Using LSTM with Trajectory Point Correlation and Temporal Pattern Attention for Ship Trajectory Prediction
Abstract
1. Introduction
2. Related Works
2.1. Ship Trajectory Prediction Using Deep Learning-Based Methods
2.1.1. Ship Trajectory Prediction Method Based on the RNN Model
2.1.2. A Ship Trajectory Prediction Method Based on the Transformer Model
2.2. Ship Trajectory Prediction Using Hybrid Methods
3. Methodology
3.1. Problem Definition
3.2. Model Architecture
3.2.1. TPCA: Trajectory Point Correlation Attention
3.2.2. LSTM Network
3.2.3. TPA: Temporal Pattern Attention
3.2.4. GCRLoss: Curvature-Aware Great Circle Route Loss Function
| Algorithm 1 GCRLoss function. |
|
3.3. AIS Data Preprocessing
4. Experimental Results and Analysis
4.1. Description of Experimental Data
4.2. Experimental Evaluation Indicators
4.3. Experimental Environment
4.4. Comparison Between LSTM and Other Baseline Models
4.5. Ablation Study
4.6. Comparison Study
4.6.1. Single-Step Trajectory Prediction
4.6.2. Multi-Step Trajectory Prediction
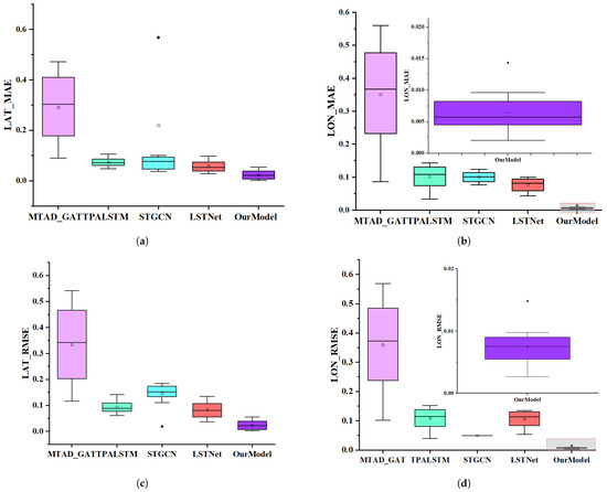
4.6.3. Comparison of Different Types of Trajectory Predictions
5. Conclusions
5.1. Discussion
5.2. Future Work
Author Contributions
Funding
Data Availability Statement
Conflicts of Interest
References
- Li, H.; Yang, Z. Incorporation of AIS data-based machine learning into unsupervised route planning for maritime autonomous surface ships. Transp. Res. Part E Logist. Transp. Rev. 2023, 176, 103171. [Google Scholar] [CrossRef]
- Hossain, N.U.I.; Sakib, N.; Govindan, K. Assessing the performance of unmanned aerial vehicle for logistics and transportation leveraging the Bayesian network approach. Expert Syst. Appl. 2022, 209, 118301. [Google Scholar] [CrossRef]
- Li, H.; Yang, Z. Towards safe navigation environment: The imminent role of spatio-temporal pattern mining in maritime piracy incidents analysis. Reliab. Eng. Syst. Saf. 2023, 238, 109422. [Google Scholar] [CrossRef]
- Abdelaal, M.; Fränzle, M.; Hahn, A. Nonlinear Model Predictive Control for trajectory tracking and collision avoidance of underactuated vessels with disturbances. Ocean Eng. 2018, 160, 168–180. [Google Scholar] [CrossRef]
- Sørensen, K.A.; Heiselberg, P.; Heiselberg, H. Probabilistic maritime trajectory prediction in complex scenarios using deep learning. Sensors 2022, 22, 2058. [Google Scholar] [CrossRef] [PubMed]
- Schöller, F.E.; Enevoldsen, T.T.; Becktor, J.B.; Hansen, P.N. Trajectory prediction for marine vessels using historical ais heatmaps and long short-term memory networks. IFAC-PapersOnLine 2021, 54, 83–89. [Google Scholar] [CrossRef]
- Zhou, Y.; Daamen, W.; Vellinga, T.; Hoogendoorn, S.P. Ship classification based on ship behavior clustering from AIS data. Ocean Eng. 2019, 175, 176–187. [Google Scholar] [CrossRef]
- Li, Y.; Liang, M.; Li, H.; Yang, Z.; Du, L.; Chen, Z. Deep learning-powered vessel traffic flow prediction with spatial-temporal attributes and similarity grouping. Eng. Appl. Artif. Intell. 2023, 126, 107012. [Google Scholar] [CrossRef]
- Zhang, L.; Meng, Q.; Xiao, Z.; Fu, X. A novel ship trajectory reconstruction approach using AIS data. Ocean Eng. 2018, 159, 165–174. [Google Scholar] [CrossRef]
- Liu, C.; Liu, J.; Zhou, X.; Zhao, Z.; Wan, C.; Liu, Z. AIS data-driven approach to estimate navigable capacity of busy waterways focusing on ships entering and leaving port. Ocean Eng. 2020, 218, 108215. [Google Scholar] [CrossRef]
- Liang, M.; Liu, R.W.; Zhan, Y.; Li, H.; Zhu, F.; Wang, F.Y. Fine-grained vessel traffic flow prediction with a spatio-temporal multigraph convolutional network. IEEE Trans. Intell. Transp. Syst. 2022, 23, 23694–23707. [Google Scholar] [CrossRef]
