Next Article in Journal
Three-Level Double LLC Resonant Converter with Ripple-Free Input Current for DC Microgrid Application
Previous Article in Journal
PII-GCNet: Lightweight Multi-Modal CNN Network for Efficient Crowd Counting and Localization in UAV RGB-T Images
 
 
Font Type:
Arial Georgia Verdana
Font Size:
Aa Aa Aa
Line Spacing:
Column Width:
Background:
Article

A Novel Ground Slot-Based Dual-Band Massive Multiple-Input Multiple-Output (MIMO) Antenna for n47 and n48 Smartphone Applications

1
Department of Telecommunication Engineering, University of Engineering and Technology, Taxila 47050, Pakistan
2
Phillip M. Drayer, Department of Electrical Engineering, Lamar University, Beaumont, TX 77705, USA
3
Faculty of Arts Computing and Engineering, Wrexham University, Wales LL11 2AW, UK
4
Institute of Microwave and Photonic Engineering, Graz University of Technology, Inffeldgasse 12/L, 8010 Graz, Austria
*
Authors to whom correspondence should be addressed.
Electronics 2024, 13(21), 4296; https://doi.org/10.3390/electronics13214296
Submission received: 3 October 2024 / Revised: 27 October 2024 / Accepted: 30 October 2024 / Published: 31 October 2024
(This article belongs to the Section Microwave and Wireless Communications)

Abstract

A novel ground slot-based massive multiple-input multiple-output (MIMO) system with 14 elements for dual-band application of next-generation smartphones is developed. Every single antenna in the array is placed on the borders of a smartphone’s PCB, operating within the 3.55 GHz to 3.7 GHz (n48) and 5.855 GHz to 5.925 GHz (n47) frequency bands. This study also further assesses the performance of this system with analytical results, in which the self-s-parameters are less than −6 dB for each antenna, whereas isolation between components is less than −10 dB. At the same time, the overall efficiency reaches 65.55% and higher in the whole band. The evaluation of MIMO performance parameters such as envelope correlation coefficient (ECC), and DG of the MIMO system is well performed. A proposed MIMO antenna system is deployed and analyzed, which is a massive MIMO antenna, and the simulation results are compared to the measurement. The results validate the fact that the design of this particular MIMO system suits it to be incorporated in the n47 and n48 frequency bands, and therefore the presented MIMO system is suitable to be an option for integration into the upcoming smartphone architecture.

1. Introduction

It is well-known that the fundamentals of 5G technology are primarily based on MIMO technology, which is a multiple-input multiple-output antenna system that provides several antennas to transceive information [1,2]. The potential of applying MIMO technology to smartphones is a major factor that can enhance transmission rates, and hence communication performance. However, a major challenge becomes evident when designing multiple antennas in the confined space within a smartphone. When more antennas are stuffed into this confined space, the gap between them is reduced and this leads to problems such as a decrease in antenna efficiency and interference, among others. Therefore, these challenges must be addressed in order to sustain the high level of mobile communication systems with MIMO antennas. Improvement in the design and performance of the MIMO antennas incorporated in smartphones is crucial to the realization of the benefits of 5G communication [3]. The task is even gauged by the need to have slim thin shrinking smartphone designs which reduce the amount of space that can contain the required built-in antennas. This puts a lot of pressure on manufacturers of antenna to come up with very small yet very efficient antenna systems that are capable of meeting the demands of modern-day smartphones.
A hybrid MIMO antenna was considered for 4G and 5G in [4], where one module has a 4G antenna with GSM 850/900 /1800/1900, UMTS 2100, and LTE 2300/2500, and the second one has a 5G antenna in the 3.4–3.6 GHz range. In [5,6], single-frequency MIMO systems were proposed, aiming at the 2.6 GHz band ranging from 2550 to 2650 MHz. Thus, a square loop radiating strip was utilized in [5], and Ref. [6] utilized hybrid antenna array elements to raise port isolation and reduce antenna correlation. Some single-band MIMO systems employing 3.5GHz were discussed in [7,8]. An IFA-based MIMO system working in the dual bands was proposed in [9], while in [10] a system using both the inverted-F and loop antennas was employed. Another dual-band MIMO system design for 3.5/5 GHz was presented in [11], where a folded monopole and a gap-coupled loop branch are formed on two sides of the circuit board. There was a design of MIMO systems for LTE bands 42, 43, and 46 MH in [12,13]. The stacking of T-shaped coupled-fed slot antenna together has been conducted by Meager and Bialkowski [13] to realize dual-mode resonance. To decrease mutual coupling, ref. [14] put a metal boundary for stable boundary conditions for the decoupling elements. The second approach, by controlling the position of sources, which is discussed in [15], also eliminated mutual coupling without needing additional external decoupling structures, and used closely positioned pairs. In [16], a self-isolated MIMO system utilized three antennas: a GSM antenna with one T-shaped feeding and two of the same L-shaped radiating parts. These antennas were positioned along this line symmetrically; an L-shaped element was acting as coupler and decoupler for all the other antenna units. In [17], the coupling was managed to be minimized when the authors developed two orthogonal polarized waves.
Another method, which was described in [18], was to include two vertical stubs in the basic antenna, which makes a self-isolating compact antenna. A wideband eight-antenna array for 5G smartphone applications describes a focus on designing an array that offers the capability of housing multiple antennas within limited dimensions and with the capability to perform across a sub-6 GHz frequency range. In this aspect, the emphasis is made on compactness and space management that allows for easy and compact integration of a chip into the thin profile of contemporary smartphones [19]. On the other hand, a dual-band MIMO antenna for n79 and sub-7 GHz smartphones operates at the frequency of n79 and sub-7 GHz used in 5G communication. This design provides very high isolation and very low envelope correlation between the antenna elements, essential for realistic MIMO performance in compact smartphone form factor. As it will be noted from the description of the two designs, both are aimed at improving 5G connectivity while paying special attention to the frequency bands used in current smartphones and the available space [20]. The proposed band for 5G applications in the sub-six GHz band includes N77 of 3.3–4.2 GHz, N78 of 3.3–3.8 GHz, N79 of 4.4–5 GHz, and N48 of 3.55–3.7 GHz [19,20,21].
In this paper, a massive MIMO concept is designed with a slot-based C-shaped antenna that can be printed on both edges of the SM’s board. This paper is organized as follows: smaller chunks and sub-sections have been dedicated to explaining the mechanism of designing the unit element antenna as described in Section 2. In Section 3, various aspects of the proposed design of the MIMO system are explained. Working on Section 4, the MIMO parameters such as the ECC, and DG are determined. It is essential to analyze the influence of the human hand and head on the characteristics of the MIMO system, and that is why Section 5 is devoted to this topic. Interference, data transmission rate, number of antennas, and several other MIMO parameters are looked at from the point of view of the MIMO layer’s integration with the human hand and head. It looks into the electromagnetic exposure on the human head to the developed MIMO antenna at 3.62 GHz and 5.9 GHz by estimating its SAR value. Last but not least, Section 6 ensures the validation of the real design of the proposed MIMO antenna through simulation and experimental outcome match. Finally, the paper is concluded.

