Next Article in Journal
A Multi-Mode Pressure Stabilization Control Method for Pump–Valve Cooperation in Liquid Supply System
Previous Article in Journal
Design of an Accurate, Planar, Resonant Microwave Sensor for Testing a Wide Range of Liquid Samples
 
 
Font Type:
Arial Georgia Verdana
Font Size:
Aa Aa Aa
Line Spacing:
Column Width:
Background:
Article

Virtual Generator to Replace Backup Diesel GenSets Using Backstepping Controlled NPC Multilevel Converter in Islanded Microgrids with Renewable Energy Sources

by
J. Dionísio Barros
1,2,*,
J. Fernando A. Silva
2,3 and
Luis Rocha
2,4
1
Departamento de Engenharia Eletrotécnica, Faculdade de Ciências Exatas e da Engenharia, University of Madeira, Campus Universitário da Penteada, 9020-105 Funchal, Portugal
2
INESC-ID, Rua Alves Redol, 1000-029 Lisboa, Portugal
3
Instituto Superior Técnico, University of Lisbon, Av. Rovisco Pais, 1049-001 Lisboa, Portugal
4
Departamento de Engenharia Eletrotécnica de Energia e Automação, Instituto Superior de Engenharia de Lisboa, Polytechnic Institute of Lisbon, Rua Conselheiro Emídio Navarro, 1959-007 Lisboa, Portugal
*
Author to whom correspondence should be addressed.
Electronics 2024, 13(22), 4511; https://doi.org/10.3390/electronics13224511
Submission received: 6 October 2024 / Revised: 13 November 2024 / Accepted: 15 November 2024 / Published: 17 November 2024
(This article belongs to the Special Issue Multilevel Converters for Large-Scale Grid-Connected Systems)

Abstract

This work presents an islanded microgrid energy system that uses backstepping control applied to neutral point clamped (NPC) multilevel converters coupled with batteries to behave as virtual generators, able to absorb surplus renewable energy, therefore increasing the penetration of renewable energy sources. Additionally, on a charged battery the virtual generator allows turning-off the backup diesel generator set (GenSet). Aside from improving energy efficiency, the battery-connected multilevel converter aims to regulate frequency, improves power quality, and keeps the microgrid operational in the event of a GenSet failure. The backstepping controlled NPC multilevel converter emulates a virtual generator injecting power to perform as the primary and secondary microgrid frequency controller. Additionally, AC voltage control is implemented, which enables running the islanded microgrid only with multilevel converters, supplied by the battery while integrating solar and wind energy sources. Energy demand and renewable energy forecasts are used to manage the battery state-of-charge. Simulation results, obtained from switched and phasor models show that energy storage and the backstepping frequency control enables the compensation of power fluctuations from renewable energy sources. Furthermore, in the event of the main GenSet failure, the controlled virtual generator keeps the microgrid running for a few minutes, until another GenSet is ready to supply the microgrid. Therefore, the microgrid integration of the battery-connected multilevel converter results in a significant boost in energy efficiency by allowing the disconnection of the backup GenSet.

1. Introduction

Energy conversion systems play a crucial role in modern society and are widely used in various forms across domestic, commercial, leisure, and industrial sceneries [1].
The Porto Santo Island in the Madeira Archipelago has a long beach with gold sand, leading to seasonal tourism. In the summer, Porto Santo attracts a lot of tourists, leading to an increase in electricity consumption. During winter, there is a decrease in the number of tourists, which is reflected in energy consumption. In winter, the typical peak power is 4 MVA, while in summer it is 8 MVA.
Facing the growing challenges of CO2 reduction and lower maintenance costs, Porto Santo’s isolated AC electrical microgrid, previously based on diesel generator sets (GenSets), has been upgraded with solutions to utilize clean and renewable energy sources (RES), including 0.75 MW of wind power, 2 MW of photovoltaic (PV) generation, and a project aimed at predominantly using electric vehicles (EVs) for transportation. However, the current electricity generation system (Figure 1), considering today’s standards, is relatively inefficient.
To prevent long power outages, if n GenSets are deemed necessary to supply the power demand, then N = n + 1 GenSets should be operating to meet the N-1 safety criterion. In Porto Santo, this criterion means at least two GenSets must be permanently connected even if operated outside the optimum operating range from an economic perspective. The installation of RES, particularly wind and solar, disrupts the frequency regulation of the grid, given their intermittence, uncertainty, and low-duty cycle. In many situations throughout the day, renewable energy cannot be supplied to users to prevent GenSets from dropping below the minimum power level required to ensure their stable operation.
Isolated microgrids face several challenges, with one of the primary difficulties being the need for efficient management and control to maintain a balance between supply and demand while ensuring system stability. Additionally, maintenance and repair can pose challenges, as isolated microgrids often have difficulty accessing specialized skills and equipment.
In recent years, energy storage systems (ESS) became the most important technology in isolated power systems (IPS), electrical power quality, distributed energy resources (DER), and sustainable mobility [2]. Several studies have investigated the economic benefits of battery-based energy storage systems (BESS) for microgrid applications, including the reduction of energy costs and the potential for revenue generation through energy arbitrage. BESS can provide significant benefits for microgrid management, and the development of advanced algorithms, battery technologies, control systems, and economic analysis will continue to drive innovation in this field. Therefore, to increase renewable energy penetration and power quality while reducing exploitation costs, a 5.4 MVA, 4.3 MW, and 3.3 MWh lithium-ion BESS [3] was installed in the Porto Santo microgrid. Additionally, due to the advanced capabilities of modern EVs, they can be utilized to supply power to islanded microgrids. The electric vehicle project in Porto Santo was designed to enable vehicle-to-grid (V2G) connections, creating distributed energy storage (DES).
Microgrids with ESS are gaining increasing importance [4,5]. This is because they allow greater integration of renewable energy sources through storage while supporting DC voltages, which are increasingly common with renewable generators like PV parks [6]. Modern microgrids can achieve 100% integration of DER through switching power converters and DES, contributing to the reduction of greenhouse gas emissions. Microgrids with ESS can operate independently and be supervised to maintain power quality and energy resilience, even when managing intermittent, unpredictable, and low-duty cycle renewable sources such as solar or wind energy.
One of the primary motivations for integrating BESS into isolated microgrids is to manage the short-term variability of renewable energy sources. BESS can store daily excess energy during periods of RES high generation and discharge it during periods of low generation, providing a stable and reliable energy source. Furthermore, several studies have investigated the potential benefits of BESS for microgrid management, including peak shaving, load leveling, and voltage regulation [7,8].
Power electronics is the key technology for harnessing clean energy sources and interface ESS. Therefore, power electronics play a crucial role in the development of smart grids and microgrids. Microgrids with power electronics converter interfaces and ESS can manage the intermittency and variability of PV and wind power, contributing to the reduction of greenhouse gas emissions.
Power electronic converter technology has advanced significantly over the past decades [9]. Various power converters have been developed to address different integration challenges while enhancing the economic and operational efficiency of these systems. Among these, multilevel converters have emerged as a crucial component in the decarbonization process, helping to address issues related to the integration of RES [10], distributed generation systems [11], smart grids [12], integration and optimization of storage devices [13], electric vehicles [14], and battery chargers [15], among others.
In AC medium voltages (MV), multilevel converter topologies [15,16,17,18,19] emerged as solutions to mitigate the required power semiconductors relatively high blocking voltages by limiting the semiconductor applied maximum voltage, reducing also the dv/dt and the AC voltage harmonic distortion. Some of the most common multilevel topologies used in renewable energy conversion systems are the neutral point clamped (NPC) [16], the flying capacitors (FC) [17], and the cascaded H-bridge multicell (CHB), but other hybrid or mixed topologies have emerged over the years [15,19]. Most topologies suffer from voltage balancing and control issues requiring elaborated control systems or improved power structures [20,21,22].
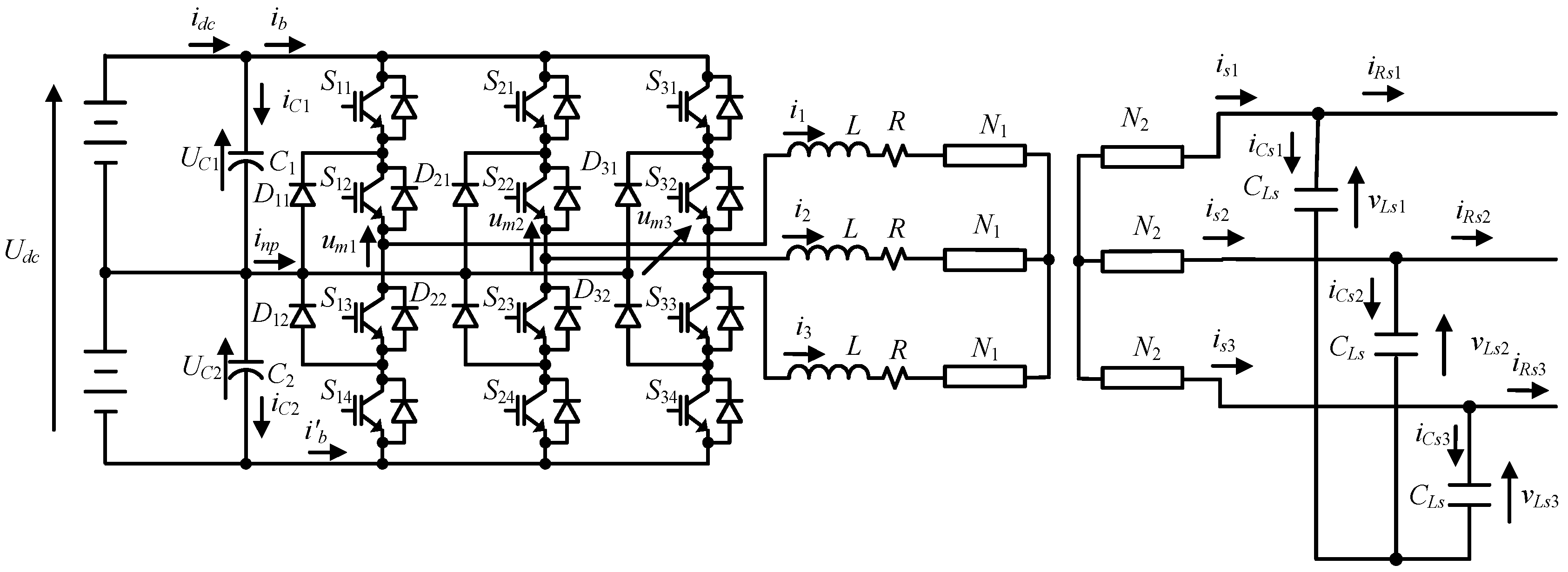
The NPC multilevel converter capacitor balance issue can be used to ease the battery management system (BMS), and therefore it is the considered converter to interface the Porto Santo battery-based ESS to the island grid (Figure 2), performing as an AC virtual generator while controlling the charge and the discharge of the battery.
In general, microgrids with variability, low-duty cycle and uncertainty renewable energy, power converters, and storage are multivariable, non-linear, high-order dynamic systems with multiple control objectives such as voltage and frequency regulations, power sharing, energy management, and economic dispatch optimization. However, usually conventional linear time-invariant controllers are employed in the so-called hierarchical control layers [23,24]. Centralized or decentralized primary control deals with generation unit power sharing and frequency control. The largest power capacity generator is responsible for regulating the frequency/active power and the voltage (reactive power) (f/v). Lower powered units use primary controls to regulate injected power and voltage (p/v), aided by droop controllers [25]. Secondary control also interfaces the tertiary control layer with the primary control layer and provides fault protection or restoration procedures. Tertiary control tasks can include power flow management, energy generation management to minimize operational costs/CO2, connection/disconnection of DER, or stored energy management, among other tasks. These algorithms are designed to optimize the charging and discharging of BESS based on energy demand and the forecast availability of renewable energy sources.
For primary or secondary control levels, linear time-invariant controllers, sliding mode, or Model Predictive Control (MPC) [26,27,28,29] need grid models and parameters, usually struggling to cope with non-modeled dynamics and parameter uncertainties. MPC has been used to manage BESS operations as tertiary controllers. In addition, the integration of DER and V2G into the grid can reverse power flow, altering the way the power system balances generation and demand. As a result, modern power system planners must adopt new methodologies to optimize both long-term planning and short-term operations in future power systems characterized by uncertain generation. Thus, continued research, innovation, and education into frequency and voltage regulation and battery charging/discharging in isolated grids are essential to increasing the integration of renewable energy and electric energy storage, a critical step toward sustainability.
Therefore, this paper presents a new integrated approach in which a single methodology, based on backstepping control [30,31,32,33,34,35,36], is used to derive robust primary, secondary, and tertiary controllers for NPC multilevel converters interfacing a battery bank (BESS NPC) in the MV Porto Santo grid. This BESS NPC performs as a virtual generator to regulate the frequency, the voltage, and the battery charge/discharge management, considering models for PV and wind forecast, providing battery overvoltage and overcurrent protection, while minimizing the number and power of GenSets in use, or even without using GenSets when failed.

