Next Article in Journal
PerNet: Progressive and Efficient All-in-One Image-Restoration Lightweight Network
Next Article in Special Issue
A Triangular Structure Constraint for Pedestrian Positioning with Inertial Sensors Mounted on Foot and Shank
Previous Article in Journal
Trademark Text Recognition Combining SwinTransformer and Feature-Query Mechanisms
 
 
Font Type:
Arial Georgia Verdana
Font Size:
Aa Aa Aa
Line Spacing:
Column Width:
Background:
Article

Automatic Parkinson’s Disease Diagnosis with Wearable Sensor Technology for Medical Robot

School of Electrical Engineering, Henan University of Technology, Zhengzhou 450000, China
*
Author to whom correspondence should be addressed.
Electronics 2024, 13(14), 2816; https://doi.org/10.3390/electronics13142816
Submission received: 29 June 2024 / Revised: 13 July 2024 / Accepted: 15 July 2024 / Published: 17 July 2024
(This article belongs to the Special Issue Intelligent Perception and Control for Robotics)

Abstract

The clinical diagnosis of Parkinson’s disease (PD) has been the subject of medical robotics research. Currently, a hot research topic is how to accurately assess the severity of Parkinson’s disease patients and enable medical robots to better assist patients in the rehabilitation process. The walking task on the Unified Parkinson’s Disease Rating Scale (UPDRS) is a well-established diagnostic criterion for PD patients. However, the clinical diagnosis of PD is determined based on the clinical experience of neurologists, which is subjective and inaccurate. Therefore, in this study, an automated diagnostic method for PD based on an improved multiclass support vector machine (MCSVM) is proposed in which wearable sensors are used. Kinematic analysis was performed to extract gait features, both spatiotemporal and kinematic, from the installed IMU and pressure sensors. Comparison experiments of three different kernel functions and linear trajectory experiments were designed. The experimental results show that the accuracies of the three kernel functions of the proposed improved MCSVM are 92.43%, 93.45%, and 95.35%. The simulation trajectories of the MCSVM are the closest to the real trajectories, which shows that the technique performs better in the clinical diagnosis of PD.