2. Antenna Element

The proposed antenna with a single element is illustrated in Figure 1a,b. This antenna comprises a dual frequency band printed on both the front and rear side of PCB as an FR4 substrate that has the relative permittivity ( ϵ r ) of 4.3 and loss tangent of 0.025. The size of the substrate is L1 × W1 in mm with a thickness of 1.6 mm. Information regarding antenna elements is presented in Table 1. The dimensions of the antenna have been tuned in such a way that it an reach the desired bandwidth of 3.55 GHz to 3.7 GHz, and the second one, 5.855 GHz to 5.925 GHz. This can be of size L2 × W1 that forms the defected ground plane. The Figure 1c depicts the return loss of the unit element antenna; the reflection coefficient is less than −6dB throughout the bands of 3.55 GHz to 3.7 GHz and 5.855 GHz to 5.925 GHz. Verification of this performance is conducted through simulation in CST, as shown below. In an attempt to gain a deeper insight into the performance of the antenna, the radiation mechanism is studied by reasonable surface current density. The current distribution at the surface of the strip is computed at the two resonance frequencies of 3.62 GHz and 5.90 GHz, as depicted in the Figure 2 antenna. At 3.62 GHz, the current is most likely equally divided into the two halves of the antenna. On the other hand, at 5.9 GHz, the current density is found to exist mainly on one half of the fed arm and the other part of the antenna just acts as a parasitic element.

Ground Slot Effect

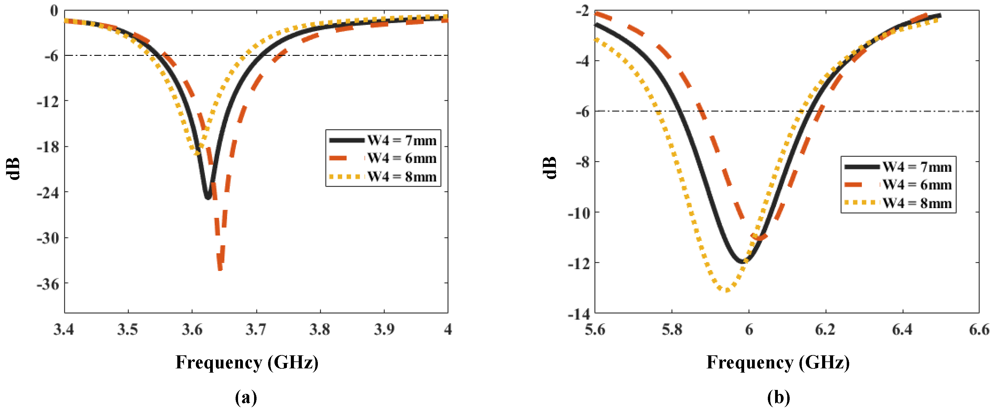
The antenna ground slot analysis is discussed in this section. The ground slot length variation from the lower value of 9.5 mm to the higher value of 11.5 mm has decreased the frequency of the first band (n48) from a higher one to that of a lower band, as shown in Figure 3a. But for the second operating frequency band (n47), there is no shift in frequency and the return loss rises from −15 dB to −12 dB, in Figure 3b, which is satisfactory for a smartphone’s operation. For the same case of ground slot width variation in Figure 4, there is a frequency shift from a higher frequency to a lower frequency by increasing the ground slot width.
To obtain the desired results for the n48 and n47 frequency bands, the ground slot width and length are kept as W6 = 7 mm and L6 = 10.5 mm.