- Yu, H.; Fang, Z.; Murray, A.T.; Peng, G. A direction-constrained space-time prism-based approach for quantifying possible multi-ship collision risks. IEEE Trans. Intell. Transp. Syst. 2019, 22, 131–141. [Google Scholar] [CrossRef]
- Su, Y.; Du, J.; Li, Y.; Li, X.; Liang, R.; Hua, Z.; Zhou, J. Trajectory forecasting based on prior-aware directed graph convolutional neural network. IEEE Trans. Intell. Transp. Syst. 2022, 23, 16773–16785. [Google Scholar] [CrossRef]
- Zhang, X.; Fu, X.; Xiao, Z.; Xu, H.; Qin, Z. Vessel trajectory prediction in maritime transportation: Current approaches and beyond. IEEE Trans. Intell. Transp. Syst. 2022, 23, 19980–19998. [Google Scholar] [CrossRef]
- Rong, H.; Teixeira, A.; Guedes Soares, C. Ship trajectory uncertainty prediction based on a Gaussian Process model. Ocean Eng. 2019, 182, 499–511. [Google Scholar] [CrossRef]
- Abebe, M.; Shin, Y.; Noh, Y.; Lee, S.; Lee, I. Machine Learning Approaches for Ship Speed Prediction towards Energy Efficient Shipping. Appl. Sci. 2020, 10, 2325. [Google Scholar] [CrossRef]
- Zhang, K.; Huang, L.; He, Y.; Wang, B.; Chen, J.; Tian, Y.; Zhao, X. A real-time multi-ship collision avoidance decision-making system for autonomous ships considering ship motion uncertainty. Ocean Eng. 2023, 278, 114205. [Google Scholar] [CrossRef]
- Dalsnes, B.R.; Hexeberg, S.; Flaten, A.L.; Eriksen, B.O.H.; Brekke, E.F. The Neighbor Course Distribution Method with Gaussian Mixture Models for AIS-Based Vessel Trajectory Prediction. In Proceedings of the 2018 21st International Conference on Information Fusion (FUSION), Cambridge, UK, 10–13 July 2018; IEEE: York, UK, 2018; pp. 580–587. [Google Scholar] [CrossRef]
- Chen, Y.; Yang, S.; Suo, Y.; Zheng, M. Ship track prediction based on DLGWO-SVR. Sci. Program. 2021, 2021, 9085617. [Google Scholar] [CrossRef]
- Liu, J.; Shi, G.; Zhu, K. Vessel Trajectory Prediction Model Based on AIS Sensor Data and Adaptive Chaos Differential Evolution Support Vector Regression (ACDE-SVR). Appl. Sci. 2019, 9, 2983. [Google Scholar] [CrossRef]
- Chen, G.; Wang, W.; Xue, Y. Identification of ship dynamics model based on sparse Gaussian process regression with similarity. Symmetry 2021, 13, 1956. [Google Scholar] [CrossRef]
- Bi, J.; Cheng, H.; Zhang, W.; Bao, K.; Wang, P. Artificial Intelligence in Ship Trajectory Prediction. J. Mar. Sci. Eng. 2024, 12, 769. [Google Scholar] [CrossRef]
- Lipton, Z.C.; Berkowitz, J.; Elkan, C. A critical review of recurrent neural networks for sequence learning. arXiv 2015, arXiv:1506.00019. [Google Scholar]
- Capobianco, S.; Forti, N.; Millefiori, L.M.; Braca, P.; Willett, P. Recurrent Encoder–Decoder Networks for Vessel Trajectory Prediction with Uncertainty Estimation. IEEE Trans. Aerosp. Electron. Syst. 2023, 59, 2554–2565. [Google Scholar] [CrossRef]
- Capobianco, S.; Millefiori, L.M.; Forti, N.; Braca, P.; Willett, P. Deep Learning Methods for Vessel Trajectory Prediction Based on Recurrent Neural Networks. IEEE Trans. Aerosp. Electron. Syst. 2021, 57, 4329–4346. [Google Scholar] [CrossRef]
- Ma, H.; Zuo, Y.; Li, T. Vessel Navigation Behavior Analysis and Multiple-Trajectory Prediction Model Based on AIS Data. J. Adv. Transp. 2022, 2022, 6622862. [Google Scholar] [CrossRef]
- Venskus, J.; Treigys, P.; Markevičiūtė, J. Unsupervised marine vessel trajectory prediction using LSTM network and wild bootstrapping techniques. Nonlinear Anal. Model. Control. 2021, 26, 718–737. [Google Scholar] [CrossRef]