2. Virtual Generator Backstepping Control

Backstepping control is a recursive Lyapunov-based methodology, receding from the system output to its input while aiming to derive successive virtual control actions to reach the real control input [30]. The BESS associated with the NPC converters should behave as an AC virtual generator, fulfilling the tasks GenSets usually carry, namely frequency and voltage regulation. This means the BESS virtual generator should be able to inject a given power into the AC grid in order to maintain the frequency and the voltage and to be able to replace a failed GenSet within the BESS power during the time the BESS still has energy.

2.1. Backstepping Frequency Control

To perform as a virtual generator regulating the AC network frequency, a virtual inertia frequency dynamics approach can be used starting from (1), where J is the inertia constant of the emulated virtual generator, ω is its angular frequency, D is its friction coefficient, TM is the generating torque, and TC is the imposed torque due to demand (AC loads), DER, and DES:
J d ω d t = D ω +   T M   T C
To determine the grid-injected virtual power, PMv, both members of (1) are multiplied by the angular frequency, ω. Knowing that the generator power is P M v = ω   T M , and the net demand power, PC, is P C = ω   T C , the square of the angular frequency dynamics is received:
d ω 2 d t = 2 D J ω 2   +   2 J P M v P C

2.1.1. Primary Control

To avoid the well-known linearization of (2) and use the backstepping method, the primary control can be designed to track the square value of the reference angular frequency ω R e f 2 by nulling the tracking error, e ω 2 , of the squared angular frequency:
e ω 2 = ω R e f 2 ω 2 = 0
To proceed, define a Lyapunov function L y 1   ( e ω 2 , t) (dependent on the time-varying quantity e ω 2 ) globally positive definite, continuously differentiable, and radially unbounded for all values of e ω 2 . Denoting L y 1   ( e ω 2 , t) by L y 1 for conciseness, a candidate function L y 1 for this case can be defined proportional to the square of e ω 2 :
L y 1 = e ω 2 2 2
To ensure the control stability, the time derivative of L y 1 must be negative ( d L y 1 d t < 0 ). Therefore, considering the time derivative of (4) and gain k p ω > 0 so that the term k p ω e ω 2 2 is negative, it is written:
d L y 1 d t = e ω 2 d e ω 2 d t = k p ω e ω 2 2
This stability condition can be used to determine the dynamics of the error of the squared angular frequency, which tends asymptotically to zero with a time constant 1 / k p ω :
d e ω 2 d t = k p ω e ω 2
Replacing the variables of (3) and (2) in (6), the reference value for the injected virtual power with the primary controller, P M v p , is received as:
P M v p = J 2 k p ω e ω 2   +   d ω R e f 2 d t   +   D ω 2   +   P C
This P M v p value can be applied by the NPC converter by defining its direct and quadrature currents to be injected in the grid.

2.1.2. Secondary Control

Secondary control is usually implemented to ensure steady-state tracking. Therefore, the value e S ω 2 of the integral of the squared angular frequency error e ω 2 should be enforced to zero:
e S ω 2 = e ω 2 d t = 0
A new composite positive definite Lyapunov function L y 2 , where the gain k ω is a positive definite constant, can be written as:
L y 2 = k ω e S ω 2 2 2   +   e ω 2 2 2
To ensure system stability, the time derivative of L y 2 must be negative. Therefore, considering the time derivative of (9) with k p ω > 0 , it is written:
d L y 2 d t = k ω e S ω 2 e ω 2   +   e ω 2 d e ω 2 d t = k p ω e ω 2 2
This stability condition can be used to determine the dynamics of the error of the squared angular frequency:
d e ω 2 d t = k p ω e ω 2 k ω e ω 2 d t
Taking the time derivative of ( 11 ) , a second-order linear homogeneous differential equation is obtained as d 2 e ω 2 d t 2 + k p ω d e ω 2 d t + k ω e ω 2 = 0 . This means that the tracking error e ω 2 tends to zero with stable second-order dynamics. Its characteristic equation s 2 + k p ω s   + k ω = 0 , has roots s 1,2 = k p ω / 2 ± k p ω 2 / 4 k ω , showing that, as k p ω / 2 is negative, the solution is stable. Additionally, if k p ω 2 / 4 k ω   > 0, then all roots are real negative, meaning the error tends asymptotically to zero. Using the canonical form of a second-order system s 2 + 2 ξ ω 0 s   + ω 0   2 , with roots ξ ω 0 ± ω 0 ξ 2 1 , it is concluded that the natural oscillation frequency is ω 0 = k ω and the damping factor is ξ = k p ω / 2 k ω . Choosing a suitable damping factor ξ ( ξ 1 for tracking error exponential decay) and natural oscillation frequency ω 0 , enables the calculation of gains k ω = ω 0   2 and k p ω = 2   ξ   ω 0 values.
Using (3) in (11), it is received d ω R e f 2 d t d ω 2 d t = k p ω e ω 2 k ω e ω 2 d t , while using (2), gives d ω R e f 2 d t 2 D J ω 2 + 2 J P M v P C = k p ω e ω 2 k ω e ω 2 d t . This equation holds if P M v equals the reference value for the virtual power using secondary control, P M v S , being P M v = P M v S . Solving the obtained equation for P M v S this virtual power is obtained as:
P M v S = J 2 k p ω e ω 2 + k ω e ω 2 d t + d ω R e f 2 d t + D ω 2 + P C = P M v p + J 2 k ω e ω 2 d t
This shows that secondary control effectively tries to zero the steady state error by adding an integral term to the primary control law P M v p in (7). Direct and quadrature currents to be injected or retrieved will be influenced by the integral term.