1. Introduction

Parkinson’s disease (PD) is a progressive neurological condition [1]. PD is caused by a massive loss of dopamine-producing neurons in the brain, which can lead to the manifestation of locomotor and non-locomotor manifestations, including tremor, rigidity, bradykinesia, depression, and anxiety, primarily in the form of gait disturbances [2]. As the severity of the disease varies from patient to patient, the medications or treatments required for treatment are also different. Therefore, the results of medical robotics to assess the severity of PD are critical. It is important to better determine the treatment modalities for patients with PD of varying severity. Walking tests are the primary diagnostic and rehabilitative modality for Parkinson’s disease [3]. Judgment in clinical diagnosis is usually made by neurologists based on their clinical experience; however, this is usually subjective and uncertain. As a result, assessment results may vary between physicians. For PD patients assessed for the severity of the disease, the Unified Parkinson’s Disease Rating Scale (UPDRS) is now an increasingly extensively used diagnostic system for clinical assessment [4,5,6]. The gait task in UPDRS is categorized into five levels to reflect severity, which is expressed as 0: normal walking, 1: slow walking, 2: severe gait disturbance, 3: need for external assistance, and 4: loss of walking ability. Small changes in gait can indicate deterioration, including slowing of gait speed and shortening of stride length. Several studies have shown that information on changes in the spatial and temporal characteristics of gait is obtained by analyzing the movement trajectories of patients and assessing the severity and progression of PD [7,8]. Gait abnormalities in patients with PD severely affect the movement trajectories, a factor that has been overlooked in previous studies.
In recent years, the utilization of gait datasets obtained through wearable devices for the diagnosis of PD or the assessment of its severity has provided clinicians with some efficacious diagnostic systems [9]. Currently, there are two approaches used for gait diagnosis in PD: One utilizes non-wearable sensor technology and the other uses wearable sensor technology. However, the non-wearable sensor technology is only suitable for indoor applications due to its high cost and limited use [10,11]. Wearable sensor technologies typically use miniature or flexible sensors, which are better suited for everyday gait tracking and PD diagnosis. Wearable devices mostly rely on inertial sensors [12,13], pressure [14,15], and electromyography (EMG) sensors [16]. Wearable gadgets are simple to use and can often be worn directly on the body with no further installation or configuration required. Wearable gadgets must be built with comfort and wearability in mind. The wearing posture of a wearable device has a considerable impact on both comfort and diagnostic accuracy. Wearable devices are gradually becoming common PD diagnostic systems due to their inexpensive and reliable performance. With the development of microelectromechanical system (MEMS) sensor technology, inertial measurement unit (IMU) has gradually become an indispensable key technology in the field of gait recognition. Inertial sensors are gradually used in gait analysis systems due to their low cost, portability, and high reliability [17,18]. In [19], to determine the severity of the disease among PD patients, IMU was used to measure the upper limb data to extract some feature parameters reflecting spatiotemporal and kinematic characteristics. In [20], two pressure sensors and IMU were integrated to acquire multiple gait signals to quantitatively analyze abnormal gait to improve the effectiveness of clinical diagnosis.
The ability of machine learning (ML) to process large volumes of data. Researchers were fascinated by the processing of multidimensional nonlinear features and thus began to apply ML techniques to clinical decision support systems [21]. Machine learning techniques can be used for early diagnosis of Parkinson’s disease and the assessment of the degree of PD condition for prediction. In reference [22], the effectiveness of different ML algorithms in categorizing PD patients with healthy subjects was investigated, and feature selection was performed three times. The results show that SVM, decision tree (DT), and random forest (RF) exhibit the best classification performance with a prediction accuracy higher than 80%. In reference [23], a decision support system for gait classification based on a multiclass support vector machine was proposed, and the gait time series data were normalized using the multiple regression method. Four kernel functions of SVM were tested experimentally, and the final average accuracy of quadratic SVM was 98.65%. In reference [24], twelve characteristics of gait were retrieved and calculated using two IMUs. A novel nonlinear model for determining movement task scores based on characteristics of gait was proposed. The proposed nonlinear model has an accuracy of 84.9%. These findings indicate that there are still gaps between important research and clinical applications. Firstly, current medical robots cannot satisfy clinical requirements. Furthermore, assessments remain too inaccurate in several circumstances.
In this study, an improved multiclassification support vector machine model is proposed for the automatic diagnosis of PD using UPDRS. A device integrating a pressure sensor and an IMU was designed to validate diagnostic results. To this end, gait data were obtained from 25 PD patients and 25 healthy control (HC) subjects. The gait data were features extracted by kinematic analysis, which included characteristic parameters of spatiotemporal and kinematic features. Gait data from pressure sensors and IMUs were collected to accurately identify the PD condition severity using improved MCSVM. The kernel function parameters were optimized according to the relevant techniques of cross-validation to better accomplish the prediction and estimation of PD severity and to avoid the complex selection of kernel function parameters. Different thresholds were set according to different severity levels to reduce the unfavorable effects of abnormal gait, and the movement trajectories and gait parameters of PD patients were obtained according to the severity level. The algorithm has high accuracy and is suitable for the diagnosis and rehabilitation of PD patients.
This paper is organized as follows: Section 2 describes the formulation of the problem to be solved, presents the classification model, and explains gait analysis and feature extraction. Section 3 introduces the experiments and the results for the validation of the proposed approach. Finally, Section 4 concludes this work.

2. Methods

2.1. Participants and Protocols

Gait data were collected from patients and healthy controls through a gait experiment, which served as the basis for a systematic analysis. PD patients were admitted to the hospital and could ambulate independently. All subjects were required to sign informed consent forms. This study was approved by the Xiangyang No. 1 People’s Hospital and Zhengzhou University (No. 2024-15) in accordance with the Declaration of Helsinki.
This gait dataset contains gait recordings from 25 healthy controls and 25 PD patients. PD patients were rated for severity based on UPDRS scores, and patients with a score of 4 could not be categorized. Therefore, this dataset covers patients with early to moderate PD severity and can be used to assess disease severity. Diagnostic equipment was worn directly on the body with no further installation or configuration requirements. Sensor data were delivered over the cloud, which enhanced its ease of use. During data collection, subjects were required to wear a gait collection device and walk at a normal gait speed in the laboratory for subsequent data analysis and recording. Table 1 presents demographic information on the subjects who participated in the data-gathering process.