3. Massive 14-Element MIMO System

The front and rear views of the proposed 14-antenna MIMO system are depicted in Figure 5. Physically, the thickness of the substrate determines the spacing between the antennas, and it is 7.45 mm between the edges of the antennas. Measuring the substrate, the length and width are L1 (total length)—150 mm, and W1 (total width)—70 mm. The defective ground plane is of similar size with Lg = 150 mm and Wg = 70 mm, as the ground plane of a smartphone board and 14 antennas are located along the edges of a board and each antenna is fed through a 50 Ω strip line. The transmission lines are built with SMA connectors; in real-life usage, they are directly interfaced with the internal circuit of the handset. The simulated reflection coefficients for the seven left-sided antenna elements in the n48 and n47 frequency bands are shown in Figure 6 and Figure 7. On account of the duality of the MIMO antenna design, the results obtained by considering seven antenna elements denote the characteristics of fourteen elements. Thus, according to the outcomes, it is revealed that reflection coefficients are below −6 dB, which is a good characteristic for 5G sub-6 GHz in n47 (5.855–5.925 GHz), n48 (3.55–3.7 GHz). Isolation coefficients between different elements of the MIMO system are shown in Figure 8. Thus, the isolation between elements is no more than −10 dB in a first proposed frequency band and no more than −18 dB in the second frequency band. This high degree of isolation also means that the interaction between the different antenna elements is kept to a minimum, which in turn will improve the performance and efficiency of the MIMO system.
The simulated realized gain and the total efficiency of proposed MIMO antennas are presented in Table 2 in the presence of a human head. The drop in the total efficiency of each antenna in MIMO antennas is due to the use of more antennas in a small space, which is more challenging.

4. MIMO Parameters

The ECC optimized for the multichannel antennas can be computed using several factors that enable the characterization of communication interaction between the elements of the antenna. This means that if the figure is low, the antennas do not interfere with each other and therefore, the performance of the network is better. While, on the other hand, the Diversity Gain (DG) defines the system’s capability to offer signal diversity, which makes the communication link more reliable and with better signal quality, owing to fading and multipath considerations. In the general sense, both ECC and DG are important parameters when assessing multichannel antenna systems with particular regard to MIMO.

4.1. ECC

The Envelope Correlation Coefficient (ECC) is a measure that can quantify the degree of correlation between two different antenna in a MIMO system. Lower ECC values depict that the antennas are capable of operating in isolation from others, and how well they can do it. Some factors that affect the ECC include polarization, the shape of the radiation pattern, the direction of the main beam in the radiation pattern, the phase difference between antennas, and other structural and operational parameters. In the MIMO system, because of the specialized placement and orientation of the antenna elements, the ECC can be determined from the S-parameter of the antenna elements. This approach offers an analysis of how the various antennas co-relate in the system, especially in accomplishing their intended purpose. The ECC between antenna i and antenna j can be mathematically represented as the equation below [22].
ρ e i j = | S i i * S i j + S j i * S j j | 2 ( 1 | S i i | 2 | S j i | 2 ) ( 1 | S j j | 2 | S i j | 2 )
The decoder should achieve that ECC should be an ideal of 0 for interrelated MIMO systems. An acceptable level of ECC of under 0.5 has been established. The proposed MIMO antenna’s ECC is shown in Figure 9, and correlation coefficient values discovered that correlation values are less than 0.02, operating bands are 3.55 GHz to 3.7 GHz and 5.855 GHz to 5.925 GHz, and enhancement for smartphone application is well within the acceptable range.