2.2. Backstepping AC Voltage Control

Porto Santo Island has a MV voltage level of 6.6 kV and step-down transformers for the 690 V low voltage (LV) connection of renewable generators and BESS NPC N 1 N 2 = 0.69   kV 6.6   kV , (Figure 3).
Assuming ideal components, AC grid voltages v L s 1 , v L s 2 , v L s 3 , dynamics in (13) can be obtained applying Kirchhoff laws to the filter capacitors of the multilevel converter in Figure 3, where i1, i2, i3 are the converter injected currents and iRs1, iRs2, iRs3 are the output MV line currents.
d v L s 1 d t d v L s 2 d t d v L s 3 d t = 1 C L s N 1 N 2 0 0 0 1 C L s N 1 N 2 0 0 0 1 C L s N 1 N 2 i 1 i 2 i 3 1 C L s 0 0 0 1 C L s 0 0 0 1 C L s i R s 1 i R s 2 i R s 3
Successively applying the Clark–Concordia and the Park transforms to (13), the vLsd and vLsq dynamics of the AC voltages direct and quadrature components are given in (14), where id and iq are the converter injected current d,q components (control quantities), while iRsd and iRsq are the output line current d,q components and considered as disturbances for control purposes.
d v L s d d t d v L s q d t = 0 ω ω 0 v L s d v L s q   +   1 C L s N 1 N 2 0 0 1 C L s N 1 N 2 i d i q 1 C L s 0 0 1 C L s i R s d i R s q

2.2.1. Voltage Control Using Reactive Power Injection

As most grid codes allow a ±10% deviation on the nominal AC RMS value, the control of the AC voltage primary regulation can be done using the quadrature component v L s q of the AC voltage, the direct component v L s d being usually regulated by the highest power generator available in the microgrid. From the standards, there is no need to guarantee the zero value of the integration of the voltage deviation. Therefore, voltage regulation using the backstepping method can be designed to follow the v L s q reference angular value v L s q R e f , the voltage deviation, e v L s q , being:
e v L s q = v L s q R e f v L s q
A positive definite Lyapunov function L y 3 , in (16) is considered:
L y 3 = e v L s q 2 2
For stability, the time derivative of L y 3 must be negative. As in the frequency primary control, the stability condition can be written in (17), where k p e v L s q is a positive definite constant:
d e v L s q d t = k p e v L s q e v L s q
AC voltage regulation is done by injecting reactive power Q B v . Active and reactive powers PB, QB are dependent on the AC line direct and quadrature components of voltages v L s d ,   v L s q and currents i d ,   i q (18). From (18), as usually V L q 0 the control quantity for the reactive power is the quadrature current i q .
P B =   V L d i d + V L q i q = V L q = 0 V L d i d Q B = V L q i d V L d i q = V L q = 0 V L d i q                     i d = P B V L d + Q B V L q V L d 2 + V L q 2 V L q 0 P B V L d i q = P B V L q Q B V L d V L d 2 + V L q 2 V L q 0 Q B V L d
Using (15) and d v L s q d t from (14) in (17), the multilevel NPC converter virtual quadrature current, seen from the LV transformer side, i q v , is:
i q v = N 2 N 1 C L S   k p v L s q e v L s q +   ω C L S v L s d +   C L S d   v L s q R e f d t +   i R s q
This current i q v corresponds to the injection of reactive power Q B v given in (20):
Q B v   V L d i q v

2.2.2. Voltage/Frequency Control Using Active Power Injection

As there is no need to ensure zero steady-state error, voltage regulation can also be designed to track the direct component v L s d reference angular value v L s d R e f . Using an approach similar to that of the quadrature component, considering the direct voltage deviation e v L s d = v L s d R e f v L s d , a positive definite Lyapunov function similar to (16), a stability condition like (17), from (18), and d v L s d d t from (14), the NPC converter virtual direct current, seen from the LV transformer side, i d v v , is:
i d v v = N 2 N 1 C L S k e v L s d e v L s d ω C L S v L s q   +   C L S d v L s d R e f d t   +   i R s d
As the BESS NPC should be mainly operated in frequency control, the main function of the direct current component is to inject the power P M v S from (12) needed for frequency control while regulating the voltage through reactive power injection using Equation (19), as reactive power and voltage magnitude have a significant coupling because of the medium voltage mostly inductive line impedance, whereas real power and voltage magnitude have a weak coupling. Equation (21) should be used only if the BESS NPC is connected to a relatively low inductance line.
From (18), assuming small quadrature voltages and P B = P M v S when i d = i d v it is i d v = P M v S v d . Then, from (12), the NPC converter virtual direct current to inject P M v S , seen from the LV transformer side i d v P in (22) is obtained from (12), divided by V L d and affected by the transformer ratio N 2 / N 1 .
i d v P = N 2 N 1 1 V L d J 2 k p ω e ω 2 +   k ω e ω 2 d t + d ω R e f 2 d t + D ω 2 + P C
Assuming separated dynamics, that is, considering that the dynamics of the AC 50 Hz currents are much faster than the frequency and voltage variations, then the values i d v P , from (22) and i q v from (19) can be used in the internal controller of the NPC converter power semiconductors using also backstepping control and a pulse with modulator (PWM), as done in [32] for NPC and in [35] for modular multilevel converters.

2.3. Tertiary Control: BESS Backstepping Energy Management

It makes sense to charge the battery when renewable energy is in surplus or when the power demand is below the minimum power level required to ensure economic operation of GenSets. The battery is discharged mostly during the peak hours or unexpectedly high consumption, during the full hours, or when there is little renewable energy available. In this paper, battery energy management is made by enforcing the NPC multilevel virtual generator to absorb (or supply) an average active power so that at the end of a given period (1 day ahead usually), or at a certain time, the energy available in the battery reaches a given level. Primary frequency and voltage control of each GenSet, and droop control then adjust their injected powers. Instead of using a power management algorithm based on a set of power flow scenarios [37], the backstepping method, together with the forecast of the load diagram and the forecast of renewable energy production, is used to manage the battery energy within a given period of time (1 day ahead).
Supposing energy conservation, the sum of all generated energy, EG, is equal to the load energy consumption, EC, plus the energy loss mainly in the electrical grid, transformers, and multilevel converters, EP. In Porto Santo Island, the energy is generated from GenSets, ETerm, wind generators, EWind, photovoltaic parks, EPV, and the energy supplied by the battery bank through the multilevel converter, EBat. Therefore:
E G = E C   + E P = E T e r m + E W i n d + E P V + E B a t
From (23), considering the day ahead forecast values of ETerm, EWind, EPV, EC, EP as ETFor, EWFor, EPVFor, ECFor, and EPFor, respectively, the forecast value of the BESS energy EBatFor is received as:
E B a t F o r = E C F o r + E P F o r   E T F o r   E W F o r   E P V F o r
The value of the battery bank energy EBat must equal the forecast value, E B a t F o r , determined by the distribution network operator the day ahead. Defining the tracking error, e E B a t , as:
e E B a t = E B a t F o r E B a t
and a positive definite Lyapunov function as L y 4 , in (26):
L y 4 = e E B a t 2 2
Similarly, to ensure stability, supposing k E B a t > 0 , then d e E B a t d t = k E B a t e E B a t or:
d E B a t F o r d t d E B a t d t = k E B a t e E B a t
As the control action should be the multilevel converter energy EBat to be generated the day ahead, knowing that d E B a t d t = P B a t from (27), (25), and (24) the multilevel inverter virtual power P B a t v is obtained as:
P B a t v = d E B a t F o r d t + k E B a t ( E C F o r + E P F o r E T F o r E W F o r E P V F o r E B a t )
This gives the forecasted BESS power to be retrieved or injected in the grid so that the battery bank energy EBat equals a certain value, E B a t F o r .
The BESS backstepping energy management completes the secondary and primary controllers in Figure 4.

3. Case Study: Porto Santo Island Simulation Tests and Results

This section presents the study of the impact of using a multilevel converter connected to a battery bank in the case of the Porto Santo electrical grid. In the MATLAB/Simulink simulator [38], a simplified electrical network of the Porto Santo network was outlined with a diesel GenSet and aggregation of load variation, PV, and wind generation.
In the case study to be applied on the island of Porto Santo, the aim is to study the influence of frequency control, primary and secondary, of the use of the multilevel converter connected to a battery bank, comparing the Porto Santo network when it is operating with and without a battery bank connected through a backstepping-controlled BESS NPC in primary and secondary control. Tests are carried out in permanent and transient regimes.
The BESS NPC can also help control the grid voltage by compensating the reactive power through the quadrature current component, and exceptionally, when the BESS NPC is not controlling the frequency, it can also control the d component of the grid voltage. The tests will characterize the influence of the AC voltage control of the Porto Santo network with the aid of the BESS NPC.
This work uses the forecast of the load and the RES generation in order to optimize the battery’s state of charge, charging at times when there is more energy available to deliver at times when there is greater demand, which enables near optimal GenSet operation. Results are presented to evaluate the performance of this battery energy management functionality as a function of the availability of renewable energy sources and energy consumption.
The tests carried out on the Porto Santo microgrid assume operation with a 4 MVA GenSet, a solar park with an installed capacity of 2 MVA, 0.75 MVA of wind generation, and power demand less than 4 MVA (winter scenario).
The base power, SB, is considered to be 1 pu = 4 MVA, which is typically higher than the maximum value of the winter load power. The medium voltage base value, VB, is 1 pu = 6.6 kV, and the base frequency, fB, is the Europe grid reference frequency, 1 pu = 50 Hz. The hereafter tests aim to evaluate the performance of the Porto Santo network with the BESS NPC to avoid the use of a second GenSet to ensure the N-1 redundancy criterion. The compulsory usage of two 4 MVA GenSets (minimum combined power 3.2 MW) in a network with winter consumption of less than 4 MW makes the system very inefficient while not resourcefully using the 2.75 MW renewable energy generation when available, namely 2 MW of PV energy. The aim is to replace the redundant GenSet by installing a grid-connected BESS NPC to increase the penetration of renewable energies up to the full 2.75 MW when available, accumulating energy when there is excess generation to be used when demand increases.

