Available online: https://sites.google.com/site (accessed on 21 January 2015).
- Cerquitelli, T.; Pagliari, D.J.; Calimera, A.; Bottaccioli, L.; Patti, E.; Acquaviva, A.; Poncino, M. Manufacturing as a data-driven practice: Methodologies, technologies, and tools. Proc. IEEE 2021, 109, 399–422. [Google Scholar] [CrossRef]
- Hu, G.; Tay, W.P.; Wen, Y. Cloud robotics: Architecture, challenges and applications. IEEE Netw. 2012, 26, 21–28. [Google Scholar] [CrossRef]
- Chen, L.; Sun, L.; Yang, T.; Fan, L.; Huang, K.; Xuanyuan, Z. Rgb-t slam: A flexible slam framework by combining appearance and thermal information. In Proceedings of the 2017 IEEE International Conference on Robotics and Automation (ICRA), Singapore, 29 May–3 June 2017; pp. 5682–5687. [Google Scholar]
- Niestanak, V.D.; Moshaii, A.A.; Moghaddam, M.M. A new underactuated mechanism of hand tendon injury rehabilitation. In Proceedings of the 2017 5th RSI International Conference on Robotics and Mechatronics (ICRoM), Tehran, Iran, 25–27 October 2017; pp. 400–405. [Google Scholar]
- Abbasimoshaei, A.; Chinnakkonda Ravi, A.K.; Kern, T.A. Development of a new control system for a rehabilitation robot using electrical impedance tomography and artificial intelligence. Biomimetics 2023, 8, 420. [Google Scholar] [CrossRef]
- Izagirre, U.; Andonegui, I.; Eciolaza, L.; Zurutuza, U. Towards manufacturing robotics accuracy degradation assessment: A vision-based data-driven implementation. Robot. Comput.-Integr. Manuf. 2021, 67, 102029. [Google Scholar] [CrossRef]
- Wang, X.; Liu, M.; Liu, C.; Ling, L.; Zhang, X. Data-driven and Knowledge-based predictive maintenance method for industrial robots for the production stability of intelligent manufacturing. Expert Syst. Appl. 2023, 234, 121136. [Google Scholar] [CrossRef]
- Sharma, S.; Bellinger, C.; Krawczyk, B.; Zaiane, O.; Japkowicz, N. Synthetic oversampling with the majority class: A new perspective on handling extreme imbalance. In Proceedings of the 2018 IEEE international conference on data mining (ICDM), Singapore, 17–20 November 2018; pp. 447–456. [Google Scholar]
- Liu, P.; Guo, X.; Wang, R.; Chen, P.; Wo, T.; Liu, X. CSMOTE: Contrastive Synthetic Minority Oversampling for Imbalanced Time Series Classification. In Proceedings of the Neural Information Processing: 28th International Conference, ICONIP 2021, Sanur, Bali, Indonesia, 8–12 December 2021; Mantoro, T., Lee, M., Ayu, M.A., Wong, K.W., Hidayanto, A.N., Eds.; Springer International Publishing: Cham, Switzerland, 2021; pp. 447–455. [Google Scholar]
- Ruff, L.; Vandermeulen, R.A.; Franks, B.J.; Müller, K.R.; Kloft, M. Rethinking assumptions in deep anomaly detection. arXiv 2020, arXiv:2006.00339. [Google Scholar]
- Carmona, C.U.; Aubet, F.X.; Flunkert, V.; Gasthaus, J. Neural contextual anomaly detection for time series. arXiv 2022, arXiv:2107.07702. [Google Scholar]
- Liu, P.; Guo, X.; Shi, B.; Wang, R.; Wo, T.; Liu, X. Non-salient region erasure for time series augmentation. Front. Comput. Sci. 2022, 16, 166349. [Google Scholar] [CrossRef]
- Liu, P.; Guo, X.; Chen, P.; Shi, B.; Wo, T.; Liu, X. Adaptive Shapelets Preservation for Time Series Augmentation. In Proceedings of the 2022 International Joint Conference on Neural Networks (IJCNN), Padua, Italy, 18–23 July 2022; pp. 1–8. [Google Scholar] [CrossRef]
- Ruff, L.; Vandermeulen, R.; Goernitz, N.; Deecke, L.; Siddiqui, S.A.; Binder, A.; Müller, E.; Kloft, M. Deep one-class classification. In Proceedings of the International Conference on Machine Learning (PMLR), Stockholm, Sweden, 10–15 July 2018; pp. 4393–4402. [Google Scholar]
- Zong, B.; Song, Q.; Min, M.R.; Cheng, W.; Lumezanu, C.; Cho, D.; Chen, H. Deep autoencoding gaussian mixture model for unsupervised anomaly detection. In Proceedings of the International Conference on Learning Representations, Vancouver, BC, Canada, 30 April–3 May 2018. [Google Scholar]
- Qiu, C.; Pfrommer, T.; Kloft, M.; Mandt, S.; Rudolph, M. Neural Transformation Learning for Deep Anomaly Detection beyond Images. In Proceedings of the 38th International Conference on Machine Learning, (PMLR), Online, 18–24 July 2021; Volume 139. [Google Scholar]