4.2. DG

Diversity Gain (DG), on the other hand, measures the level of enhancement in the dependability of a communication system in the presence of a diverse technique like MIMO. This is expressed by the decrease in the transmission power necessary to deliver a specific throughput, owing to what has been offered by the diversity scheme. DG evaluates to what extent the diversity technique improves the immunity of the system fade and signal degradation [22]:
DG = 10 1 | ρ e i j | 2
Ideal DG levels should be in the range of 10 dB for the acceptable performance of the MIMO system. The first band DG is shown in Figure 10 and the second band DG is depicted in Figure 11. The outcomes reveal that the antenna derived from the DG exhibits desirable diversity characteristics, confirming its efficiency.

5. Association of Massive MIMO Antennas with Human Body Parts

Here, various aspects of the system’s electrical performance affected by the human hand are described. In Figure 12, some parts of the CST human hand model connected to the MIMO system are depicted. In the reflection and isolation coefficients of the massive MIMO system, in the presence of human body parts [23], we demonstrated these phenomenons, analyzing two bands, n48, and n47. The first frequency band is depicted in Figure 13 and the second frequency band is shown in Figure 14. As it is noted, the addition of the human hand does not influence the matching band staying at 3.55 GHz to 3.7 GHz and 5.855 GHz to 5.925 GHz, because up to this frequency, the reflection coefficient is below −6 dB. Moreover, isolation between the different elements is kept below −14 dB in most of the sections, while the maximum value is recorded to be approximately −18 dB.
We investigate the human head further to analyze the impact it has on the performance of the MIMO antenna, then we analyze the human hand. The depiction of CST models of the human head and hand, along with MIMO integrated with it, are shown in Figure 12b. Figure 13 depicts the reflection and isolation coefficients of the MIMO system where the human head and hand are assumed. Therefore, based on these sustaining observations, it can be postulated that the addition of the hand and head does not affect the matching characteristics in the desired frequencies ranging between 3.55 GHz and 3.7 GHz, and 5.855 GHz and 5.925 GHz, where the reflection coefficient is less than −6 dB.

SAR Analysis

Since the human body in most cases is in close contact with the antenna, the impact of the radiation from the antenna is examined by determining the Specific Absorption Rate (SAR) distribution to avoid high values of SAR. The basic SAR limits that are cited most often are IEEE, which is 1.6 W/kg averaged over any 1 g of tissue, and the other is ICNIRP which is 2W/kg averaged over any 10 g of tissue [24]. It is clear from the SAR distribution depicted in Figure 15, that for the MIMO antenna integrated with human body at 3.6 GHz, the SAR value hardly crossed 2 W/Kg for port 10 and port 11, because these two ports are closer/overlapping with the head. For the MIMO antenna, the maximum SAR obtained is at 3.6 GHz with 2.57 W/kg, which is averaged over a mass of 1 g human tissue. Hence, the values presented here are much lower than the permissible SAR values, which means that power absorbed per unit mass in the human head is in between 0.5 and 2.57 W/kg, as presented in Table 3.
It have been noted that relating the head and hand with an MIMO system like the ones in smartphones weighs upon the system and may greatly interfere with its functionality when it is used in free space. Interference arises because the human body can change the electromagnetic environment of the antennas, how the antennas radiate signals, and their efficiency. The appearance of the head and hand can cause a change in the impedance of the antenna, raise the signal loss, and change the nature of the transmitted signal. These effects can greatly reduce the efficiency of the MIMO system, hence it becomes a system that cannot provide reliable and good quality communication.
Nevertheless, the overcoming of such obstacles has been deemed reasonably beneficial for Specific Absorption Rate (SAR) measurements gained through the MIMO system’s aid, when considering the primary usage of smartphones. The SAR measures the amount of radio frequency (RF) energy that is deposited into the human body when the device is in operation. The maximum permissible SAR levels were established by the regulatory standards to protect the users and reduce probable adverse health effects. While the head and hand verified interference, the measured SAR levels for the MIMO smartphone are below these thresholds meaning that the smartphone is safe to operate within the health and safety legal requirements. This ensures that, while it is apparent that there might be interferences leading to operational concerns, the device is safe to use on a daily basis.

6. Experimental Results

It was further necessary to validate the simulated results; thus, a prototype of the proposed 14-antenna massive MIMO system was fabricated for testing. Figure 16a,b show the fabricated prototype of the realized MIMO system with 14 SMA connectors that are measured during the operation. Figure 16c shows the measurement setup used for the measurement of radiation pattern e- and h-plane. For the same case, the 2D radiation pattern (e- and h-plane) of the twelve antenna elements are given; the e-plane and h-plane at resonances of the first frequency band, n48, are shown in Figure 17 and for the second band, n47, they are presented in Figure 18.
The reflection and isolation coefficients were determined as shown in Figure 6, Figure 7 and Figure 8. From the results obtained, the measured reflection coefficients are less than −6 dB in operating frequency bands of 3.55 GHz to 3.7 GHz and 5.855 GHz to 5.925 GHz with a minor shift due to fabrication errors, thus depicting a good conformity to the simulation results. It is important to state that the observed isolation coefficients with neighboring antennas are higher than the theoretical ones.
Comparisons with the previous 5G MIMO smartphone antenna designs, which include bands from 3.55 GHz to 3.7 GHz and 5.855 GHz to 5.925 GHz, from the literature works [19,20,25,26,27] would show the good performance of the present design for the n47 and n48 frequency bands in Table 4. The ECC of the current design is also disturbingly low and is less than 0.04 and 0.017 for n48 and n47 of the current model, implying that all the key performance indicators of the system are much better than what were observed in traditional narrow-band designs. The proposed design is lagging in terms of efficiency from the literature, but accommodates more antennas than the others, which is 14.