3.1. Backstepping Frequency Control Simulation Tests and Results

In this section, test results are shown to assess the backstepping primary and secondary frequency control of the Porto Santo Island grid. The tests will begin by performing steady-state tests, followed by the GenSet or BESS NPC being disconnected from the grid and the GenSet or the BESS NPC being put into operation. The effect of random load variation on the frequency variation of the grid will then be studied when the control is performed by the GenSet, the BESS NPC, or both (GenSet and BESS NPC). The frequency control tests will end by studying the effect of the sudden connection of a load or the effect of abruptly disconnecting a load on the frequency control of the microgrid.

3.1.1. Steady-State Behavior Followed by the Connection or by the Disconnection of the GenSet or the NPC Converter

Figure 5 results show the frequency control of the microgrid in steady state up to the time instant of 21 s. Figure 5 shows that in steady state when the grid frequency is controlled by the GenSet, Figure 5b,c, or by the NPC converter connected to the battery bank, Figure 5a,d. The grid frequency does not show steady-state error, presenting a value of 1 pu. These results show that it is possible in steady-state to control the frequency with the GenSet or with the NPC BESS.
From time point 21 s onwards, it is evaluated what happens to the grid frequency control when the GenSet is disconnected or the BESS NPC is connected/disconnected.
The results in Figure 5a show that when the grid frequency control is maintained by the BESS NPC, and the GenSet is disconnected from the grid at 21 s, the grid frequency has a reduction of 0.0125 pu and recovers in approximately 0.5 s. The power results show that when the GenSet is turned off, the BESS NPC starts to supply power to feed the load, controlling the frequency.
The results in Figure 5b show that when the GenSet is controlling the frequency and at 21 s the BESS NPC is disconnected from the microgrid, the frequency variation is less than 0.0025 pu and takes approximately 6 s to stabilize at a frequency value of 1 pu. The results show that frequency control is done simultaneously with the power of the GenSet and the BESS NPC and from 21 s onwards only the GenSet provides the power to control the frequency. These results show that frequency control is ensured in the Porto Santo island grid when there is a failure in the GenSet or in the BESS NPC, showing that the use of BESS NPC allows replacing a redundant GenSet in the most critical situation, when one of these elements stops working, ensuring the N-1 redundancy criterion.
Figure 5c shows the effect of controlling the frequency of the microgrid using the GenSet, and at 21 s, the BESS NPC is connected to the grid. The results are not symmetric relative to Figure 5b, as the BESS NPC is not connected at the same power level as it was disconnected in Figure 5b due to regulation dynamics. Nevertheless, results show that the frequency variation is less than 0.0025 pu and the time in which the frequency variation is visible approximates 5 s.
The results in Figure 5d show the frequency control of the microgrid using the BESS NPC, while at 21 s the GenSet is connected to the grid. The following transient shows an increase in the network frequency of approximately 0.015 pu with a duration of around 0.5 s. This increase in power is due to the initial supply of the GenSet, which causes a reduction in the power supplied by the BESS NPC.
These above results show that the connection/disconnection of either the BESS NPC or the Genset causes relatively small variation in the frequency control of the microgrid.
The results in this section show that when the load demand and generation of renewable energy are in steady state, the network frequency is controlled at 1 pu by the NPC connected to the battery bank or by the GenSet. The results also show that even if there is a failure in the GenSet, the BESS NPC maintains the frequency regulation, or if there is a failure in the BESS NPC, the GenSet ensures regulation of the network frequency. Connection of the GenSet to the grid or the BESS NPC does not cause significant variations in the grid frequency beyond the initial transient. The BESS NPC maintains the frequency deviation well inside the power quality standards while being faster than the GenSet in reaching steady state.

3.1.2. Dynamic Behavior Under 0.05 pu Random Load Variation

The dynamic behavior tests evaluate the performance of network frequency control when random variations in load or volatile renewable energy generation occur. In these results, the load power, or RES, is randomly varied by 0.05 pu, and the frequency regulation is evaluated when the GenSet is performing frequency control, with or without the help of the primary control of the BESS NPC, or when frequency control is done only by the BESS NPC or with the help of the primary control of the GenSet.
Figure 6a results show the frequency variation of the microgrid when frequency control is done only by the GenSet. The results indicate that the network frequency follows the reference at around 1 pu and a maximum variation slightly greater than 0.001 pu. When the network frequency control is done only with the BESS NPC, Figure 6c, dynamic behavior is alike the frequency control using only the GenSet (Figure 6a), except the maximum frequency variation is slightly less than 0.001 pu, while when using only the GenSet the maximum frequency variation surpasses 0.001 pu.
The results in Figure 6b show that if the BESS NPC helps the GenSet with primary control, the deviation is always below 0.001 pu. The results in Figure 6d also show less frequency variation (around 0.0005 pu) when the NPC frequency control is combined with the GenSet frequency primary control.
Figure 6 indicates that even with a random variation of 0.05 pu in load power, the maximum variation in frequency is 0.001 pu, which is a significantly low value in an isolated microgrid. The results also show that primary control by the GenSet or by the BESS NPC connected to the battery bank contributes to the reduction of the frequency variation of the microgrid.

3.1.3. Transient Behavior Under a Step Load Increase and Decrease of 0.125 pu

Tests to be presented in this section aim to evaluate the backstepping frequency control performance of Porto Santo microgrid when there is either a significant step increase or step decrease in the demanded power. Tests apply a step load variation (increase or decrease) of 0.125 pu, and the behavior is evaluated when frequency control is carried out by the GenSet or the BESS NPC. The assistance of the primary frequency controller of the generator, or the BESS NPC, is also evaluated.
Figure 7a shows that up to 21 s, the network frequency, controlled only by the GenSet, has a value of 1 pu. Upon connecting an additional load of 0.125 pu, there is a frequency decrease of 0.0037 pu for approximately 1.5 s. After this transient, the microgrid frequency remains at 1 pu. At the time of 31 s, the 0.125 pu load is switched off, causing an increase of 0.0038 pu in the frequency. The transient lasts approximately 1.5 s. After this transient, the GenSet is capable of restoring the network frequency to 1 pu. If the frequency control of the GenSet is aided by the BESS NPC backstepping primary control, Figure 7b, the stepwise connection of the 0.125 pu load causes a smaller decrease in frequency, 0.0025 pu, but the transient lasts for 6 s. Figure 7b also shows that when turning off the 0.125 pu load, the frequency increases only 0.0025 pu. Therefore, the BESS NPC with backstepping primary frequency control contributes to reducing the frequency variation reduction in the Porto Santo microgrid subjected to load step variations.
When frequency control is carried out only with the backstepping-controlled BESS NPC, connecting a load of 0.125 pu at 21 s causes a frequency decrease of less than 0.0025 pu, Figure 7c. The transient lasts less than 0.5 s and presents small oscillations lasting approximately 9 s. When turning off the 0.125 pu load, there is less than 0.0025 pu increase in frequency, lasting also less than 0.5 s and with small oscillations during 9 s. Results in Figure 7d show that the frequency backstepping controlled BESS NPC, helped by the frequency primary control of the GenSet, slightly reduces the frequency variation to values around 0.0019 pu.
Results in Figure 7 indicate that even when a load variation of 0.125 pu occurs, the frequency variation is less than 0.0038 pu. The results also show that using the backstepping-controlled BESS NPC reduces the variation of the frequency transient when compared to the GenSet. When the frequency control is performed both by the GenSet and BESS NPC, there is a reduction in the maximum frequency variation when the 0.125 pu load is turned on or off.
The microgrid tests to evaluate frequency control show that in steady state the network frequency follows 1 pu, regardless of whether the control is done with the GenSet or the BESS NPC. The disconnection of the GenSet or BESS NPC causes a low variation in the grid frequency, as does the connection of this equipment to the microgrid. The random charge variation of 0.05 pu creates frequency variations of around 0.001 pu. The use of the BESS NPC and the assistance of the primary control help to reduce this frequency variation. The frequency control results also show that even when there is a step variation in the load of 0.125 pu, it causes frequency variations of less than 0.0038 pu. The results show that the frequency of the Porto Santo microgrid presents good regulation, and the BESS NPC is capable of tight frequency regulation even when the grid undergoes a GenSet failure.

3.2. Backstepping AC Voltage Simulation Tests and Results

This section evaluates the Porto Santo island microgrid voltage control. It is intended to compare the operation of the microgrid only with the GenSet voltage control and with the help of BESS NPC voltage control through the quadrature voltage component, q, while performing primary frequency control. The BESS NPC controlling the quadrature voltage component together with the frequency primary and secondary control will also be tested. Tests will also show the behavior when BESS NPC is dedicated to the control of the grid voltage, using the direct component, d, and the quadrature component, q.
Tests are carried out in steady state to verify if the network voltage follows the 1 pu reference and also to evaluate power factor compensation. Tests also consider random variations of the demand or in RES to study the influence of the randomness on the control of the grid voltage. The control of the grid voltage is also tested when a significant load is steeply switched on and off in the Porto Santo microgrid.

