MPC-TD3 Trajectory Tracking Control for Electrically Driven Unmanned Tracked Vehicles
Abstract
1. Introduction
2. Tracked Vehicle Model Construction
2.1. Kinematic Model of Tracked Vehicle
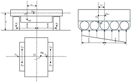
2.2. Dynamic Model of the Tracked Vehicle
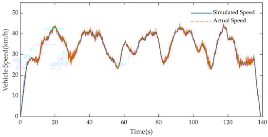
2.3. Verification of the Dynamics Model of Tracked Vehicles
3. Construction of the MPC Controller
3.1. Construction of the Controller
3.2. Constraint Conditions
4. Construction of the TD3 Agent Compensation Module
4.1. Design of State Space and Action Space
4.2. Reward Function Design
4.3. Design of the TD3 Agent
5. Simulation and Analysis
5.1. Simulation Experiment
5.1.1. Straight-Line and Circular Trajectory Conditions in Simulation
5.1.2. Double-Lane-Change Trajectory Conditions
5.2. Hardware-in-the-Loop Experiment and Analysis
5.2.1. Straight-Line and Circular Trajectory Conditions in Hardware-in-the-Loop Experiment
5.2.2. Double-Lane-Change Trajectory Conditions in Hardware-in-the-Loop Experiment
6. Future Research Directions
7. Results
Author Contributions
Funding
Data Availability Statement
Conflicts of Interest
References
- Wang, J.; Gao, S.; Wang, K.; Wang, Y.; Wang, Q. Wheel torque distribution optimization of four-wheel independent-drive electric vehicle for energy efficient driving. Control Eng. Pract. 2021, 110, 104779. [Google Scholar] [CrossRef]
- Husain, I.; Ozpineci, B.; Islam, M.S.; Gurpinar, E.; Su, G.J.; Yu, W.; Chowdhury, S.; Xue, L.; Rahman, D.; Sahu, R.; et al. Electric drive technology trends, challenges, and opportunities for future electric vehicles. Proc. IEEE 2021, 109, 1039–1059. [Google Scholar] [CrossRef]
- Yuan, Y.; Gai, J.; Zeng, G.; Zhou, G.; Li, X.; Ma, C. Analysis and Experimental Verification of Yaw Motion Response Characteristics of High-speed Tracked Vehicle. Acta Armamentarii 2024, 45, 1094–1107. [Google Scholar]
- Yuan, Y.; Gai, J.; Zhou, G.; Gao, X.; Li, X.; Ma, C. Analysis of High-Speed Electric Tracked Vehicle’s Handling Characteristics. Acta Armamentarii 2023, 44, 203–213. [Google Scholar]
- Hou, X.; Ma Yue Xiang, C. Research on Steering Stability Control of Electric Drive Tracked Vehicle. J. Mech. Eng. 2024, 60, 233–244. [Google Scholar]
- Zhang, J.; Wang, H.; Zheng, J.; Cao, Z.; Man, Z.; Yu, M.; Chen, L. Adaptive sliding mode-based lateral stability control of steer-by-wire vehicles with experimental validations. IEEE Trans. Veh. Technol. 2020, 69, 9589–9600. [Google Scholar] [CrossRef]
- Sun, W.; Wang, S. A Review of the Technical Content of Autonomous Vehicle. Int. J. Syst. Eng. 2018, 2, 42–46. [Google Scholar]
- AbdElmoniem, A.; Osama, A.; Abdelaziz, M.; Maged, S.A. Accurate path tracking by adjusting look-ahead point in pure pursuit method. Int. J. Automot. Technol. 2021, 22, 119–129. [Google Scholar]
- AbdElmoniem, A.; Osama, A.; Abdelaziz, M.; Maged, S.A. A path-tracking algorithm using predictive Stanley lateral controller. Int. J. Adv. Robot. Syst. 2020, 17, 1729881420974852. [Google Scholar] [CrossRef]
- Farag, W. Complex trajectory tracking using PID control for autonomous driving. Int. J. Intell. Transp. Syst. Res. 2020, 18, 356–366. [Google Scholar] [CrossRef]
- Xu, L.; Du, J.; Song, B.; Cao, M. A combined backstepping and fractional-order PID controller to trajectory tracking of mobile robots. Syst. Sci. Control Eng. 2022, 10, 134–141. [Google Scholar] [CrossRef]
- Zhao, Z.; Liu, H.; Chen, H.; Hu, J.; Guo, H. Kinematics-aware model predictive control for autonomous high-speed tracked vehicles under the off-road conditions. Mech. Syst. Signal Process. 2019, 123, 333–350. [Google Scholar] [CrossRef]
