A Highly Integrated Millimeter-Wave Circularly Polarized Wide-Angle Scanning Antenna Unit
Abstract
1. Introduction
2. Design of a Circularly Polarized Wide-Angle Scanning Antenna Unit
2.1. Antenna Unit Structure Design
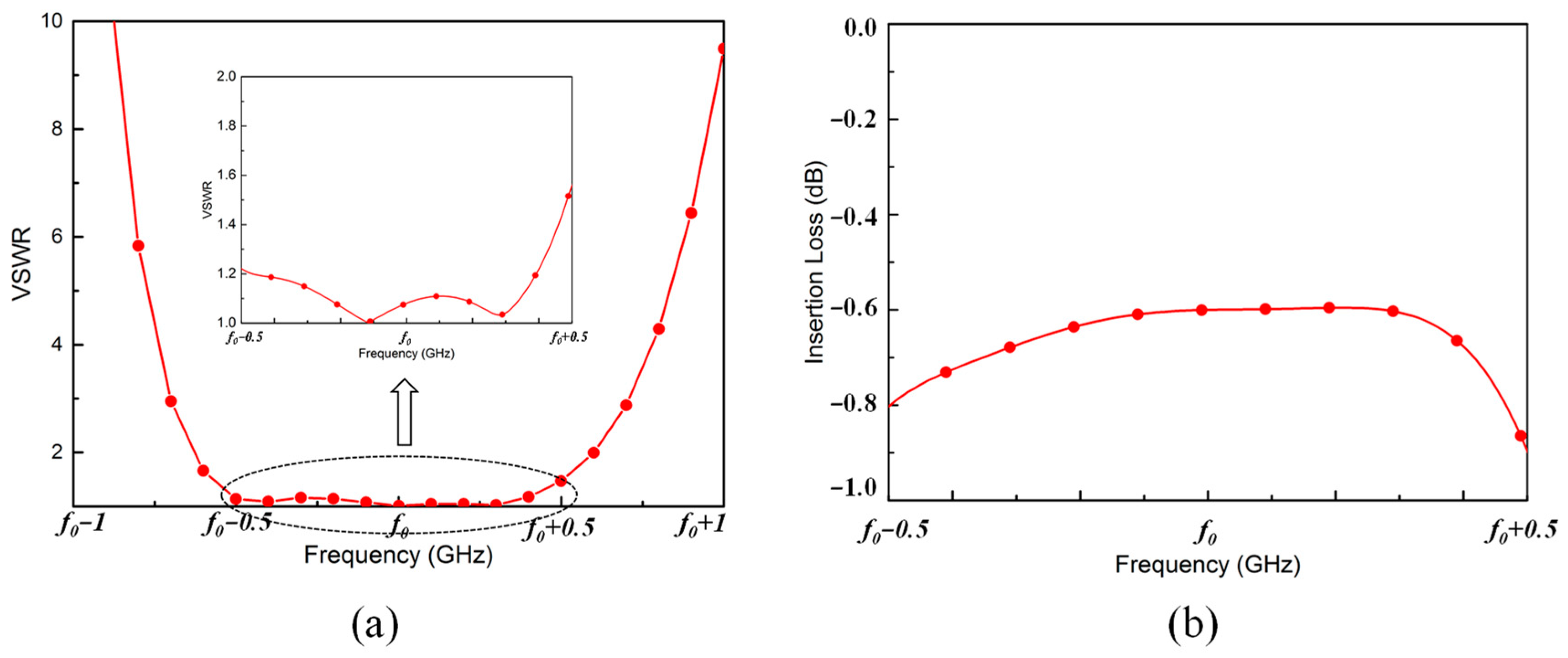
2.2. Analysis of Antenna Unit Performance
3. Two-Dimensional Wide-Angle Scanning Antenna Array
3.1. Antenna Array Design and Simulation Analysis
3.2. Measurement Results and Analysis
4. Conclusions
Author Contributions
Funding
Data Availability Statement
Conflicts of Interest
References
- Herranz-herruzo, J.I.; Valero-nogueira, A.; Ferrando-rocher, M. Low-cost Ka-band switchable RHCP/LHCP antenna array for mobile SATCOM terminal. IEEE Trans. Antennas Propag. 2018, 66, 2661–2666. [Google Scholar] [CrossRef]
- Marzetta, T.L. Noncooperative cellular wireless with unlimited numbers of base station antennas. IEEE Trans. Wireless Commun. 2010, 9, 3590–3600. [Google Scholar] [CrossRef]
- Yang, S.J.; Pan, Y.M.; Shi, L. Millimeter-wave dual-polarized filtering antenna for 5G application. IEEE Trans. Antennas Propag. 2020, 68, 5114–5121. [Google Scholar] [CrossRef]
- Al-Samman, A.M.; Azmi, M.H.; Al-Gumaei, Y.A.; Al-Hadhrami, T.; Abd. Rahman, T.; Fazea, Y.; Al-Mqdashi, A. Millimeter wave propagation measurements and characteristics for 5G system. Appl. Sci. 2020, 10, 335. [Google Scholar] [CrossRef]
- Beiranvand, B.; Iyer, A.K.; Mirzavand, R. Cost-Effective design of a reflectarray antenna for 5G and millimeter-wave applications utilizing 3-D-printed components. Antennas Wirel. Propag. Lett. 2024, 23, 925–929. [Google Scholar] [CrossRef]
- Hong, W.; Jiang, Z.H.; Yu, C. Multibeam antenna technologies for 5G wireless communications. IEEE Trans. Antennas Propag. 2017, 65, 6231–6249. [Google Scholar] [CrossRef]
- Zhou, Z.P. Millimeter wave active phased array antenna technology. J. Microw. 2018, 34, 1–5. [Google Scholar]
- Li, J.H.; Li, Y.B.; Chen, Z.X.; Liu, P.Y.; Gu, X.J. Research on modularized millimeter wave phased array antenna. J. Microw. 2018, 34, 99–102. [Google Scholar]
- Cheng, L.; Wu, F.W.; Li, Y.J. Design of a broadband high-isolation and low-cost millimeter-wave antenna array unit. Modern Radar. 2022, 44, 79–83. [Google Scholar]
- Zhang, Y.P.; Liu, D. Antenna-on-chip and antenna-in-package solutions to highly integrated millimeter-wave decives for wireless communications. IEEE Trans. Antennas Propag. 2009, 57, 2830–2841. [Google Scholar] [CrossRef]
- Gu, X.; Liu, D.; Baks, C. Development, implementation, and characterization of a 64-element dual-polarized phased-array antenna module for 28-GHz high-speed data communications. IEEE Trans. Microw. Theory Technol. 2019, 67, 2975–2984. [Google Scholar] [CrossRef]
- Han, G. A novel hybrid phased array antenna for satellite communication on-the-Move in Ku-band. IEEE Trans. Antennas Propag. 2015, 63, 1375–1383. [Google Scholar] [CrossRef]