- Li, W.; Lian, Y.; Liu, Y.; Shi, G. Ship Trajectory Prediction Model Based on Improved Bi-LSTM. ASCE-ASME J. Risk Uncertain. Eng. Syst. 2024, 10, 04024033. [Google Scholar] [CrossRef]
- Ma, J.; Jia, C.; Yang, X.; Cheng, X.; Li, W.; Zhang, C. A Data-Driven Approach for Collision Risk Early Warning in Vessel Encounter Situations Using Attention-BiLSTM. IEEE Access 2020, 8, 188771–188783. [Google Scholar] [CrossRef]
- Zhang, S.; Wang, L.; Zhu, M.; Chen, S.; Zhang, H.; Zeng, Z. A Bi-Directional LSTM Ship Trajectory Prediction Method Based on Attention Mechanism. In Proceedings of the 2021 IEEE 5th Advanced Information Technology, Electronic and Automation Control Conference (IAEAC), Chongqing, China, 12–14 March 2021; IEEE: Beijing, China, 2021; pp. 1987–1993. [Google Scholar] [CrossRef]
- Jia, H.; Yang, Y.; An, J.; Fu, R. A Ship Trajectory Prediction Model Based on Attention-BILSTM Optimized by the Whale Optimization Algorithm. Appl. Sci. 2023, 13, 4907. [Google Scholar] [CrossRef]
- Zhao, H.; Wang, Z.; Wang, G.; Yu, F. Dynamic Chaos Unveiled: Enhancing Ship’s Attitude Time Series Prediction through Spatiotemporal Embedding and Improved Transformer Model. Meas. Sci. Technol. 2024, 35, 116306. [Google Scholar] [CrossRef]
- Xue, H.; Wang, S.; Xia, M.; Guo, S. G-Trans: A Hierarchical Approach to Vessel Trajectory Prediction with GRU-based Transformer. Ocean Eng. 2024, 300, 117431. [Google Scholar] [CrossRef]
- Zhang, X.; Fu, X.; Xiao, Z.; Xu, H.; Zhang, W.; Koh, J.; Qin, Z. A Dynamic Context-Aware Approach for Vessel Trajectory Prediction Based on Multi-Stage Deep Learning. IEEE Trans. Intell. Veh. 2024, 1–16. [Google Scholar] [CrossRef]
- Nguyen, D.; Fablet, R. A Transformer Network with Sparse Augmented Data Representation and Cross Entropy Loss for AIS-Based Vessel Trajectory Prediction. IEEE Access 2020, 12, 21596–21609. [Google Scholar] [CrossRef]
- Jiang, D.; Shi, G.; Li, N.; Ma, L.; Li, W.; Shi, J. TRFM-LS: Transformer-based Deep Learning Method for Vessel Trajectory Prediction. J. Mar. Sci. Eng. 2023, 11, 880. [Google Scholar] [CrossRef]
- Huang, P.; Chen, Q.; Wang, D.; Wang, M.; Wu, X.; Huang, X. TripleConvTransformer: A Deep Learning Vessel Trajectory Prediction Method Fusing Discretized Meteorological Data. Front. Environ. Sci. 2022, 10, 1012547. [Google Scholar] [CrossRef]
- Qiang, H.; Guo, Z.; Xie, S.; Peng, X. Mstformer: Motion inspired spatial-temporal transformer with dynamic-aware attention for long-term vessel trajectory prediction. arXiv 2023, arXiv:2303.11540. [Google Scholar]
- Murray, B.; Perera, L.P. An AIS-based multiple trajectory prediction approach for collision avoidance in future vessels. In Proceedings of the International Conference on Offshore Mechanics and Arctic Engineering, Glasgow, Scotland, 9–14 June 2019; American Society of Mechanical Engineers: New York, NY, USA, 2019; Volume 58851, p. V07BT06A031. [Google Scholar]
- Li, H.; Jiao, H.; Yang, Z. Ship trajectory prediction based on machine learning and deep learning: A systematic review and methods analysis. Eng. Appl. Artif. Intell. 2023, 126, 107062. [Google Scholar] [CrossRef]
- Tang, H.; Yin, Y.; Shen, H. A model for vessel trajectory prediction based on long short-term memory neural network. J. Mar. Eng. Technol. 2022, 21, 136–145. [Google Scholar] [CrossRef]
- Mehri, S.; Alesheikh, A.A.; Basiri, A. A Contextual Hybrid Model for Vessel Movement Prediction. IEEE Access 2021, 9, 45600–45613. [Google Scholar] [CrossRef]
- QSD-LSTM Vessel Trajectory Prediction Using Long Short-Term Memory with Quaternion Ship Domain. Appl. Ocean Res. 2023, 136, 103592.