2.2. The Configuration of System

Gait data were collected from patients using inertial sensors. The severity of Parkinson’s disease was then scored using an improved SVM method. Based on the results of the severity scoring, thresholds for zero-velocity detection had to be set, refined, and integrated into the algorithm to ensure the accuracy and reliability of data collection. Finally, localization trajectories were obtained using the zero-velocity update (ZUPT) algorithm. The algorithm includes five major steps: data collection, data preprocessing, feature vector extraction, classifier identification, and trajectory solving. The block diagram is shown in Figure 1.

2.3. ZUPT Algorithm

2.3.1. Zero-Velocity Detection

Considering the walking movement, the motion gait that humans use when walking can be separated into two phases: the phase of swinging and the stationary phase [25]. Therefore, the time when the foot is in full contact with the ground is referred to as the zero-velocity interval and is the time during which zero velocity of motion is detected. The zero-speed detection method utilizes the comparison of the modal value, variance, and set threshold of the sensor of three-dimensional acceleration and angular velocity to obtain the stationary interval during the motion process.
IMU has a tendency to drift over time. To overcome this issue, we employed the ZUPT technique, which successfully eliminated errors collected in sensors over lengthy periods. To improve the versatility of the zero-velocity detection approach, we adopted a joint determination method considering both acceleration and angular velocity information. To improve detection accuracy, the method relied on the generalized likelihood ratio test (GLRT) for zero-speed interval detection. The zero velocity at moment k is determined using the following equation:
T ( k ) = 1 W k = n n + W 1 ( 1 σ a 2 a k g m n a m n a 2 + 1 σ ω 2 ω k 2 ) < γ
m n a = 1 W k = n n + W 1 a k
where T ( k ) is the zero-velocity detection value at time k; W is the window size; g is the local gravitational acceleration; σ a 2 and σ ω 2 are the random noise variance of the accelerometers and gyroscopes; a k and ω k are the triaxial accelerometer outputs and gyroscope outputs at time k; m n a is the mean acceleration within the window; and γ is the zero-velocity threshold. If T k is below the threshold γ, the sampling interval is considered a zero-velocity interval.

2.3.2. Optimal Threshold

The standard fixed-threshold approach empirically analyzes the motion trajectory and then selects a threshold value to discriminate the zero-velocity interval. However, in practice, PD patients experience gait changes such as shortened stride length, slowed walking, and increased stride frequency, which may affect the accuracy of zero-velocity detection, ultimately resulting in a serious scatter of localization results [26]. The severity of the condition in the UPDRS is categorized into five levels as follows: 0: normal; 1: slight, slow walking, tendency to shuffle, small step size; 2: mild, difficulty walking, but does not need help yet, may have some degree of panic gait, small steps, or forward lunge; 3: moderate, severely abnormal gait, needs help to walk; and 4: severe. It is important to note that a score of 4 on the UPDRS indicates the inability of patients with lower limbs to walk even with assistance and was therefore not categorized.
In response to the above, different zero-velocity thresholds γ were selected based on the severity levels of PD patients. First, longitudinal coordinate values y 1 and y 2 were determined for the smallest and second-smallest points according to T k . Then, the optimal threshold value γ was determined for that severity level from the interval ( y 2 , y 1 ) by traversing the threshold value γ from y 1 to y 2 at intervals Δ y using a traversal method. This paved the way for the subsequent adaptive zero-velocity detection algorithm. Table 2 shows the detection results of the zero-velocity detection method.

2.4. Feature Extraction

The IMU integrated a 3-axis accelerometer and a 3-axis gyroscope, which were mounted on the patient’s foot. Two pressure sensors and the IMU were included in the device, which acquired information about the motion data of the patient at a fixed frequency. The jitter of the sensor or the patient would cause the device to generate random noise in the acquired data, affecting the data accuracy; hence, filtering the data was required to complete the preprocessing. The raw data were preprocessed using a smoothing filter, normalization, and windowing methods to obtain useful data.
To optimize the computation in machine learning, feature extraction is very important. Irrelevant variables should be avoided to prevent over-computation. The general classes of feature extraction methods include convolutional neural networks (CNNs), random forest, principal component analysis, and recurrent neural networks (RNNs) [27]. To quantify gait abnormalities in PD patients, spatiotemporal features related to gait were obtained using kinematic analysis. These features were based on neuroscientists’ expertise in the field of movement disorders, as well as references in the literature [28].
Since PD has a substantial effect on patients’ gait, the following gait cycle parameters were considered in this study to extract common gait features: sway time, stance time, stride time, stride length, velocity, and speed [29,30]. Table 3 shows the extracted temporal features. In addition, temporal features were extracted for each cycle, including arithmetic mean, standard deviation, root mean square error (RMSE), mean absolute error (MAE), variance, and skewness. Figure 2 depicts the diversity of spatiotemporal aspects for different Parkinson’s disease severities and healthy patients.
The Pearson correlation approach was then used to determine the best gait features. Pearson correlation coefficient ( ρ ) is determined as follows:
ρ = C o v ( x , y ) σ x σ y
where σ x and σ y are the standard deviations of the two variables, and Cov(x, y) is the covariance between x and y as provided by the following equation:
C o v ( x , y ) = E [ ( x μ x ) ( y μ y ) ]
where E is the expectation operator, and μ x and μ y denote the mean values of x and y, respectively.