- De Haan, P.; Löwe, S. Contrastive Predictive Coding for Anomaly Detection. arXiv 2021, arXiv:2107.07820. [Google Scholar]
- Wang, R.; Liu, C.; Mou, X.; Gao, K.; Guo, X.; Liu, P.; Wo, T.; Liu, X. Deep Contrastive One-Class Time Series Anomaly Detection. In Proceedings of the 2023 SIAM International Conference on Data Mining (SDM), Minneapolis, MN, USA, 27–29 April 2023; pp. 694–702. [Google Scholar]
- Mou, X.; Wang, R.; Wang, T.; Sun, J.; Li, B.; Wo, T.; Liu, X. Deep Autoencoding One-Class time Series Anomaly Detection. In Proceedings of the ICASSP 2023—IEEE International Conference on Acoustics, Speech and Signal Processing, Rhodes Island, Greece, 4–10 June 2023; pp. 1–5. [Google Scholar]
- Cuturi, M.; Blondel, M. Soft-dtw: A differentiable loss function for time-series. In Proceedings of the International Conference on Machine Learning (PMLR), Sydney, Australia, 6–11 August 2017; pp. 894–903. [Google Scholar]
- Wu, H.; Xu, J.; Wang, J.; Long, M. Autoformer: Decomposition transformers with auto-correlation for long-term series forecasting. Adv. Neural Inf. Process. Syst. 2021, 34, 22419–22430. [Google Scholar]
- Zhou, H.; Zhang, S.; Peng, J.; Zhang, S.; Li, J.; Xiong, H.; Zhang, W. Informer: Beyond efficient transformer for long sequence time-series forecasting. In Proceedings of the AAAI Conference on Artificial Intelligence, Vancouver, BC, Canada, 20–27 February 2021; Volume 35, pp. 11106–11115. [Google Scholar]







| No. | Feature | Train | Test | Anomalies |
|---|---|---|---|---|
| A | 18 | 2,160,000 | 2,400,000 | 3.38% |
| B | 18 | 4,080,000 | 4,680,000 | 2.97% |
| Parameter | AE-DTW | Transformer-SD |
|---|---|---|
| optimizer | Adam | Adam |
| window_size | 100 | – |
| time_step | 25 | – |
| input_len | – | 300 |
| output_len | – | 100 |
| learning_rate | 0.001 | 0.001 |
| batch_size | 256 | 256 |
| epochs | 100 | 100 |
| Metric | Subset A | Subset B | ||
|---|---|---|---|---|
| Best F1 | AUC | Best F1 | AUC | |
| PCA | 0.528 | 0.449 | 0.318 | 0.223 |
| t-SNE | 0.540 | 0.451 | 0.511 | 0.472 |
| AE | 0.618 | 0.665 | 0.535 | 0.538 |
| AE-C | 0.784 | 0.721 | 0.622 | 0.573 |
| LSTM | 0.610 | 0.439 | 0.621 | 0.525 |
| GRU | 0.649 | 0.527 | 0.611 | 0.510 |
| Transformer | 0.736 | 0.611 | 0.624 | 0.536 |
| Transformer-PS | 0.717 | 0.679 | 0.707 | 0.623 |
| AE-DTW | 0.837 | 0.752 | 0.630 | 0.647 |
| Transformer-SD | 0.582 | 0.483 | 0.772 | 0.693 |
Disclaimer/Publisher’s Note: The statements, opinions and data contained in all publications are solely those of the individual author(s) and contributor(s) and not of MDPI and/or the editor(s). MDPI and/or the editor(s) disclaim responsibility for any injury to people or property resulting from any ideas, methods, instructions or products referred to in the content. |
© 2024 by the authors. Licensee MDPI, Basel, Switzerland. This article is an open access article distributed under the terms and conditions of the Creative Commons Attribution (CC BY) license (https://creativecommons.org/licenses/by/4.0/).
Share and Cite
Jiang, F.; Hu, C.; Liu, C.; Wang, R.; Zhu, J.; Chen, S.; Zhang, J. PHIR: A Platform Solution of Data-Driven Health Monitoring for Industrial Robots. Electronics 2024, 13, 834. https://doi.org/10.3390/electronics13050834
Jiang F, Hu C, Liu C, Wang R, Zhu J, Chen S, Zhang J. PHIR: A Platform Solution of Data-Driven Health Monitoring for Industrial Robots. Electronics. 2024; 13(5):834. https://doi.org/10.3390/electronics13050834
Chicago/Turabian StyleJiang, Fei, Chengyun Hu, Chongwei Liu, Rui Wang, Jianyong Zhu, Shiru Chen, and Juan Zhang. 2024. "PHIR: A Platform Solution of Data-Driven Health Monitoring for Industrial Robots" Electronics 13, no. 5: 834. https://doi.org/10.3390/electronics13050834
APA StyleJiang, F., Hu, C., Liu, C., Wang, R., Zhu, J., Chen, S., & Zhang, J. (2024). PHIR: A Platform Solution of Data-Driven Health Monitoring for Industrial Robots. Electronics, 13(5), 834. https://doi.org/10.3390/electronics13050834