7. Conclusions

A dual-band MIMO system with the establishment of 14 dual-band antennas that are orientated horizontally is added to both ends of a smartphone. Each of the proposed antennas is designed to be printed on both edges of the smartphone board for the desired operating frequency bands ranging from 3.55 GHz to 3.7 GHz and 5.855 GHz to 5.925 GHz. The distribution of surface currents is computed at the resonant frequencies of 3.62 GHz and 5.9 GHz. The simulation and measured results prove that the proposed MIMO system has a good performance. The reflection coefficients of all elements of the MIMO system are lower than −6 dB over the operating frequency bands and the obtained isolation coefficients between consecutive antennas are higher than the computed ones. Namely, an isolation between two antennas 1 and 2 of less than −10 dB for the first band and −18 dB for the second band is achieved by the proposed design. From the MIMO parameters obtained, it is noted that the envelope correlation coefficient is very low, the diversity is very strong, and the channel capacity loss is negligible. The introduced massive MIMO antenna operates the n47 (5.855–5.925 GHz) and n48 (3.55–3.7 GHz).
When scrutinizing future trends of the MIMO technology in the context of smartphone applications, they will most likely be concentrated on several aspects. First of all, there will be the development of new Femtocell MIMO antennas focusing on making them thinner, as thin smartphones with high performance and efficiency of antennas are popular among customers. The implementation of advanced material into new works and flexible and printed antenna designs will lead to the efficient usage of space and reception of signals. Further, AI and machine learning applications will make adaptative beamforming and real-time optimization more efficient to achieve better connectivity and data rates. This will similarly envision improved beamforming approaches to develop and maintain optimal tones and range in unsteady climates. With smartphones moving to higher frequency bands that are now supporting 6G, MIMO systems will play a significant role in satisfying the demand for significantly higher transmission speeds while at the same time delivering higher network availability.

Author Contributions

Conceptualization, M.Z.; methodology, M.U.A.; software, N.B.; formal analysis, D.P.B.; investigation, A.U.T.; writing—review and editing, S.S. (Sultan Shoaib); supervision, Y.A.; funding acquisition, S.S. (Saleem Shahid); All authors have read and agreed to the published version of the manuscript.

Funding

This work is supported by TU Graz open access publishing fund.

Data Availability Statement

Data are contained within the article.

Conflicts of Interest

All authors declare that they have no competing interests.