- Tian, X.; Suo, Y. Research on Ship Trajectory Prediction Method Based on Difference Long Short-Term Memory. J. Mar. Sci. Eng. 2023, 11, 1731. [Google Scholar] [CrossRef]
- Li, X.; Liu, C.; Li, J.; Zhao, L.; Du, Z. Advancing Ship Trajectory Prediction: Integrating Deep Learning with Enhanced Reference Trajectory Correction Techniques. Ocean Eng. 2024, 311, 118880. [Google Scholar] [CrossRef]
- Ma, J.; Jia, C.; Shu, Y.; Liu, K.; Zhang, Y.; Hu, Y. Intent Prediction of Vessels in Intersection Waterway Based on Learning Vessel Motion Patterns with Early Observations. Ocean Eng. 2021, 232, 109154. [Google Scholar] [CrossRef]
- Syed, M.A.B.; Ahmed, I. A CNN-LSTM Architecture for Marine Vessel Track Association Using Automatic Identification System (AIS) Data. Sensors 2023, 23, 6400. [Google Scholar] [CrossRef]
- Yan, S.; Zhang, J.; Parvej, M.M.; Zhang, T. Sea Drift Trajectory Prediction Based on Quantum Convolutional Long Short-Term Memory Model. Appl. Sci. 2023, 13, 9969. [Google Scholar] [CrossRef]
- Wang, X.; Xiao, Y. A Deep Learning Model for Ship Trajectory Prediction Using Automatic Identification System (AIS) Data. Information 2023, 14, 212. [Google Scholar] [CrossRef]
- Zhao, J.; Yan, Z.; Zhou, Z.; Chen, X.; Wu, B.; Wang, S. A Ship Trajectory Prediction Method Based on GAT and LSTM. Ocean Eng. 2023, 289, 116159. [Google Scholar] [CrossRef]
- Li, M.; Li, B.; Qi, Z.; Li, J.; Wu, J. Enhancing Maritime Navigational Safety: Ship Trajectory Prediction Using ACoAtt–LSTM and AIS Data. ISPRS Int. J. Geo-Inf. 2024, 13, 85. [Google Scholar] [CrossRef]
- Wang, J.; Hu, B.; Zhu, J.; Gao, D. Ship Trajectory Prediction Model Based on PSO-LSTM. In Proceedings of the 2022 3rd International Conference on Big Data, Artificial Intelligence and Internet of Things Engineering (ICBAIE), Xi’an, China, 15–17 July 2022; IEEE: Beijing, China, 2022; pp. 81–86. [Google Scholar] [CrossRef]
- Cen, J.; Li, J.; Liu, X.; Chen, J.; Li, H.; Huang, W.; Zeng, L.; Kang, J.; Ke, S. A Hybrid Prediction Model of Vessel Trajectory Based on Attention Mechanism and CNN-GRU. Proc. Inst. Mech. Eng. Part J. Eng. Marit. Environ. 2024, 238, 809–823. [Google Scholar] [CrossRef]
- Li, X.; Dong, D.; Guo, Q.; Lin, C.; Wang, Z.; Ding, Y. A Novel WTG Method for Predicting Ship Trajectories in the Fujian Inshore Area Based on AIS Data. Water 2024, 16, 3036. [Google Scholar] [CrossRef]
- Ma, J.; Zhou, Y.; Chang, Y.; Zhu, Z.; Liu, G.; Chen, Z. TG-PGAT: An AIS Data-Driven Dynamic Spatiotemporal Prediction Model for Ship Traffic Flow in the Port. J. Mar. Sci. Eng. 2024, 12, 1875. [Google Scholar] [CrossRef]
- Liu, W.; Cao, Y.; Guan, M.; Liu, L. Research on Ship Trajectory Prediction Method Based on CNN-RGRU-Attention Fusion Model. IEEE Access 2024, 12, 63950–63957. [Google Scholar] [CrossRef]
- Dong, X.; Raja, S.S.; Zhang, J.; Wang, L. Ship Trajectory Prediction Based on CNN-MTABiGRU Model. IEEE Access 2024, 12, 115306–115318. [Google Scholar] [CrossRef]
- Lin, Z.; Yue, W.; Huang, J.; Wan, J. Ship Trajectory Prediction Based on the TTCN-Attention-GRU Model. Electronics 2023, 12, 2556. [Google Scholar] [CrossRef]
- Chen, J.; Zhang, J.; Chen, H.; Zhao, Y.; Wang, H. A TDV Attention-Based BiGRU Network for AIS-based Vessel Trajectory Prediction. Iscience 2023, 26, 106383. [Google Scholar] [CrossRef] [PubMed]