3.2.1. Steady-State Behavior of Microgrid pu Voltage

Microgrid voltage control tests in steady state consider the load and renewable energy sources without significant variations. The aim of these tests is to verify whether the network voltage is well controlled, close to 1 pu, and the influence the use of the BESS NPC has on voltage regulation and compensation of reactive power.
The results in Figure 8a show that the microgrid voltage, when controlled with the GenSet only, is approximately 0.99875 pu (deviation of only 0.00125 pu), which means the voltage is well regulated. Connecting the BESS NPC to the microgrid, using the frequency primary control and the voltage component q control, it is recorded in Figure 8b that the microgrid voltage follows the 1 pu reference. This result shows that the BESS NPC, in addition to helping with frequency control, also contributes to the regulation of the microgrid voltage.
Using the NPC multilevel converter to control the network frequency and the voltage q component while the GenSet performs the frequency primary control, it can be seen in Figure 8c that the network voltage presents a value of approximately 0.9995 pu (only 0.0005 pu deviation). This shows that the BESS NPC can control the network frequency while regulating the voltage q component to achieve a very low deviation from the 1 pu reference.
The BESS NPC can stop frequency control and focus only on d and q component voltage control. With the GenSet controlling the network frequency and the BESS NPC doing d and q component voltage control, it can be seen in Figure 8d that the voltage is approximately 0.99975 pu (only 0.00025 pu deviation), which shows that the microgrid voltage is well regulated.
Figure 8 shows that using the BESS NPC together with the GenSet helps regulate the voltage, leading to very small deviations regarding the standard allowance of ±10%. The results also show that when the BESS NPC is used to control the frequency or dedicated to the regulation of the voltage components, the microgrid voltage follows the 1 pu reference with even lower deviations.
Under the same test conditions as in Figure 8, the reactive powers injected by the GenSet, the BESS NPC, and the total sum reactive power were also recorded in Figure 9, considering a scenario with high reactive power consumption (approximately 0.75 pu).
The result in Figure 9a shows that with 0.75 pu reactive power demand, the GenSet has to inject a reactive power of 0.75 pu, leading to the increase of the electromotive force of the synchronous generator field winding. After the BESS NPC connection, it is observed in Figure 9b that the reactive power of the GenSet has decreased to 0.075 pu, being the BESS NPC responsible to supply most of the demanded reactive power, almost 0.75 pu, relieving the GenSet from that effort.
Using the BESS NPC to control the network frequency and taking advantage of the additional degree of freedom of the quadrature current to control the network voltage, it can also be seen in Figure 9c that the reactive power of the GenSet is approximately 0.15 pu and the BESS NPC reactive of 0.64 pu. When the BESS NPC controls the dq voltage components, higher values of BESS NPC reactive power, about 0.75 pu, can be compensated, reducing the GenSet reactive power to 0.05 pu, as shown in Figure 9d.
Figure 9 shows the use of the BESS NPC can be used to compensate the reactive power of the load, working together or relieving the GenSet in this compensation.

3.2.2. Voltage Regulation Dynamic Behavior Under 0.05 pu Random Load Variation

This section shows tests on the Porto Santo microgrid to evaluate voltage control when power demand and solar or wind RES present 0.05 pu random power variations. Considering random power variation, it is verified whether the GenSet is able to control the microgrid voltage alone and whether the BESS NPC can help the GenSet in this task. The tests also serve to evaluate the microgrid voltage regulation when the BESS NPC is controlling the grid frequency and the q component of voltage or when the BESS NPC is dedicated to the regulation of the microgrid voltage d q components.
Figure 10a shows the microgrid voltage under only the GenSet control of voltage and frequency. The results show that the average voltage value is approximately 0.99875 pu, and the random variation around this value is 0.00125 pu. Connecting the BESS NPC to the Porto Santo microgrid, Figure 10b, it is observed that the average value of the grid voltage is approximately 1 pu and the variations are 0.0025 pu. The results show that the use of the BESS NPC helps to adjust the average value of the network voltage and causes a slight increase in the voltage variation.
The results in Figure 10c point to an average voltage value of the microgrid of about 0.9995 pu, with variations around this value that can briefly exceed 0.005 pu. The BESS NPC, when giving priority to frequency control, causes an increase in voltage variation. Using the BESS NPC dedicated to microgrid voltage control, it is observed in Figure 10d that the average voltage value is approximately 0.99975 pu with voltage deviations in the order of 0.00125 pu.
Results in Figure 10 highlight the GenSet voltage control resilience to power demand and RES random power variations. Using the BESS NPC helps bring the average value of the reference voltage closer to 1 pu, at the cost of increased voltage deviations when the BESS NPC is also used to control the frequency. Using the BESS NPC to control only the voltage allows regulating the average value, closer to 1 pu, while being able to reduce the microgrid voltage variations.

3.2.3. Voltage Transient Behavior Under a 0.125 pu Step Load Increase/Decrease

This section studies the effect of the load power step variations (the load is turned on or off) on the voltage control in the Porto Santo microgrid. To analyze the transient behavior of the voltage control, the microgrid is operating in steady state before a load of 0.125 pu is connected at 21 s time and then disconnected at 31 s. Tests are carried out with the microgrid operating only with the GenSet, and then the BESS NPC is connected to control the q component of the voltage. Microgrid voltage control performance evaluation is also performed when the BESS NPC is controlling frequency (primary and secondary control) together with the microgrid voltage component q. The use of the BESS NPC to control the direct and quadrature voltage components is also tested under step load variations.
Figure 11a shows the microgrid voltage results when the grid operates with the GenSet but without the BESS NPC. When a 0.125 pu step load is connected at 21 s, a very brief voltage dip is observed. The microgrid voltage drops to 0.8625 pu, corresponding to a deviation greater than 0.1375 pu. After a rapid voltage recovery, slight oscillations of 0.00313 pu occur for 4 s. At the time of 31 s, the 0.125 pu load is switched off, and oscillations on the order of 0.00313 pu occur, lasting also about 4 s. When connecting the BESS NPC together with the GenSet, it can be seen in Figure 11b that when the load of 0.125 pu is connected, the voltage drops to 0.8625 pu and then recovers to 1 pu, presenting damped oscillations with an amplitude of 0.01565 pu, attenuated over a time interval of 7 s. At a time of 31 s, the 0.125 pu load is switched off, causing oscillations with an amplitude slightly greater than 0.01565 pu, which attenuate during 7 s.
The results in Figure 11c show the voltage when the BESS NPC is regulating the grid frequency, with primary and secondary control, and the voltage quadrature component is used to help the control of the microgrid voltage. The results show that the voltage reaches 0.8625 pu when a load of 0.125 pu is connected and then oscillates with an amplitude of 0.0313 pu, which is attenuated during 10 s. When the load is turned off, similar oscillations occur.
Using the BESS NPC dedicated only to microgrid voltage control, it can be seen from Figure 11d that the voltage dip reaches 0.8625 pu when the 0.125 pu load is connected, and after this dip, oscillations with lower amplitude occur at 0.001565 pu for 4 s. At the time instant of 31 s, when the 0.125 pu load is switched off, similar oscillations occur.
From the Figure 11 analysis, it is concluded that the GenSet alone has the capability to recover the voltage after the 0.125 pu load connection dip. If the BESS NPC is also dedicated to voltage control, the voltage dip and damped oscillations are slightly reduced.
Tests on the voltage control of the Porto Santo microgrid show that in steady state, the use of the BESS NPC helps to adjust the grid voltage to its reference value of 1 pu using reactive power compensation. When random variations in the load occur, the use of the BESS NPC, when used to also control the frequency, does not improve the reduction of voltage variations but helps to maintain the average value close to the reference. Using BESS NPC dedicated to voltage control helps reduce microgrid disturbances due to random variation in load power or volatile renewable energy sources. The step connection of heavy loads causes a dip followed by damped oscillations that can be significantly reduced using the BESS NPC dedicated to microgrid voltage control.
Results show that with load random variations and even with heavy load step disturbances, the network voltages are within the mandatory value range with brief and shallow dips, small damped oscillations, and very good regulation.