References

  1. Mak, K.M.; Lai, H.W.; Luk, K.M.; Chan, C.H. Circularly polarized patch antenna for future 5G mobile phones. IEEE Access 2015, 2, 1521–1529. [Google Scholar]
  2. Al-Dulaimi, A.; Al-Rubaye, S.; Ni, Q.; Sousa, E. 5G communications race: Pursuit of more capacity triggers LTE in unlicensed band. IEEE Veh. Technol. Mag. 2015, 10, 43–51. [Google Scholar] [CrossRef]
  3. Chen, X.; Shoaib, S.; Shoaib, I.; Shoaib, N.; Parini, C.G. MIMO antennas for mobile handsets. IEEE An-Tennas Wirel. Propag. Lett. 2015, 14, 799–802. [Google Scholar]
  4. Ban, Y.-L.; Li, C.; Sim, C.-Y.-D.; Wu, G.; Wong, K.-L. 4G/5G multiple antennas for future multi-mode smartphone applications. IEEE Access 2016, 4, 2981–2988. [Google Scholar] [CrossRef]
  5. Li, M.Y.; Xu, Z.Q.; Ban, Y.L.; Sim, C.Y.D.; Yu, Z.F. Eight-port orthogonally dualpolarised MIMO antennas using loop structures for 5G smartphone. IET Microw. Antennas Propag. 2017, 11, 1810–1816. [Google Scholar] [CrossRef]
  6. Li, M.-Y.; Ban, Y.L.; Xu, Z.Q.; Wu, G.; Kang, K.; Yu, Z.F. Eight-port orthogonally dual-polarized antenna array for 5G smartphone applications. IEEE Trans. Antennas Propag. 2016, 64, 3820–3830. [Google Scholar] [CrossRef]
  7. Tsai, C.-Y.; Wong, K.-L.; Li, W.-Y. Experimental results of the multi-Gbps smartphone with 20 multi-input multi-output (MIMO) antennas in the 20–12 MIMO operation. Microw. Opt. Technol. Lett. 2018, 60, 20012010. [Google Scholar] [CrossRef]
  8. Wong, K.-L.; Tsai, C.-Y.; Lu, J.-Y. Two asymmetrically mirrored gap-coupled loop antennas as a compact building block for eight-antenna MIMO array in the future smartphone. IEEE Trans. Antennas Propag. 2017, 65, 1765–1778. [Google Scholar] [CrossRef]
  9. Deng, J.Y.; Yao, J.; Sun, D.Q.; Guo, L.X. Ten-element MIMO antenna for 5G terminals. Microw. Opt. Technol. Lett. 2018, 60, 3045–3049. [Google Scholar] [CrossRef]
  10. Wong, K.L.; Lin, B.W.; Li, W.-Y. Dual-band dual inverted-F/loop antennas as a compact decoupled building block for forming eight 3.5/5.8-GHz MIMO antennas in the future smartphone. Microw. Opt. Technol. Lett. 2017, 59, 2715–2721. [Google Scholar] [CrossRef]
  11. Guo, J.; Cui, L.; Li, C.; Sun, B. Side-edge frame printed eight-port dual-band antenna array for 5G smartphone applications. IEEE Trans. Antennas Propag. 2018, 66, 7412–7417. [Google Scholar] [CrossRef]
  12. Li, Y.; Sim, C.Y.D.; Luo, Y.; Yang, G. 12-port 5G massive MIMO antenna array in sub-6 GHz mobile handset for LTE bands 42/43/46 applications. IEEE Access 2018, 6, 344–354. [Google Scholar] [CrossRef]
  13. Li, Y.; Sim, C.-Y.-D.; Luo, Y.; Yang, G. Multiband 10-antenna array for sub-6 GHz MIMO applications in 5-G smartphones. IEEE Access 2018, 6, 28041–28053. [Google Scholar] [CrossRef]
  14. Xu, H.; Zhou, H.; Gao, S.; Wang, H.; Cheng, Y. Multimode decoupling technique with independent tuning characteristic for mobile terminals. IEEE Trans. Antennas Propag. 2017, 65, 6739–6751. [Google Scholar] [CrossRef]
  15. Sun, L.B.; Feng, H.; Li, Y.; Zhang, Z. Compact 5G MIMO mobile phone antennas with tightly arranged orthogonal-mode pairs. IEEE Trans. Antennas Propag. 2018, 66, 6364–6369. [Google Scholar] [CrossRef]
  16. Zhao, A.; Ren, Z. Multiple-input and multiple-output antenna system with self-isolated antenna element for fifth-generation mobile terminals. Microw. Opt. Technol. Lett. 2019, 61, 20–27. [Google Scholar] [CrossRef]
  17. Li, M.-Y.; Ban, Y.-L.; Xu, Z.-Q.; Guo, J.; Yu, Z.-F. Tri-polarized 12-antenna MIMO array for future 5G smartphone applications. IEEE Access 2018, 6, 6160–6170. [Google Scholar] [CrossRef]
  18. Zhao, A.; Ren, Z. Size reduction of self-isolated MIMO antenna system for 5G mobile phone applications. IEEE Antennas Wirel. Propag. Lett. 2019, 18, 152–156. [Google Scholar] [CrossRef]
  19. Huang, G.-L.; Chang, T.-Y.; Sim, C.-Y.-D. Wideband Eight-Antenna Array Designs for 5G Smartphone Applications. Electronics 2024, 13, 2995. [Google Scholar] [CrossRef]
  20. Zahid, M.; Ali, Q.; Bhowmike, N.; Bolla, D.P.; Shoaib, S.; Amin, Y. Dual-Band MIMO Antenna for n79 and sub-7 GHz Smartphone Applications. Electronics 2024, 13, 2724. [Google Scholar] [CrossRef]
  21. Available online: https://en.wikipedia.org/wiki/5GNRfrequencybands (accessed on 30 August 2024).
  22. Sharawi, M.S. Printed multi-band MIMO antenna systems and their performance metrics [wireless corner]. IEEE Antennas Propag. Mag. 2013, 55, 218–232. [Google Scholar] [CrossRef]
  23. IEEE Std. C95.1; IEEE Standards for Safety Levels with Request to Human Exposure to Radiofrequency Electromagnetic Fields, 3 kHz to 300 GHz. IEEE: Piscataway Township, NJ, USA, 1999.
  24. ICNIRP (International Commission on Non-Ionizing Radiation Protection). Guidelines for limiting expo-sure to time-varying electric magnetic, and electromagnetic fields (up to 300 GHz). Health Phys. 1998, 74, 494–522. [Google Scholar]
  25. Zou, H.; Li, Y.; Sim, C.-Y.-D.; Yang, G. Design of 8 × 8 dual-band MIMO antenna array for 5G smartphone applications. Int. J. RF Microw. Comput. Aided Eng. 2018, 28, e21420. [Google Scholar] [CrossRef]
  26. Wong, K.L.; Lu, J.Y.; Chen, L.Y.; Li, W.Y.; Ban, Y.L. 8-antenna and 16-antenna arrays using the quad-antenna linear array as a building block for the 3.5-GHz LTE MIMO operation in the smart-phone. Microw. Opt. Technol. Lett. 2016, 58, 174–181. [Google Scholar] [CrossRef]
  27. Cui, L.; Guo, J.; Liu, Y.; Sim, C.-Y.-D. An 8-element dual-band MIMO antenna with decoupling stub for 5G smartphone applications. IEEE Antennas Wirel. Propag. Lett. 2019, 18, 2095–2099. [Google Scholar] [CrossRef]
Figure 1. Single antenna element. (a) Front view [left]. (b) Rear view [center]. (c) Reflection coefficient of single antenna element [right].