- Srikonda, S.; Norris, W.R.; Nottage, D.; Soylemezoglu, A. Deep Reinforcement Learning for Autonomous Dynamic Skid Steer Vehicle Trajectory Tracking. Robotics 2022, 11, 95. [Google Scholar] [CrossRef]
- Liu, M.; Zhao, F.; Yin, J.; Niu, J.; Liu, Y. Reinforcement-tracking: An effective trajectory tracking and navigation method for autonomous urban driving. IEEE Trans. Intell. Transp. Syst. 2021, 23, 6991–7007. [Google Scholar] [CrossRef]
- Shan, Y.; Zheng, B.; Chen, L.; Chen, L.; Chen, D. A reinforcement learning-based adaptive path tracking approach for autonomous driving. IEEE Trans. Veh. Technol. 2020, 69, 10581–10595. [Google Scholar] [CrossRef]
- Wang, S.; Yin, X.; Li, P.; Zhang, M.; Wang, X. Trajectory tracking control for mobile robots using reinforcement learning and PID. Iran. J. Sci. Technol. Trans. Electr. Eng. 2020, 44, 1059–1068. [Google Scholar] [CrossRef]
- Chen, I.M.; Chan, C.Y. Deep reinforcement learning based path tracking controller for autonomous vehicle. Proc. Inst. Mech. Eng. Part D J. Automob. Eng. 2021, 235, 541–551. [Google Scholar] [CrossRef]
- Sabiha, A.D.; Kamel, M.A.; Said, E.; Hussein, W.M. ROS-based trajectory tracking control for autonomous tracked vehicle using optimized backstepping and sliding mode control. Robot. Auton. Syst. 2022, 152, 104058. [Google Scholar] [CrossRef]
- Ruslan, N.A.I.; Amer, N.H.; Hudha, K.; Kadir, Z.A.; Ishak SA, F.M.; Dardin, S.M.F.S. Modelling and control strategies in path tracking control for autonomous tracked vehicles: A review of state of the art and challenges. J. Terramech. 2023, 105, 67–79. [Google Scholar] [CrossRef]
- Al-Jarrah, A.; Salah, M. Trajectory tracking control of tracked vehicles considering nonlinearities due to slipping while skid-steering. Syst. Sci. Control Eng. 2022, 10, 887–898. [Google Scholar] [CrossRef]












| Hyperparameter | Value |
|---|---|
| The number of layers of the Actor network | 2 |
| The number of neurons in each layer of the Actor | 256 |
| The learning rate of the Critic network | 0.001 |
| The learning rate of the Actor network | 0.0001 |
| discount factor | 0.99 |
| The size of the experience replay buffer | 128 |
| The update interval of the target network | 2 |
Disclaimer/Publisher’s Note: The statements, opinions and data contained in all publications are solely those of the individual author(s) and contributor(s) and not of MDPI and/or the editor(s). MDPI and/or the editor(s) disclaim responsibility for any injury to people or property resulting from any ideas, methods, instructions or products referred to in the content. |
© 2024 by the authors. Licensee MDPI, Basel, Switzerland. This article is an open access article distributed under the terms and conditions of the Creative Commons Attribution (CC BY) license (https://creativecommons.org/licenses/by/4.0/).
Share and Cite
Chen, Y.; Gai, J.; He, S.; Li, H.; Cheng, C.; Zou, W. MPC-TD3 Trajectory Tracking Control for Electrically Driven Unmanned Tracked Vehicles. Electronics 2024, 13, 3747. https://doi.org/10.3390/electronics13183747
Chen Y, Gai J, He S, Li H, Cheng C, Zou W. MPC-TD3 Trajectory Tracking Control for Electrically Driven Unmanned Tracked Vehicles. Electronics. 2024; 13(18):3747. https://doi.org/10.3390/electronics13183747
Chicago/Turabian StyleChen, Yuxuan, Jiangtao Gai, Shuai He, Huanhuan Li, Cheng Cheng, and Wujun Zou. 2024. "MPC-TD3 Trajectory Tracking Control for Electrically Driven Unmanned Tracked Vehicles" Electronics 13, no. 18: 3747. https://doi.org/10.3390/electronics13183747
APA StyleChen, Y., Gai, J., He, S., Li, H., Cheng, C., & Zou, W. (2024). MPC-TD3 Trajectory Tracking Control for Electrically Driven Unmanned Tracked Vehicles. Electronics, 13(18), 3747. https://doi.org/10.3390/electronics13183747