3.3. BESS Backstepping Energy Management Simulation Tests and Results

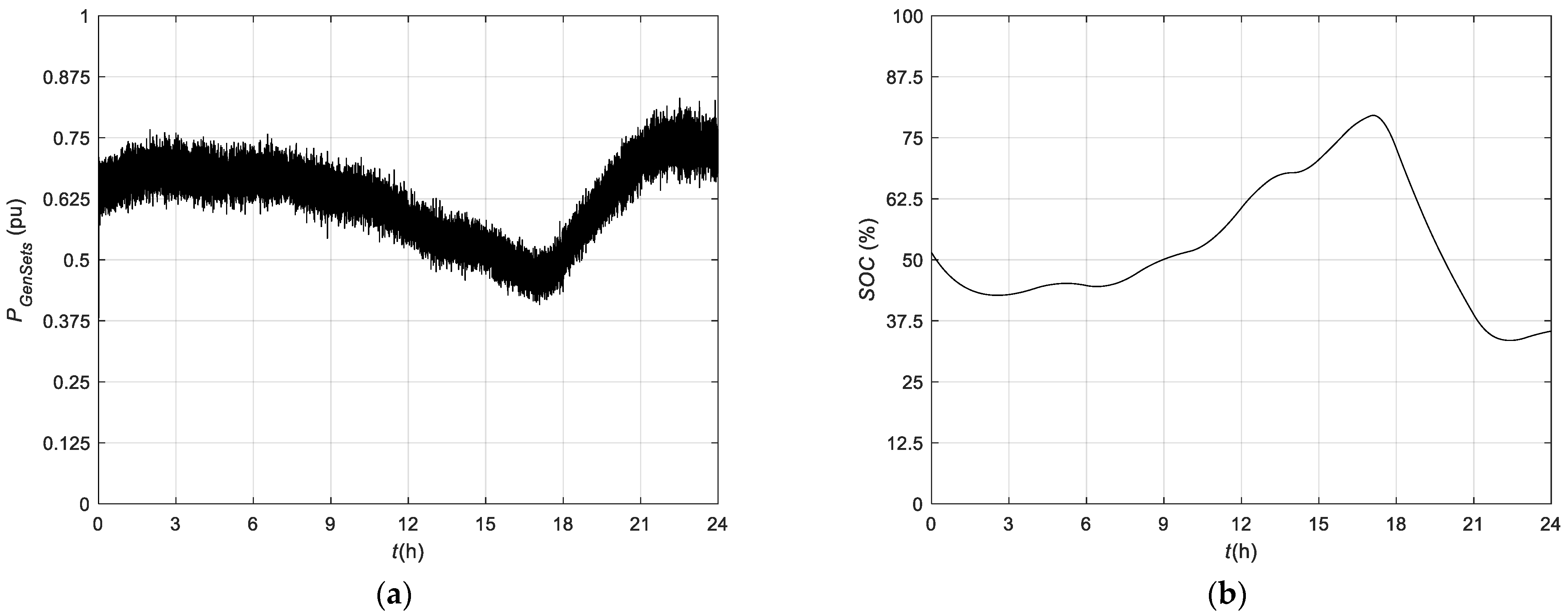
This section presents battery energy management tests using the BESS NPC. First, the Porto Santo microgrid is evaluated in standard operation without battery energy management to evaluate the behavior of GenSet power, grid frequency control, and grid voltage. Porto Santo microgrid has PV and wind RES, and the number of electric cars has grown, leading to significant load diagram changes. Tests are done to assess the Porto Santo microgrid capability to charge the battery storage during off-load hours and RES significant generation to use the battery stored energy during peak and full hours, enabling the optimization of the GenSet operation. Tests are also carried out to evaluate the battery charging system when load and RES random disturbances occur.

3.3.1. Microgrid Simulation Tests and Results Without BESS Backstepping Energy Management

The Porto Santo microgrid in its standard operating mode, without the backstepping battery management system, is tested considering a winter day load diagram. The battery bank energy is here shown using the battery bank State-of-Charge (SOC). The first test maintains the SOC at a constant value in order to evaluate the GenSet power, frequency control, and voltage control throughout the day.
Figure 12a shows that the GenSet delivers approximately 0.4 pu minimum power around 4 p.m. and approximately 0.8 pu maximum power at 9 p.m. Therefore, the GenSet power is quite variable throughout the day, with 0.4 pu maximum variation. Additionally, from 6 p.m. onwards there is a significant power demand, while between 0 a.m. and 4 p.m. consumption decreases. During this test, the energy in the battery bank is kept constant, thus the battery SOC value, Figure 12b, remains constant. Figure 12c shows that the network frequency is well regulated by the GenSet at around 1 pu and the grid voltage has a value of approximately 0.9975 pu (Figure 12d).
Figure 12 results show that the GenSet has the capability of steady-state frequency and voltage control but is unable to optimize power generation as it has to provide power to feed the loads and also compensate for fluctuations in RES. Grid operation without the BESS NPC is inefficient because no energy is stored when high-RES generation is available.
The proposed BESS NPC has advantages regarding the operating backup GenSet, as it is more environmentally friendly and economical, enables the operation of the main GenSet above the minimum operating point, and has the capability to use up to the full 2.75 MW of renewable energy when available.

3.3.2. BESS Backstepping Energy Management Simulation Tests and Results with BESS Backstepping Energy Management

Next, tests are done to assess the BESS backstepping energy management in the storage of excess RES generation for further use. The behavior of network frequency and voltage control are also studied.
Using the battery backstepping power management with set limits on battery SOC, the GenSet power graph in Figure 13a shows that the minimum power rises to 0.475 pu at 17:00, while the maximum power drops to 0.7375 pu (at 22 h), meaning a reduced 0.2625 pu GenSet power variation. Relating the GenSet power without battery power management (Figure 12a) with the GenSet power in Figure 13a, it is seen that the GenSet power decreases only to a minimum value of 0.475 pu, while the battery SOC evolution in Figure 13b increases between 6 a.m. and 4 p.m., the lower power demand time span. After that time, the battery starts discharging after 4 p.m., when demand increases. Therefore, the backstepping energy management stores energy during lower demand to deliver it during increased demand, reducing the GenSet power variation and optimizing its operation while maintaining some energy reserve from RES. Figure 13c shows that the frequency control tracks the 1 pu reference, together with the microgrid voltage (Figure 13d), that follows the 1 pu reference with small variations throughout the day.
Comparing Figure 13 to Figure 12, an improvement in the power generation evenness of the GenSet is noticed, as the microgrid has an additional degree of freedom, the battery bank connected to the NPC. The backstepping managed BESS NPC allows the storage of excess energy for further use when demand increases, while the frequency tracks the 1 pu reference and the use of the BESS NPC allows the 1 pu voltage reference tracking.

3.3.3. BESS Backstepping Energy Management Microgrid Simulation Tests and Results Under 0.05 pu Random Load Variation

This section analyzes the influence of the random variations in charging power or in RES on the backstepping battery energy management. The load power daily diagram contains a random variation of 0.05 pu with a zero average value.
Figure 14a shows that the frequency-regulating GenSet needs to adjust the power to compensate for the random disturbances. As the random variations have zero average value, given the battery time constant high value, it can be seen in Figure 14b that the random disturbances have no visible influence on the SOC evolution. Figure 14c shows the frequency average tracking of the 1 pu setpoint, with variations around 0.00084 pu. The microgrid voltage, Figure 14d, also shows average tracking of the 1 pu setpoint, with variations in the order of 0.00375 pu.
Figure 14e shows the BESS NPC active power, which is positive when the BESS NPC is using the stored energy to inject power in the microgrid. The BESS NPC active power is negative when charging batteries. Power variations due to the random disturbances are around 0.0375 pu.
The random disturbance test in Figure 14 shows that, on average, the results are similar to those in Figure 13. Random disturbances cause random small microgrid frequency and voltage variations. Random power disturbances have, however, a direct impact on the GenSet power and on the BESS NPC power, both contributing to the disturbance response. Results show that random disturbances, despite causing slight variations in frequency and voltage, have no influence on the battery bank SOC.

4. Conclusions

This paper unveils a new integrated approach, using a single methodology based on backstepping control, to obtain robust primary, secondary, and tertiary controllers for BESS NPC to perform as virtual generators regulating the frequency and the voltage and performing the battery charge/discharge management to reduce the GenSet power variations throughout the day. Simulation results confirm the validity of the assumptions made in designing the backstepping controllers.
Obtained results showed that the BESS NPC backstepping frequency controllers track the reference value in steady state. When either a GenSet or the BESS NPC is disconnected or connected to the grid, there is a small frequency variation, but the microgrid continues to perform well inside the limits of the grid standards. Load or RES generation random or step disturbances cause frequency variations, also well inside the grid standards. The simultaneous use of BESS NPC and GenSet improves frequency control.
Regarding voltage control, in steady state the voltages follow the references, but due to disturbances they may present a small deviation, well within the grid standards. The BESS NPC assists the GenSet in the voltage control and compensates the reactive power. Nevertheless, the BESS NPC dedicated only to voltage control shows no significant improvements under random load transitions or step variations.
The Porto Santo microgrid inefficient operation to ensure the N-1 reliability criterion is overcome using the BESS NPC fitted with backstepping energy management as a tertiary controller. Assisted by the BESS-NPC, the GenSet power has 34% less power variation throughout the day, improving its efficiency. Results also show that the backstepping-controlled BESS NPC can maintain the microgrid operation even with a GenSet fault during the time interval allowed by the stored energy.

Author Contributions

Conceptualization, J.D.B., L.R., and J.F.A.S.; methodology, J.D.B., L.R., and J.F.A.S.; software, J.D.B., L.R., and J.F.A.S.; validation, J.D.B., L.R., and J.F.A.S.; formal analysis, J.D.B., L.R., and J.F.A.S.; investigation, J.D.B., L.R., and J.F.A.S.; resources, J.F.A.S.; data curation, J.D.B., L.R., and J.F.A.S.; writing—original draft preparation, J.D.B., L.R., and J.F.A.S.; writing—review and editing, J.D.B., L.R., and J.F.A.S.; visualization, J.D.B., L.R., and J.F.A.S.; supervision, J.F.A.S.; project administration, J.F.A.S.; funding acquisition, J.F.A.S. All authors have read and agreed to the published version of the manuscript.

Funding

This work was supported by national funds through FCT, Fundação para a Ciência e a Tecnologia, under project UIDB/50021/2020 (DOI:10.54499/UIDB/50021/2020).

Data Availability Statement

This study presents the main data needed to reproduce the presented simulations. Non-essential data used in this study is available on request from the corresponding author. It is not publicly available as it is well known by experts in the field, and general variations on non-essential data do not change the results.

Conflicts of Interest

The authors declare no conflicts of interest.