2.5. Improved Multiclass SVM

2.5.1. Multiclass SVM

SVM has been employed for binary classification, which is an ML method [31]. The algorithm creates the best hyperplanes to divide two classes of data, based on the maximum margin principle. SVM is particularly useful for small samples and high-dimensional features, making them popular for PD classification problems.
Consider the dataset T = ( x i , y i ) i = 1 n with the feature vector x i R n and the feature label y i . To transform the optimal hyperplane problem into a problem of finding a linearly constrained minimum, the relaxation variable ξ and the penalty factor C are introduced.
min w , b , ξ { 1 2 w 2 + C i = 1 N ξ i }
such that
y i w T x i + b 1 ξ i ,   i 1 , N
ξ i 0 ,   i 1 , N
where ω is the normal vector of the hyperplane, and b is the intercept of the hyperplane. As the inequality meets the strong duality condition, a Lagrangian function must be constructed to address the duality problem.
L w , b , ξ , λ , μ = 1 2 w 2 + C i = 1 N ξ i i = 1 N μ i ξ i + i = 1 N λ i 1 y i w T x i + b ξ i
where λ is the Lagrange coefficient. The data obtained from inertial sensors were not linearly separable, so the kernel function was used to enable the linear separation of the data. Then, we solved for w, b, and ξ separately to obtain the classification decision function.
f x = sgn i = 1 N λ i y i K x , x i + b
where K stands for the kernel function in each case. In this work, we assessed how well the kernel functions listed in Table 4 performed in terms of differentiating PD severity according to gait characteristics.
In machine learning, multiclass classification problems are frequently approached as multiple binary classification problems. Two approaches for constructing an MCSVM are one vs. one (OVO) and one vs. all (OVA). OVO is generally considered a more suitable approach than OVA for training SVM [32]. Accordingly, in this study, we used the OVO approach. For a total of k categories, a total of k ( k 1 ) / 2 binary classifiers were constructed by combining two different categories. Each binary classifier made a prediction once, and when it was judged to be the nth category, the number of votes was added by 1, and the anticipated categorization outcome was determined by taking the category with the highest number of votes.

2.5.2. Improved MCSVM

To increase the PD severity classification precision and effectiveness, a multiclass classification optimization algorithm based on an SVM was proposed. The classification performance of the support vector machine depends on the penalty factor C and the kernel function parameter σ. Based on this, an improved MCSVM model for PD severity diagnosis was developed. On this basis, the improved MCSVM model for PD severity diagnosis was established. Considering d-dimensional space, particle counts in the general public are defined as n, the location of the ith particle is X i = ( X i 1 ,   ,   X i d ) T , and the speed of movement is denoted as V i = ( v i 1 ,   ,   v i d ) T . The optimal location of the ith particle is denoted as P i = ( P i 1 ,   ,   P i d ) T ; then, the optimization algorithm can be expressed as the following formula:
v i d ( k + 1 ) = v i d ( k ) c 1 ( k ) r 1 ( k ) [ x i d ( k ) P i d ( k ) ] c 2 ( k ) r 2 ( k ) [ x i d ( k ) P g d ( k ) ]
x i d ( k + 1 ) = v i d ( k + 1 ) + x i d ( k )
where k is the number of iterations; v i d , x i d , and P i d are the motion velocity, position, and optimal solution of the ith particle in the d-dimension; r 1 and r 2 are random variables with a uniform distribution between k ( 0 , 1 ) ; c 1 and c 2 are the acceleration parameters; and P g d is the optimal position obtained by the individual particles in the swarm by performing the search operation.
In addressing the challenge of assessing the severity of PD, it is frequently observed that a local optimum represents the optimal solution. To enhance the efficacy of the algorithm in identifying the optimal solution, the introduction of inertia weights is a beneficial strategy. The update to the particle position remains unchanged, while its speed of movement is expressed as follows:
v i d ( k + 1 ) = ω ( k ) v i d ( k ) c 1 ( k ) r 1 ( k ) [ x i d ( k ) P i d ( k ) ] c 2 ( k ) r 2 ( k ) [ x i d ( k ) P g d ( k ) ]
To achieve a global and local balance in the classification of PD severity, the selection of weights is improved by decreasing them with the number of repetitions. The following is an expression for the ω iterative process:
ω ( k ) = ω min + ( K k ) ( ω max ω min ) K
where K is the maximum number of iterations; ω max is the maximum inertia weight; and ω min is the minimum inertia weight.