- Tang, H.; Hong, W.; Chen, J. Development of millimeter-wave planar diplexers based on complementary characters of dual-mode substrate integrated waveguide filters with circular and elliptic cavities. IEEE Trans. Microw. Theory Technol. 2007, 55, 776–782. [Google Scholar] [CrossRef]
- Cheng, Y.; Dong, Y.D. Wideband circularly polarized planar antenna array for 5G millimeter-wave applications. IEEE Trans. Antennas Propag. 2021, 69, 2615–2627. [Google Scholar] [CrossRef]
- Gan, Z.; Tu, Z.H.; Xie, Z.M. Compact wideband circularly polarized microstrip antenna arrayfor 45 GHz application. IEEE Trans. Antennas Propag. 2018, 66, 6388–6392. [Google Scholar] [CrossRef]
- Chen, L.; Zhang, T.; Wang, C.; Shi, X. Wideband circularly polarized microstrip antenna with wide beamwidth. Antennas Wirel. Propag. Lett. 2014, 13, 1577–1580. [Google Scholar] [CrossRef]
- Bao, X.L.; Ammann, M.J. Dual-frequency dual circularly-polarised patch antenna with wide Beamwidth. Electron. Lett. 2008, 44, 1233–1234. [Google Scholar] [CrossRef]
- Han, G.D.; Chen, K.; Yuan, J.D. A miniaturized circularly polarized antenna for Beidou navigation satellite system application. Modern Radar. 2017, 39, 64–77. [Google Scholar]
- Ta, S.X.; Park, I. Low-profile broadband circularly polarized patch antenna using metasurface. IEEE Trans. Antennas Propag. 2015, 63, 5929–5934. [Google Scholar] [CrossRef]
- Guntupalli, A.B.; Wu, K. 60-GHz circularly polarized antenna array made in low-cost fabrication process. Antennas Wirel. Propag. Lett. 2014, 13, 864–867. [Google Scholar] [CrossRef]
- Ren, F.; Hong, W.; Wu, K. Polarization-adjustable planar array antenna with SIW-Fed high-order-mode microstrip patch. IEEE Trans. Antennas Propag. 2017, 65, 6167–6172. [Google Scholar] [CrossRef]
- Hao, Z.; Liu, X.; Huo, X. Planar high-gain circularly polarized element antenna for array applications. IEEE Trans. Antennas Propag. 2015, 63, 1937–1948. [Google Scholar] [CrossRef]
- Liu, W.H.; Han, G.D. Design of right-handed circular-polarized non-resonant slotted waveguide antenna array. Modern Radar. 2022, 44, 84–88. [Google Scholar]
- Chen, A.; Zhang, Y.; Chen, Z. Development of a Ka-band wideband circularly polarized 64-element microstrip antenna array with double application of the sequential rotation feeding technique. Antennas Wirel. Propag. Lett. 2011, 10, 1270–1273. [Google Scholar] [CrossRef]
- Liu, C.; Guo, Y.X.; Bao, X. 60-GHz LTCC integrated circularly polarized helical antenna array. IEEE Trans. Antennas Propag. 2012, 60, 1329–1335. [Google Scholar] [CrossRef]
- Li, Y.; Luk, K.M. A 60-GHz wideband circularly polarized aperture-coupled magneto-electric dipole antenna array. IEEE Trans. Antennas Propag. 2016, 64, 1325–1333. [Google Scholar] [CrossRef]
- Liu, C.; Xiao, S.; Guo, Y.X. Broadband circularly polarized beam-steering antenna array. IEEE Trans. Antennas Propag. 2013, 61, 1475–1479. [Google Scholar] [CrossRef]
- Ouyang, J. A circularly polarized switched-beam antenna array. Antennas Wirel. Propag. Lett. 2011, 10, 1325–1328. [Google Scholar] [CrossRef]