- Zhang, B.; Hirayama, K.; Ren, H.; Wang, D.; Li, H. Ship anomalous behavior detection using clustering and deep recurrent neural network. J. Mar. Sci. Eng. 2023, 11, 763. [Google Scholar] [CrossRef]
- Xi, D.; Feng, Y.; Jiang, W.; Yang, N.; Hu, X.; Wang, C. Construction of a Real-Time Ship Trajectory Prediction Model Based on Ship Automatic Identification System Data. ISPRS Int. J. Geo-Inf. 2023, 12, 502. [Google Scholar] [CrossRef]
- Gao, D.W.; Wang, Q.; Zhu, Y.S.; Xie, L.; Zhang, J.F.; Yan, K.; Zhang, P. A novel long sequence multi-step ship trajectory prediction method considering historical data. Proc. Inst. Mech. Eng. Part J. Eng. Marit. Environ. 2023, 237, 166–181. [Google Scholar] [CrossRef]
- Suo, Y.; Chen, W.; Claramunt, C.; Yang, S. A ship trajectory prediction framework based on a recurrent neural network. Sensors 2020, 20, 5133. [Google Scholar] [CrossRef]
- Alizadeh, D.; Alesheikh, A.A.; Sharif, M. Vessel trajectory prediction using historical automatic identification system data. J. Navig. 2021, 74, 156–174. [Google Scholar] [CrossRef]
- Shih, S.Y.; Sun, F.K.; Lee, H.y. Temporal pattern attention for multivariate time series forecasting. Mach. Learn. 2019, 108, 1421–1441. [Google Scholar] [CrossRef]
- Guard, U.C. MarineCadastre.gov. Available online: https://marinecadastre.gov/ais/ (accessed on 15 July 2023).
- Chen, X.; Wei, C.; Zhou, G.; Wu, H.; Wang, Z.; Biancardo, S.A. Automatic identification system (AIS) data supported ship trajectory prediction and analysis via a deep learning model. J. Mar. Sci. Eng. 2022, 10, 1314. [Google Scholar] [CrossRef]
- Chen, X.; Zhang, H.; Zhao, F.; Cai, Y.; Wang, H.; Ye, Q. Vehicle trajectory prediction based on intention-aware non-autoregressive transformer with multi-attention learning for Internet of Vehicles. IEEE Trans. Instrum. Meas. 2022, 71, 1–12. [Google Scholar] [CrossRef]
- Wu, W.; Chen, P.; Chen, L.; Mou, J. Ship Trajectory Prediction: An Integrated Approach Using ConvLSTM-based Sequence-to-Sequence Model. J. Mar. Sci. Eng. 2023, 11, 1484. [Google Scholar] [CrossRef]
- Yang, C.H.; Wu, C.H.; Shao, J.C.; Wang, Y.C.; Hsieh, C.M. AIS-based intelligent vessel trajectory prediction using bi-LSTM. IEEE Access 2022, 10, 24302–24315. [Google Scholar] [CrossRef]
- Zhao, H.; Wang, Y.; Duan, J.; Huang, C.; Cao, D.; Tong, Y.; Xu, B.; Bai, J.; Tong, J.; Zhang, Q. Multivariate time-series anomaly detection via graph attention network. In Proceedings of the 2020 ICDM, Sorrento, Italy, 17–20 November 2020; IEEE: Milano, Italy, 2020; pp. 841–850. [Google Scholar]
- Li, M.; Zheng, K.; Zhao, Y.; Wang, Y.; Zhao, H.; Ding, L. LSTnet-GRU-A: Traffic Flow Forecasting Based on Attention Mechanism. In Proceedings of the 2022 CAC, Xiamen, China, 25–27 November 2022; IEEE: Beijing, China, 2022; pp. 6487–6492. [Google Scholar]
- Zhang, R.; Chen, X.; Ye, L.; Yu, W.; Zhang, B.; Liu, J. Predicting Vessel Trajectories Using ASTGCN with StemGNN-Derived Correlation Matrix. Appl. Sci. 2024, 14, 4104. [Google Scholar] [CrossRef]














| Previous Works | Pros | Cons | |
|---|---|---|---|
| KF | Capable of handling dynamic data in real time and taking uncertainties into account, with acceptable computational efficiency. | Limited by linear assumptions and reliance on accurate system models. | |