References

  1. Bizon, N.; Tabatabaei, N.M.; Blaabjerg, F.; Kurt, E. Energy Harvesting and Energy Efficiency: Technology, Methods, and Applications. Lecture Notes in Energy, 1st ed.; Springer AG: Berlin/Heidelberg, Germany, 2017; ISBN 978-3-319-49874-4. [Google Scholar]
  2. Stecca, M.; Elizondo, L.R.; Soeiro, T.B.; Bauer, P.; Palensky, P. A Comprehensive Review of the Integration of Battery Energy Storage Systems Into Distribution Networks. IEEE Open J. Ind. Electron. Soc. 2020, 1, 46–65. [Google Scholar] [CrossRef]
  3. EEM INOV. Available online: https://eeminov.eem.pt/cb/ (accessed on 5 September 2024).
  4. Dragicevic, T.; Vasquez, J.C.; Guerrero, J.M.; Skrlec, D. Advanced LVDC electrical power architectures and microgrids: A step toward a new generation of power distribution networks. IEEE Electrific. Mag. 2014, 2, 54–65. [Google Scholar] [CrossRef]
  5. Pires, V.F.; Pires, A.; Cordeiro, A. DC Microgrids: Benefits, Architectures, Perspectives and Challenges. Energies 2023, 16, 1217. [Google Scholar] [CrossRef]
  6. Hernández-Callejo, L.; Gallardo-Saavedra, S.; Alonso-Gómez, V. A review of photovoltaic systems: Design, operation and maintenance. Sol. Energy 2019, 188, 426–440. [Google Scholar] [CrossRef]
  7. Rana, M.M.; Atef, M.; Sarkar, M.R.; Uddin, M.; Shafiullah, G.M. A review on peak load shaving in microgrid—Potential benefits, challenges, and future trend. Energies 2022, 15, 2278. [Google Scholar] [CrossRef]
  8. Rana, M.M.; Romlie, M.F.; Abdullah, M.F.; Uddin, M. A novel peak load shaving algorithm for isolated microgrid using hybrid PV-BESS system. Energy 2021, 234, 121157. [Google Scholar] [CrossRef]
  9. Yang, Y.; Kim, K.A.; Blaabjerg, F.; Sangwongwanich, A. Advances in Grid-Connected Photovoltaic Power Conversion Systems, 1st ed.; Springer: Berlin/Heidelberg, Germany, 2018; ISBN 978-0-08-102339-6. [Google Scholar]
  10. Reddi, N.K.; Ramteke, M.R.; Suryawanshi, H.M.; Kothapalli, K.; Gawande, S.P. An Isolated Multi-Input ZCS DC–DC Front-End-Converter Based Multilevel Inverter for the Integration of Renewable Energy Sources. IEEE Trans. Ind. Appl. 2018, 54, 494–504. [Google Scholar] [CrossRef]
  11. Wang, Y.-F.; Xue, L.-K.; Wang, C.-S.; Wang, P.; Li, W. Interleaved High-Conversion-Ratio Bidirectional DC–DC Converter for Distributed Energy-Storage Systems—Circuit Generation, Analysis, and Design. IEEE Trans. Power Electr. 2016, 31, 5547–5561. [Google Scholar] [CrossRef]
  12. Lee, H.-S.; Yun, J.-J. High-Efficiency Bidirectional Buck–Boost Converter for Photovoltaic and Energy Storage Systems in a Smart Grid. IEEE Trans. Power Electr. 2019, 34, 4316–4328. [Google Scholar] [CrossRef]
  13. Inoue, S.; Akagi, H. A bidirectional dc-dc converter for an energy storage system with galvanic isolation. IEEE Trans. Power Electron. 2007, 22, 2299–2306. [Google Scholar] [CrossRef]
  14. Beraki, M.W.; Trovão, J.P.F.; Perdigão, M.S.; Dubois, M.R. Variable Inductor Based Bidirectional DC–DC Converter for Electric Vehicle. IEEE Trans. Veh. Technol. 2017, 66, 8764–8772. [Google Scholar] [CrossRef]
  15. Rodriguez, J.; Bernet, S.; Wu, B.; Pontt, J.O.; Kouro, S. Multilevel Voltage-Source-Converter Topologies for Industrial Medium-Voltage Drives. IEEE Trans. Ind. Electron. 2007, 54, 2930–2945. [Google Scholar] [CrossRef]
  16. Nabae, A.; Takahashi, I. A new neutral-point-clamped PWM inverter. IEEE Trans. Ind. Appl. 1981, IA-17, 518–523. [Google Scholar] [CrossRef]
  17. Meynard, T.; Foch, H. Multi-level choppers for high voltage applications. EPE J. 1992, 2, 45–50. [Google Scholar] [CrossRef]
  18. Rocha, L.L.; Silva, J.F.; Redondo, L.M. Marx multilevel bipolar modulator dynamic models for load transient analysis. IEEE Trans. Plasma Sci. 2017, 45, 2611–2617. [Google Scholar] [CrossRef]
  19. Rodriguez, J.; Lai, S.; Peng, F.Z. Multilevel inverters: A survey of topologies, control and applications. IEEE Trans. Power Electron. 2002, 49, 724–738. [Google Scholar] [CrossRef]
  20. Sonti, V.; Jain, S.; Pothu, B.S.K.R. Leakage Current Minimization Using NPC DC Decoupling Method for Three-Phase Cascaded Multilevel PV Inverter. IEEE Trans. Circuits Syst. II Express Briefs 2020, 67, 3247–3251. [Google Scholar] [CrossRef]
  21. Ye, Z.; Lei, Y.; Liao, Z.; Pilawa-Podgurski, R.C.N. Investigation of Capacitor Voltage Balancing in Practical Implementations of Flying Capacitor Multilevel Converters. IEEE Trans. Power Electron. 2022, 37, 2921–2935. [Google Scholar] [CrossRef]
  22. Naik, B.S.; Suresh, Y.; Venkataramanaiah, J.; Panda, A.K. A Hybrid Nine-Level Inverter Topology With Boosting Capability and Reduced Component Count. IEEE Trans. Circuits Syst. II Express Briefs 2021, 68, 316–320. [Google Scholar] [CrossRef]
  23. Dragicevic, T.; Wheeler, P.; Blaabjerg, F. DC Distribution Systems and Microgrids; The Institution of Engineering and Technology: Stevenage Herts, UK, 2018; ISBN 978-1-78561-382-1. [Google Scholar]
  24. Meng, L.; Sanseverino, E.R.; Luna, A.; Dragicevic, T.; Vasquez, J.C.; Guerrero, J.M. Microgrid supervisory controllers and energy management systems: A literature review. Renew. Sustain. Energy Rev. 2016, 60, 1263–1273. [Google Scholar] [CrossRef]
  25. Yamashita, D.Y.; Vechiu, I.; Gaubert, J.P. A review of hierarchical control for building microgrids. Renew. Sustain. Energy Rev. 2020, 118, 109523. [Google Scholar] [CrossRef]
  26. Han, Y. Modeling and Control of Power Electronic Converters for Microgrid Applications; Springer: Berlin/Heidelberg, Germany, 2021. [Google Scholar]
  27. Silva, J.F. Sliding mode control design of drive and regulation electronics for power converters. J. Circuits Syst. Comput. 1995, 5, 355–371. [Google Scholar] [CrossRef]
  28. Huynh, V.V.; Minh, B.L.N.; Amaefule, E.N.; Tran, A.-T.; Tran, P.T. Highly Robust Observer Sliding Mode Based Frequency Control for Multi Area Power Systems with Renewable Power Plants. Electronics 2021, 10, 274. [Google Scholar] [CrossRef]
  29. Alfaro, C.; Guzman, R.; Vicuña, L.G.; Komurcugil, H.; Martín, H. Distributed Direct Power Sliding-Mode Control for Islanded AC Microgrids. IEEE Trans. Ind. Electron. 2022, 69, 9700–9710. [Google Scholar] [CrossRef]
  30. Krstic, M.; Kanellakopoulos, I.; Kokotovic, P.V. Nonlinear and Adaptive Control Design; Wiley: New York, NY, USA, 1995. [Google Scholar]
  31. Barros, J.D.; Silva, J.F.A.; Rocha, L. New backstepping controllers with enhanced stability for neutral point clamped converters interfacing photovoltaics and AC microgrids. Int. J. Electr. Power Energy Syst. 2023, 153, 109332. [Google Scholar] [CrossRef]
  32. Barros, J.D.; Rocha, L.; Silva, J.F. Backstepping Control of NPC Multilevel Converter Interfacing AC and DC Microgrids. Energies 2023, 16, 5515. [Google Scholar] [CrossRef]
  33. Barros, J.D.; Rocha, L.; Silva, J.F. Backstepping Predictive Control of Hybrid Microgrids Interconnected by Neutral Point Clamped Converters. Electronics 2021, 10, 1210. [Google Scholar] [CrossRef]
  34. Roy, T.K.; Mahmud, M.A.; Oo, A.M.T.; Haque, M.E.; Muttaqi, K.M.; Mendis, N. Nonlinear Adaptive Backstepping Controller Design for Islanded DC Microgrids. IEEE Trans. Ind. Appl. 2018, 54, 2857–2873. [Google Scholar] [CrossRef]
  35. Din, W.U.; Zeb, K.; Ishfaq, M.; Islam, S.U.; Khan, I.; Kim, H.J. Control of Internal Dynamics of Grid-Connected Modular Multilevel Converter Using an Integral Backstepping Controller. Electronics 2019, 8, 456. [Google Scholar] [CrossRef]
  36. Shah, A.A.; Han, X.; Armghan, H.; Almani, A.A. A Nonlinear Integral Backstepping Controller to Regulate the Voltage and Frequency of an Islanded Microgrid Inverter. Electronics 2021, 10, 660. [Google Scholar] [CrossRef]
  37. Gullu, S.; Djaho, A.-C.; Mensah, A.; Batarseh, I. Demonstration Project: 1.86 MWH Battery Energy Storage System and 540 KVA Inverter Integration. Electronics 2024, 13, 2596. [Google Scholar] [CrossRef]
  38. He, C.; Tan, X.; Liu, Z.; An, J.; Li, X.; Li, G.; Zhang, R. Simulation-Based Hybrid Energy Storage Composite-Target Planning with Power Quality Improvements for Integrated Energy Systems in Large-Building Microgrids. Electronics 2024, 13, 3844. [Google Scholar] [CrossRef]
Figure 1. Simplified diagram of Porto Santo electrical network.
Figure 1. Simplified diagram of Porto Santo electrical network.
Electronics 13 04511 g001
Figure 2. Porto Santo electrical network diagram, including the battery ESS and the NPC multilevel converter.
Figure 2. Porto Santo electrical network diagram, including the battery ESS and the NPC multilevel converter.
Electronics 13 04511 g002
Figure 3. Multilevel converter with MV transformer interfacing the BESS to the electrical network of Porto Santo.
Figure 3. Multilevel converter with MV transformer interfacing the BESS to the electrical network of Porto Santo.
Electronics 13 04511 g003
Figure 4. Block diagram of NPC multilevel converter virtual generator, with the NPC backstepping controllers based on [32], to integrate the renewable energy sources in islanded microgrids.
Figure 4. Block diagram of NPC multilevel converter virtual generator, with the NPC backstepping controllers based on [32], to integrate the renewable energy sources in islanded microgrids.
Electronics 13 04511 g004
Figure 5. Steady-state behavior, of frequency and power, followed by the connection or by the disconnection of the GenSet or the NPC converter: (a) frequency control using the BESS NPC while the GenSet is disconnected from the grid at 21 s; (b) frequency control using the GenSet while the BESS NPC is disconnected from the grid at 21 s; (c) frequency control using the GenSet while the BESS NPC is connected to the grid at 21 s; (d) frequency control using the BESS NPC while the GenSet is connected to the grid at 21 s.
Figure 5. Steady-state behavior, of frequency and power, followed by the connection or by the disconnection of the GenSet or the NPC converter: (a) frequency control using the BESS NPC while the GenSet is disconnected from the grid at 21 s; (b) frequency control using the GenSet while the BESS NPC is disconnected from the grid at 21 s; (c) frequency control using the GenSet while the BESS NPC is connected to the grid at 21 s; (d) frequency control using the BESS NPC while the GenSet is connected to the grid at 21 s.
Electronics 13 04511 g005aElectronics 13 04511 g005b
Figure 6. Microgrid frequency in pu under 0.05 pu random load variation: (a) GenSet only; (b) GenSet and BESS NPC primary control; (c) BESS NPC primary and secondary control; (d) BESS NPC and GenSet primary control.
Figure 6. Microgrid frequency in pu under 0.05 pu random load variation: (a) GenSet only; (b) GenSet and BESS NPC primary control; (c) BESS NPC primary and secondary control; (d) BESS NPC and GenSet primary control.
Electronics 13 04511 g006
Figure 7. Transient behavior under a 0.125 pu step load increase at 21 s and decrease at 31 s: (a) GenSets only; (b) GenSet and BESS NPC primary control; (c) BESS NPC primary and secondary control; (d) BESS NPC and GenSets primary control.
Figure 7. Transient behavior under a 0.125 pu step load increase at 21 s and decrease at 31 s: (a) GenSets only; (b) GenSet and BESS NPC primary control; (c) BESS NPC primary and secondary control; (d) BESS NPC and GenSets primary control.
Electronics 13 04511 g007
Figure 8. Microgrid pu voltage in steady state: (a) using GenSets only; (b) using both GenSets and BESS NPC tracking the voltage q component; (c) using the BESS NPC tracking the voltage q component; (d) Using the BESS NPC tracking the dq voltage components.
Figure 8. Microgrid pu voltage in steady state: (a) using GenSets only; (b) using both GenSets and BESS NPC tracking the voltage q component; (c) using the BESS NPC tracking the voltage q component; (d) Using the BESS NPC tracking the dq voltage components.
Electronics 13 04511 g008
Figure 9. GenSet, BESS NPC, and Total reactive power in steady state: (a) Using GenSets only; (b) Using both GenSets and BESS NPC tracking the voltage q component; (c) Using the BESS NPC tracking the voltage q component; (d) Using the BESS NPC tracking the dq voltage components.
Figure 9. GenSet, BESS NPC, and Total reactive power in steady state: (a) Using GenSets only; (b) Using both GenSets and BESS NPC tracking the voltage q component; (c) Using the BESS NPC tracking the voltage q component; (d) Using the BESS NPC tracking the dq voltage components.
Electronics 13 04511 g009
Figure 10. Microgrid pu voltage with 0.05 pu random load variation: (a) using GenSets only; (b) using both GenSets and BESS NPC tracking the voltage q component; (c) using the BESS NPC tracking the voltage q component; (d) using the BESS NPC tracking the dq voltage components.
Figure 10. Microgrid pu voltage with 0.05 pu random load variation: (a) using GenSets only; (b) using both GenSets and BESS NPC tracking the voltage q component; (c) using the BESS NPC tracking the voltage q component; (d) using the BESS NPC tracking the dq voltage components.
Electronics 13 04511 g010
Figure 11. Microgrid voltage transient behavior from steady-state to step connection of 0.125 pu load at 21 s and disconnection at 31 s: (a) using GenSets only; (b) using both GenSets and BESS NPC tracking the voltage q component; (c) using the BESS NPC tracking the voltage q component; (d) using the BESS NPC tracking the dq voltage components.
Figure 11. Microgrid voltage transient behavior from steady-state to step connection of 0.125 pu load at 21 s and disconnection at 31 s: (a) using GenSets only; (b) using both GenSets and BESS NPC tracking the voltage q component; (c) using the BESS NPC tracking the voltage q component; (d) using the BESS NPC tracking the dq voltage components.
Electronics 13 04511 g011aElectronics 13 04511 g011b
Figure 12. Microgrid results without BESS backstepping energy management: (a) GenSet active power pu; (b) Battery SOC (%); (c) Microgrid frequency pu; (d) Microgrid voltage pu.
Figure 12. Microgrid results without BESS backstepping energy management: (a) GenSet active power pu; (b) Battery SOC (%); (c) Microgrid frequency pu; (d) Microgrid voltage pu.
Electronics 13 04511 g012
Figure 13. Microgrid results with BESS backstepping energy management and BESS NPC frequency primary control and also voltage q component: (a) GenSet active power pu; (b) battery SOC (%); (c) microgrid frequency pu; (d) microgrid voltage pu.
Figure 13. Microgrid results with BESS backstepping energy management and BESS NPC frequency primary control and also voltage q component: (a) GenSet active power pu; (b) battery SOC (%); (c) microgrid frequency pu; (d) microgrid voltage pu.
Electronics 13 04511 g013
Figure 14. Microgrid results with BESS backstepping energy management and BESS NPC frequency primary control and also voltage q component, under 0.05 pu random disturbances: (a) GenSet active power pu; (b) battery SOC (%); (c) microgrid frequency pu; (d) microgrid voltage pu; (e) BESS NPC active power pu.
Figure 14. Microgrid results with BESS backstepping energy management and BESS NPC frequency primary control and also voltage q component, under 0.05 pu random disturbances: (a) GenSet active power pu; (b) battery SOC (%); (c) microgrid frequency pu; (d) microgrid voltage pu; (e) BESS NPC active power pu.
Electronics 13 04511 g014aElectronics 13 04511 g014b
Disclaimer/Publisher’s Note: The statements, opinions and data contained in all publications are solely those of the individual author(s) and contributor(s) and not of MDPI and/or the editor(s). MDPI and/or the editor(s) disclaim responsibility for any injury to people or property resulting from any ideas, methods, instructions or products referred to in the content.