- Yang, S.L.; Chair, R.; Kishk, A. Study on sequential feeding networks for subarrays of circularly polarized elliptical dielectric resonator antenna. IEEE Trans. Antennas Propag. 2007, 55, 321–333. [Google Scholar] [CrossRef]
- Wu, Q.; Wang, H.; Yu, C. Low-profile circularly polarized cavity-backed antennas using SIW techniques. IEEE Trans. Antennas Propag. 2016, 64, 2832–2839. [Google Scholar] [CrossRef]
- Li, W.M.; Liu, B.; Zhao, H.W. The U-shaped structure design in dual-band circularly polarized slot antenna. Antennas Wirel. Propag. Lett. 2014, 13, 447–450. [Google Scholar]
- Razavi, S.A.; Neshati, M.H. Low profile circularly polarized cavity backed antenna using HMSIW technique. In Proceedings of the 20th Iranian Conference on Electrical Engineering (ICEE2012), Tehran, Iran, 15–17 May 2012. [Google Scholar]
- Park, S.J.; Park, S.O. LHCP and RHCP substrate integrated waveguide antenna arrays for millimeter-wave applications. Antennas Wirel. Propag. Lett. 2017, 16, 601–604. [Google Scholar] [CrossRef]
- Hung, K.F.; Lin, Y.C. Novel broadband circularly polarized cavity-backed aperture antenna with traveling wave excitation. IEEE Trans. Antennas Propag. 2010, 58, 35–42. [Google Scholar] [CrossRef]












| a | b | c | d | e | f | g | h | r | l |
|---|---|---|---|---|---|---|---|---|---|
| 7.00 | 12.65 | 5.90 | 5.95 | 8.95 | 0.80 | 0.55 | 1.62 | 0.24 | 4.62 |
Disclaimer/Publisher’s Note: The statements, opinions and data contained in all publications are solely those of the individual author(s) and contributor(s) and not of MDPI and/or the editor(s). MDPI and/or the editor(s) disclaim responsibility for any injury to people or property resulting from any ideas, methods, instructions or products referred to in the content. |
© 2024 by the authors. Licensee MDPI, Basel, Switzerland. This article is an open access article distributed under the terms and conditions of the Creative Commons Attribution (CC BY) license (https://creativecommons.org/licenses/by/4.0/).
Share and Cite
Yuan, G.; Guo, S.; Wang, K.; Xu, J. A Highly Integrated Millimeter-Wave Circularly Polarized Wide-Angle Scanning Antenna Unit. Electronics 2024, 13, 3328. https://doi.org/10.3390/electronics13163328
Yuan G, Guo S, Wang K, Xu J. A Highly Integrated Millimeter-Wave Circularly Polarized Wide-Angle Scanning Antenna Unit. Electronics. 2024; 13(16):3328. https://doi.org/10.3390/electronics13163328
Chicago/Turabian StyleYuan, Guishan, Sai Guo, Kan Wang, and Jiawen Xu. 2024. "A Highly Integrated Millimeter-Wave Circularly Polarized Wide-Angle Scanning Antenna Unit" Electronics 13, no. 16: 3328. https://doi.org/10.3390/electronics13163328
APA StyleYuan, G., Guo, S., Wang, K., & Xu, J. (2024). A Highly Integrated Millimeter-Wave Circularly Polarized Wide-Angle Scanning Antenna Unit. Electronics, 13(16), 3328. https://doi.org/10.3390/electronics13163328