| RF | Good at handling high-dimensional data and resistant to overfitting, with relatively good interpretability. | Complex model structure and sensitive to outliers. | |
| SVR | Strong in generalization and overfitting resistance and capable of handling small samples and data with various distributions. | Difficult to select kernel functions and high computational complexity. | |
| RNNs | LSTM | Able to handle long sequences, remember long-term dependencies, and perform automatic learning. | Long training time and prone to overfitting. |
| GRU | Simple structure, fast computation, and ability to handle long sequences. | May lose information and have limited generality. | |
| BiLSTM | Capable of capturing information from both directions of a sequence and handling long sequences. | High computational cost and prone to overfitting. | |
| Transformer | Parallel computing ability, ability to capture long-distance dependencies, and strong generality. | Requires a large amount of resources and ignores sequence order information. | |
| Hybrid methods | Combines the advantages of multiple methods and is adaptable to complex scenarios. | Complex parameter adjustment and difficult to interpret. | |
| Components | Similarities | Main Advantages | Possible Limitations |
|---|---|---|---|
| TPCA | It aims to enhance the understanding of ship trajectories by processing data relationships and exploiting the attention mechanism to extract crucial information from the data. | It not only focuses on the order of trajectory points but also gains a deeper comprehension of the correlations among them. It can identify hidden patterns within complex data structures. | The calculation process is relatively complex, which may increase the computational cost and time when dealing with large-scale data. |
| LSTM | Similar to previous studies, this study utilizes LSTM to handle time-series data like ship trajectories for prediction. | It can effectively model the long-term dependencies in time-series data and plays an important role in predicting the position of the ship at different moments. | Its ability to handle complex nonlinear relationships is relatively limited, and it may not be able to fully capture some complex variation patterns in ship trajectory data. |
| TPA | It is also designed to better utilize the information in time-series data and improve the prediction effect through a certain form of attention mechanism. | It can attend to multivariate data such as LON, LAT, SOG, and COG multiple times, enabling a more comprehensive consideration of the dynamic feature correlations among trajectory attributes. | Its adaptability to diverse data scenarios, such as different ship types and different sea areas, may require further verification and optimization. |
| GCRLoss | With the aim of optimizing the ship trajectory prediction model, an appropriate loss function is designed to adjust the model parameters to improve the prediction accuracy. | It can accurately consider the curvature of the Earth, addressing the fact that the Euclidean distance cannot accurately reflect the distance between the true and predicted positions. | The calculation is relatively complex, and compared with the traditional loss function based on the Euclidean distance, the computational cost may be higher. |