3. Experiment and Results

3.1. Experimental Setup

To avoid potential magnetic field interference in the indoor environment, a magnetometer was not used. The experiment employed a pressure sensor and an IMU18 module, which included a three-axis accelerometer and a three-axis gyroscope. The main symptom of Parkinson’s disease is irregular gait; thus, affixing the IMU to the dorsum of the foot is one of the best options. As a result, in the experimental design, we positioned the IMU on the dorsum of the foot and the pressure sensor on the sole. The IMU18 module was affixed to the dorsal aspect of the right foot, with the pressure sensor positioned on the sole, as illustrated in Figure 3. The sampling frequency of the experimental device was set to 100 Hz. The outputs of the two sensors and the subsequent processing were integrated with the main control board, which included the main control chip, signal conversion, and a 4G communication module. The sensor data were transferred to the cloud for easy viewing, analysis, and other subsequent operations. The performance parameters of the IMU18 module are presented in Table 5. For this study, the IMU data were transmitted wirelessly and processed offline on MATLAB (R2021a).

3.2. Gait Analysis

It is clear that walking signals while moving are periodic, and the features of walking are reflected in the waveform of every movement. Each signal must be subjected to further analysis. The gait acquisition device collected the plantar pressure signal of the foot at the 12th to 14th second, as shown in Figure 4. During the initial portion of the gait cycle, channel 1 exhibits a notable increase, a sign that the sole has touched the ground. Upon the transfer of primary pressure from the heel to the forefoot, channel 1 reaches a peak and subsequently declines. Concurrently, channel 2 experiences an uptick in pressure, reaching a peak. Finally, pressure measurements in every channel decrease to zero as the foot rises. This procedure offers a comprehensive illustration of the movement of a single foot during the gait phase, which may be further divided into stance and rocking stages based on whether the foot makes an impression on the ground. This is determined by the sum of the pressures, as shown in Figure 4 by the green dotted line. Figure 5 illustrates the triaxial acceleration acquired by the acceleration sensor. The x, y, and z axes’ acceleration is represented by a x , a y and a z , respectively. The time is identical to that depicted in Figure 4.
The utilization of acceleration and angular velocity signals to compute attitude angle data is an important approach. These data were evaluated to properly extract and compute the roll angle, yaw angle, and pitch angle. These attitude angle values are crucial for understanding an object or system orientation and dynamics in space, as well as providing the foundation for motion analysis. The output was calculated by quaternion, as illustrated in Figure 6. When gait transitions smoothly from the stage of stance to the swinging stage, the pitch angle drops swiftly as the foot is elevated before progressively increasing during the swing phase until the next gait cycle begins. This dynamic change reflects the complicated adjustment of foot posture during walking, and the change in pitch angle is a key sign of posture awareness. The pitch angle exhibited a decrease of approximately 90° throughout a single gait cycle. Concomitantly, there were persistent alterations in the roll and yaw angles throughout the gait cycle.