Share and Cite

MDPI and ACS Style

Barros, J.D.; Silva, J.F.A.; Rocha, L. Virtual Generator to Replace Backup Diesel GenSets Using Backstepping Controlled NPC Multilevel Converter in Islanded Microgrids with Renewable Energy Sources. Electronics 2024, 13, 4511. https://doi.org/10.3390/electronics13224511

AMA Style

Barros JD, Silva JFA, Rocha L. Virtual Generator to Replace Backup Diesel GenSets Using Backstepping Controlled NPC Multilevel Converter in Islanded Microgrids with Renewable Energy Sources. Electronics. 2024; 13(22):4511. https://doi.org/10.3390/electronics13224511

Chicago/Turabian Style

Barros, J. Dionísio, J. Fernando A. Silva, and Luis Rocha. 2024. "Virtual Generator to Replace Backup Diesel GenSets Using Backstepping Controlled NPC Multilevel Converter in Islanded Microgrids with Renewable Energy Sources" Electronics 13, no. 22: 4511. https://doi.org/10.3390/electronics13224511

APA Style

Barros, J. D., Silva, J. F. A., & Rocha, L. (2024). Virtual Generator to Replace Backup Diesel GenSets Using Backstepping Controlled NPC Multilevel Converter in Islanded Microgrids with Renewable Energy Sources. Electronics, 13(22), 4511. https://doi.org/10.3390/electronics13224511

Note that from the first issue of 2016, this journal uses article numbers instead of page numbers. See further details here.

Article Metrics

Back to TopTop