| Model | LAT_MAE↓ | LON_MAE↓ | LON_RMSE↓ | LAT_RMSE↓ | LON_MAPE | LAT_MAPE |
|---|---|---|---|---|---|---|
| GRU | 0.92702 | 0.39629 | 0.46053 | 1.02917 | 0.00151 | 0.02301 |
| RNN | 0.26230 | 0.04423 | 0.07378 | 0.38184 | 0.00152 | 0.02241 |
| TCN | 0.17887 | 0.02856 | 0.04268 | 0.27326 | 0.00488 | 0.02486 |
| Seq2seq | 0.16156 | 0.02574 | 0.05545 | 0.35212 | 0.00173 | 0.00794 |
| BiLSTM | 0.19081 | 0.01726 | 0.03231 | 0.44305 | 0.00803 | 0.00423 |
| LSTM | 0.10134 | 0.01447 | 0.03203 | 0.15862 | 0.001424 | 0.001903 |
| LSTM | TPA | TPCA | GCRLoss | LAT_MAE↓ | LON_MAE↓ | LON_RMSE↓ | LAT_RMSE↓ | LON_MAPE | LAT_MAPE |
|---|---|---|---|---|---|---|---|---|---|
| ✓ | 0.05134 | 0.03447 | 0.04265 | 0.07862 | 0.00142 | 0.00190 | |||
| ✓ | ✓ | 0.04805 | 0.03394 | 0.03943 | 0.06105 | 0.00126 | 0.00135 | ||
| ✓ | ✓ | 0.02175 | 0.01409 | 0.03252 | 0.05435 | 0.00114 | 0.00126 | ||
| ✓ | ✓ | ✓ | 0.01292 | 0.01191 | 0.02404 | 0.02749 | 0.00105 | 0.00114 | |
| ✓ | ✓ | ✓ | ✓ | 0.001084 | 0.002023 | 0.002705 | 0.001687 | 0.00093 | 0.00057 |
| Prediction Step | Methods | MAE | RMSE | MAPE | |||||||||
|---|---|---|---|---|---|---|---|---|---|---|---|---|---|
| LON | LAT | SOG | COG | LON | LAT | SOG | COG | LON | LAT | SOG | COG | ||
| 1 | MTAD_GAT | 0.086336 | 0.090204 | 0.852586 | 2.962924 | 0.101684 | 0.11592 | 1.262215 | 12.924484 | 0.007599 | 0.007341 | 0.291612 | 0.49913 |
| TPALSTM | 0.033944 | 0.048052 | 0.759806 | 4.833171 | 0.039438 | 0.061051 | 1.203548 | 5.459395 | 0.005436 | 0.007561 | 0.46512 | 0.06241 | |
| STGCN | 0.076652 | 0.037563 | 0.388463 | 1.338905 | 0.049328 | 0.110829 | 0.901796 | 4.245331 | 0.004365 | 0.008452 | 0.36541 | 0.23415 | |
| LSTNet | 0.04332 | 0.027212 | 0.792366 | 2.314438 | 0.054102 | 0.035895 | 1.231251 | 4.789644 | 0.003637 | 0.00924 | 0.3008 | 0.02218 | |
| Our model | 0.002023 | 0.004536 | 0.069415 | 0.191063 | 0.002705 | 0.001687 | 0.097449 | 1.277275 | 0.00093 | 0.00057 | 0.15714 | 0.01534 | |
| 5 | MTAD_GAT | 0.222017 | 0.16672 | 1.135313 | 9.318908 | 0.226321 | 0.189552 | 1.523652 | 13.14574 | 0.010712 | 0.00554 | 0.2073 | 0.0895 |
| TPALSTM | 0.071926 | 0.061051 | 1.121298 | 21.207679 | 0.077599 | 0.076011 | 1.539583 | 21.93227 | 0.08914 | 0.02315 | 0.45128 | 0.07251 | |
| STGCN | 0.0085682 | 0.045327 | 0.756145 | 2.452145 | 0.062345 | 0.135675 | 1.231468 | 6.45247 | 0.061424 | 0.014557 | 0.321454 | 0.561447 | |
| LSTNet | 0.055742 | 0.035895 | 1.251253 | 3.147069 | 0.078591 | 0.052041 | 1.699103 | 7.046304 | 0.00465 | 0.01085 | 0.59653 | 0.02509 | |
| Our model | 0.004437 | 0.006278 | 0.084564 | 0.245123 | 0.005393 | 0.006556 | 0.101414 | 2.34561 | 0.001611 | 0.00715 | 0.56562 | 0.21331 | |
| 10 | MTAD_GAT | 0.356247 | 0.292136 | 1.384505 | 15.296236 | 0.361537 | 0.328295 | 1.764433 | 16.421535 | 0.01172 | 0.004844 | 0.60732 | 0.08762 |
| TPALSTM | 0.105364 | 0.070332 | 1.357819 | 38.045608 | 0.111582 | 0.086357 | 1.742947 | 38.767856 | 0.006156 | 0.034512 | 0.15482 | 0.54561 | |
| STGCN | 0.100562 | 0.067568 | 0.945124 | 3.122152 | 0.110435 | 0.153682 | 1.452651 | 7.154201 | 0.024615 | 0.021467 | 0.54154 | 0.782156 | |
| LSTNet | 0.079526 | 0.05133 | 1.590686 | 4.524153 | 0.109809 | 0.077114 | 1.988238 | 8.264787 | 0.006869 | 0.01619 | 0.67532 | 0.03754 | |