3.3. Performance Analysis

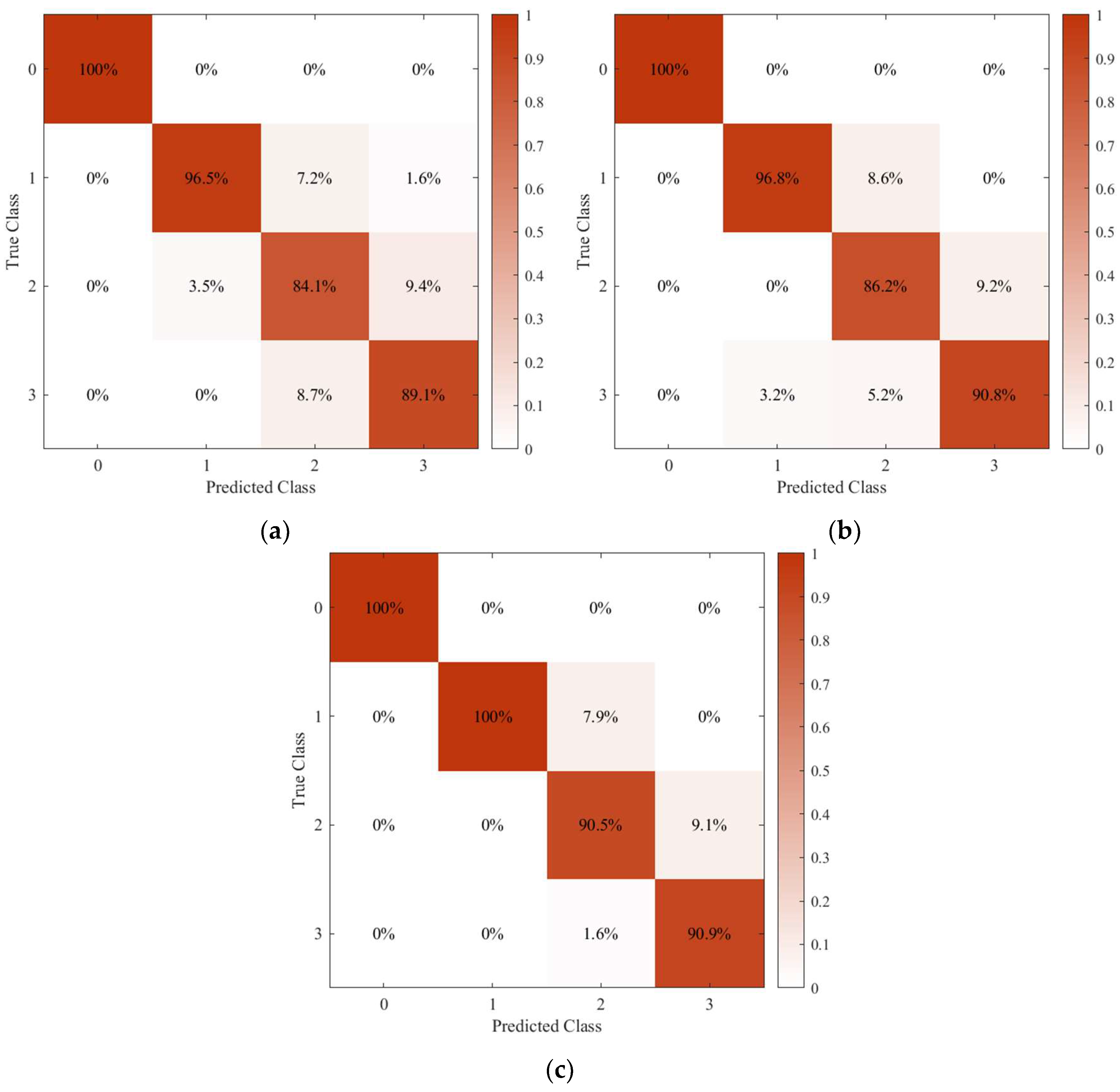
In ML, the confusion matrix (CM), a visualization tool, is a significant tool for comparing and assessing a classifier of projected outcomes with the real values. It provides a clear image of the classifier performance and mistake rate by grouping the predictions based on the actual category distribution. The confusion matrix not only helps to examine which categories are correctly identified, but it also highlights the classifier misclassification of specific categories, providing valuable insights for optimizing classification algorithms and models. This includes four classification metrics of machine learning. The confusion matrices for the three kernel functions are given in Figure 7.
From the CM, more advanced classification metrics can be obtained: accuracy, precision, recall, specificity, and sensitivity. Classifier performance metrics are often used to assess the advantages and disadvantages of classifiers of a task, as demonstrated in Table 6 [33]. It can be seen that the improved MCSVM has the best performance, being able to predict all four classes in a classifier with three kernel functions. Table 7 shows the classifier model of four major performance indicators. Compared to the three kernel functions, the improved MCSVM performed classification with an average accuracy of 95.35%.