Figure 1. Single antenna element. (a) Front view [left]. (b) Rear view [center]. (c) Reflection coefficient of single antenna element [right].
Electronics 13 04296 g001
Figure 2. Current distribution of single antenna element. (a) For n48 [left]. (b) For n47 [right].
Figure 2. Current distribution of single antenna element. (a) For n48 [left]. (b) For n47 [right].
Electronics 13 04296 g002
Figure 3. Ground slot length analysis of single antenna element. (a) For n48 [left]. (b) For n47 [right].
Figure 3. Ground slot length analysis of single antenna element. (a) For n48 [left]. (b) For n47 [right].
Electronics 13 04296 g003
Figure 4. Ground slot width analysis of single antenna element (a) For n48 [left] (b) For n47 [right].
Figure 4. Ground slot width analysis of single antenna element (a) For n48 [left] (b) For n47 [right].
Electronics 13 04296 g004
Figure 5. Fourteen element MIMO antenna design. Top view [left], and bottom view [right].
Figure 5. Fourteen element MIMO antenna design. Top view [left], and bottom view [right].
Electronics 13 04296 g005
Figure 6. Simulated and measured reflection coefficients of n48 frequency band.
Figure 6. Simulated and measured reflection coefficients of n48 frequency band.
Electronics 13 04296 g006
Figure 7. Simulated and measured reflection coefficients of n47 frequency band.
Figure 7. Simulated and measured reflection coefficients of n47 frequency band.
Electronics 13 04296 g007
Figure 8. Simulated transmission coefficients of for dual-band proposed MIMO.
Figure 8. Simulated transmission coefficients of for dual-band proposed MIMO.
Electronics 13 04296 g008
Figure 9. Simulated ECC for dual-band MIMO antennas.
Figure 9. Simulated ECC for dual-band MIMO antennas.
Electronics 13 04296 g009
Figure 10. Simulated and measured DG of n48 frequency band.
Figure 10. Simulated and measured DG of n48 frequency band.
Electronics 13 04296 g010
Figure 11. Simulated and measured DG of n47 frequency band.
Figure 11. Simulated and measured DG of n47 frequency band.
Electronics 13 04296 g011
Figure 12. Simulatio of 14-antenna massive MIMO system integrated with human parts. (a) Two hands. (b) Head with hand. (c) Only head.
Figure 12. Simulatio of 14-antenna massive MIMO system integrated with human parts. (a) Two hands. (b) Head with hand. (c) Only head.
Electronics 13 04296 g012
Figure 13. Simulated reflection and transmission coefficients for a human model of n48 frequency band.
Figure 13. Simulated reflection and transmission coefficients for a human model of n48 frequency band.
Electronics 13 04296 g013
Figure 14. Simulated reflection and transmission coefficients for a human model of n47 frequency band.
Figure 14. Simulated reflection and transmission coefficients for a human model of n47 frequency band.
Electronics 13 04296 g014
Figure 15. SAR values on all the ports for n48 frequency band.
Figure 15. SAR values on all the ports for n48 frequency band.
Electronics 13 04296 g015
Figure 16. Fabricated prototype. (a) Front view [left]. (b) Rear view [center]. (c) Measurement setup [right].
Figure 16. Fabricated prototype. (a) Front view [left]. (b) Rear view [center]. (c) Measurement setup [right].
Electronics 13 04296 g016
Figure 17. Simulated and measured e- (red lines) and h-planes (blue lines) for n48 frequency band.
Figure 17. Simulated and measured e- (red lines) and h-planes (blue lines) for n48 frequency band.
Electronics 13 04296 g017
Figure 18. Simulated and measured e- (red lines) and h-planes (blue lines) for n47 frequency band.
Figure 18. Simulated and measured e- (red lines) and h-planes (blue lines) for n47 frequency band.
Electronics 13 04296 g018
Table 1. Single-element antenna parameters.
Table 1. Single-element antenna parameters.
ParameterValue (mm)ParameterValue (mm)
L1150W170
L212.55L79.35
L36.55W214.6
L42.9W315.8
L53.1W47
L610.5W53
Table 2. Simulated realized gain and total efficiency of proposed MIMO antennas.
Table 2. Simulated realized gain and total efficiency of proposed MIMO antennas.
AntennasRealized Gain (dBi)
at 3.6 GHz
Total Efficiency (−dB)
at 3.6 GHz
Realized Gain (dBi)
at 5.9 GHz
Total Efficiency (−dB)
at 5.9 GHz
Ant 11.486.732.764.26
Ant 20.367.361.784.55
Ant 30.397.652.064.62
Ant 40.037.702.164.56
Ant 50.867.472.144.41
Ant 60.307.382.764.14
Ant 71.246.533.443.82
Ant 81.296.692.484.18
Ant 90.397.431.684.54
Ant 100.357.792.164.76
Ant 110.037.862.264.69
Ant 120.627.552.644.40
Ant 130.397.462.924.06
Ant 141.006.533.663.75
Table 3. SAR Analysis for n48 frequency band for 1 g tissues.
Table 3. SAR Analysis for n48 frequency band for 1 g tissues.
Port NumberSAR Value (W/kg)Port NumberSAR Value (W/kg)
Port 10.502Port 20.583
Port 31.01Port 40.722
Port 51.07Port 61.7
Port 71.94Port 80.647
Port 90.691Port 102.57
Port 112.59Port 121.72
Port 130.505Port 140.766
Table 4. Performance comparison of various state-of-the-art 5G antennas.
Table 4. Performance comparison of various state-of-the-art 5G antennas.
Ref. and PortsBandwidth (GHz)Isolation (−dB)ECCTotal Eff. (%)
Prop., 143.55–3.70 and 5.855–5.925 (−6 dB)<10 and <17<0.04 and 0.01765–76
[19], 83.3–5.0 and 5.15–5.925 (−6 dB)<10 and <22<0.03 and <0.151–84
[20], 104.4–7.1 (−6 dB)<17<0.00264–82
[25], 83.4–3.6 (−10 dB), 5.15–5.925 (−6 dB)<12 and <12<0.1 and <0.0450–65
[26], 163.4–3.6 (−6 dB)<10<0.3240–50
[27], 83.3–4.2 and 4.8–5.0 (−6 dB)not-mentioned<0.1 and <0.1253.8–79.1
Disclaimer/Publisher’s Note: The statements, opinions and data contained in all publications are solely those of the individual author(s) and contributor(s) and not of MDPI and/or the editor(s). MDPI and/or the editor(s) disclaim responsibility for any injury to people or property resulting from any ideas, methods, instructions or products referred to in the content.