| Our model | 0.005516 | 0.01984 | 0.104214 | 0.414135 | 0.007103 | 0.019978 | 0.241574 | 3.541244 | 0.001912 | 0.008912 | 0.663923 | 0.324652 | |
| 15 | MTAD_GAT | 0.467683 | 0.401736 | 1.504346 | 20.636161 | 0.474728 | 0.456042 | 1.9107316 | 21.729131 | 0.01206 | 0.007062 | 0.81273 | 0.09647 |
| TPALSTM | 0.128553 | 0.082603 | 1.424813 | 51.818588 | 0.135486 | 0.10622 | 1.836279 | 52.725833 | 0.0094514 | 0.045713 | 0.71545 | 0.76411 | |
| STGCN | 0.113561 | 0.083214 | 1.123541 | 5.215431 | 0.130546 | 0.175313 | 1.624154 | 9.145414 | 0.021342 | 0.025417 | 0.45713 | 0.45771 | |
| LSTNet | 0.093733 | 0.072858 | 1.695865 | 6.660522 | 0.129841 | 0.105266 | 2.116277 | 12.752275 | 0.007937 | 0.01228 | 0.74391 | 0.050962 | |
| Our model | 0.007983 | 0.036589 | 0.124561 | 0.647854 | 0.008991 | 0.036784 | 0.475864 | 4.751432 | 0.002501 | 0.018947 | 0.791012 | 0.42312 | |
| 20 | MTAD_GAT | 0.560471 | 0.471043 | 1.677445 | 25.434125 | 0.568225 | 0.541822 | 2.104631 | 26.647263 | 0.012513 | 0.009571 | 0.68632 | 0.58895 |
| TPALSTM | 0.143661 | 0.105757 | 1.569451 | 63.011222 | 0.15162 | 0.141545 | 1.982249 | 64.211448 | 0.023548 | 0.052146 | 0.784153 | 0.85461 | |
| STGCN | 0.123562 | 0.100213 | 1.144241 | 6.854241 | 0.157521 | 0.183564 | 1.741251 | 10.452114 | 0.012358 | 0.036784 | 0.84513 | 0.86571 | |
| LSTNet | 0.100393 | 0.098265 | 1.739334 | 8.69294 | 0.135451 | 0.134256 | 2.205585 | 14.064968 | 0.008370 | 0.03106 | 0.79853 | 0.05139 | |
| Our model | 0.014342 | 0.054848 | 0.345814 | 0.847475 | 0.014852 | 0.055091 | 0.674251 | 5.954145 | 0.00451 | 0.002931 | 0.81563 | 0.49957 | |
Disclaimer/Publisher’s Note: The statements, opinions and data contained in all publications are solely those of the individual author(s) and contributor(s) and not of MDPI and/or the editor(s). MDPI and/or the editor(s) disclaim responsibility for any injury to people or property resulting from any ideas, methods, instructions or products referred to in the content. |
© 2024 by the authors. Licensee MDPI, Basel, Switzerland. This article is an open access article distributed under the terms and conditions of the Creative Commons Attribution (CC BY) license (https://creativecommons.org/licenses/by/4.0/).
Share and Cite
Zhou, Y.; Guo, H.; Lu, J.; Gong, Z.; Yu, D.; Ding, L. Using LSTM with Trajectory Point Correlation and Temporal Pattern Attention for Ship Trajectory Prediction. Electronics 2024, 13, 4705. https://doi.org/10.3390/electronics13234705
Zhou Y, Guo H, Lu J, Gong Z, Yu D, Ding L. Using LSTM with Trajectory Point Correlation and Temporal Pattern Attention for Ship Trajectory Prediction. Electronics. 2024; 13(23):4705. https://doi.org/10.3390/electronics13234705
Chicago/Turabian StyleZhou, Yi, Haitao Guo, Jun Lu, Zhihui Gong, Donghang Yu, and Lei Ding. 2024. "Using LSTM with Trajectory Point Correlation and Temporal Pattern Attention for Ship Trajectory Prediction" Electronics 13, no. 23: 4705. https://doi.org/10.3390/electronics13234705
APA StyleZhou, Y., Guo, H., Lu, J., Gong, Z., Yu, D., & Ding, L. (2024). Using LSTM with Trajectory Point Correlation and Temporal Pattern Attention for Ship Trajectory Prediction. Electronics, 13(23), 4705. https://doi.org/10.3390/electronics13234705