Share and Cite

MDPI and ACS Style

Zahid, M.; Akbar, M.U.; Bhowmike, N.; Bolla, D.P.; Talib, A.U.; Shoaib, S.; Amin, Y.; Shahid, S. A Novel Ground Slot-Based Dual-Band Massive Multiple-Input Multiple-Output (MIMO) Antenna for n47 and n48 Smartphone Applications. Electronics 2024, 13, 4296. https://doi.org/10.3390/electronics13214296

AMA Style

Zahid M, Akbar MU, Bhowmike N, Bolla DP, Talib AU, Shoaib S, Amin Y, Shahid S. A Novel Ground Slot-Based Dual-Band Massive Multiple-Input Multiple-Output (MIMO) Antenna for n47 and n48 Smartphone Applications. Electronics. 2024; 13(21):4296. https://doi.org/10.3390/electronics13214296

Chicago/Turabian Style

Zahid, Muhammad, Muhammad Uzair Akbar, Nirman Bhowmike, Devi Prasanth Bolla, Asad Ullah Talib, Sultan Shoaib, Yasar Amin, and Saleem Shahid. 2024. "A Novel Ground Slot-Based Dual-Band Massive Multiple-Input Multiple-Output (MIMO) Antenna for n47 and n48 Smartphone Applications" Electronics 13, no. 21: 4296. https://doi.org/10.3390/electronics13214296

APA Style

Zahid, M., Akbar, M. U., Bhowmike, N., Bolla, D. P., Talib, A. U., Shoaib, S., Amin, Y., & Shahid, S. (2024). A Novel Ground Slot-Based Dual-Band Massive Multiple-Input Multiple-Output (MIMO) Antenna for n47 and n48 Smartphone Applications. Electronics, 13(21), 4296. https://doi.org/10.3390/electronics13214296

Note that from the first issue of 2016, this journal uses article numbers instead of page numbers. See further details here.

Article Metrics

Back to TopTop