3.4. Positioning Results and Analysis

A walking experiment was designed for PD patients to observe the impaired gait regulation and motor coordination in PD patients due to neurological causes. The motor trajectory data of PD patients with different PD severities were collected, and zero-velocity interval detection was performed according to different thresholds. To assess the validity and practicality of zero-velocity detection, we conducted detection experiments on the zero-velocity interval. A comparison of the fixed-threshold method and the improved MCSVM adaptive-threshold zero-velocity detection method is presented in Figure 8.
The results showed that the fixed-threshold method had significant inaccuracy in detecting zero-velocity intervals for abnormal gait. The measurements during the abnormal gait were above a fixed threshold, resulting in the swing interval being detected as a zero-velocity interval. In contrast, the adaptive-threshold method successfully detected zero-velocity intervals before and after gait changes. It was confirmed that adaptive zero-velocity detection based on the improved MCSVM was superior to the fixed-threshold method, especially in abnormal gait detection. This method provides a basis for the study of localization trajectories for patients with PD.
In an experiment to validate the walking trajectory, we found that PD patients have impaired gait and motor coordination. To analyze the performance of the adaptive-threshold navigation system, L-trajectory walking experiments were designed. Three methods were used to process the data collected by IMU: fixed threshold, adaptive threshold, and improved MCSVM adaptive threshold. We used MATLAB to simulate the PD patient localization trajectory, as shown in Figure 9.
In this paper, the accuracy of the proposed algorithm was assessed using two methods: the fixed-threshold method and the adaptive-threshold method. For inertial navigation systems assisted by fixed-threshold methods, the detection of zero velocity in abnormal gaits represents a significant challenge. The ambiguity of the difference between normal gait and other severities makes thresholds difficult to determine. The adaptive-threshold method, although superior to the fixed-threshold method, is subject to divergence during operation. In all three cases, the method proposed in this paper showed the highest accuracy for localization trajectories of PD patients.
The comparison of the localization performance of the three algorithms is shown in Table 8. In the experiments, the average absolute heading angle errors of the improved MCSVM method were reduced by 52.79% and 45.68%, and the average absolute position errors of the improved MCSVM method were reduced by 48.34% and 41.13%, respectively, when compared with the fixed threshold and the adaptive threshold.

4. Conclusions

In this paper, a diagnostic medical robot based on gait and machine learning was proposed for PD patients, which assists in diagnosis and rehabilitation through motion localization trajectories. Pressure sensors and an IMU were integrated into the device. The developed system collected and analyzed gait data from 25 PD patients and 25 HC. Gait analysis, including pressure, gait cycle, and postural angle, was performed. Spatiotemporal features and frequency-domain features were extracted using the feature extraction method. An adaptive-threshold localization method for PD patients was proposed to obtain accurate patient motion trajectories, which provides important reference information for doctors and effectively assists PD diagnosis. The results reveal that the average accuracy of the modified MCSVM classifier utilizing the RBF kernel function is 95.35%. Both types of signals could be used in the diagnosis of PD, thus confirming the superiority of the proposed classification model in the diagnosis of PD. The experimental results show that the localization trajectories of PD patients by the improved MCSVM method are closest to the real trajectories compared to the traditional fixed-threshold method. As further research, in addition to clinical diagnosis, abnormal gait can also be used for early PD detection and patient fall detection. Moreover, besides gait features, other symptoms of PD can be used to assist the diagnostic system. By considering these features together, the classifier can be made more precise in recognizing and distinguishing different PD severities, thus improving its accuracy and reliability. This method has great potential for quantitative clinical diagnosis and fall detection in the future.

Author Contributions

Conceptualization, M.J. and R.R.; methodology, R.R.; software, W.Z.; validation, M.J., R.R., and W.Z.; formal analysis, R.R.; investigation, Q.X.; resources, M.J.; data curation, W.Z.; writing—original draft preparation, R.R.; writing—review and editing, Q.X.; visualization, W.Z.; supervision, M.J.; project administration, Q.X.; funding acquisition, M.J. and Q.X. All authors have read and agreed to the published version of the manuscript.

Funding

This work was supported in part by the National Natural Science Foundation of China (Grant NO. 62201199), Research Project of Science and Technology of Henan Province (Grant NO. 232102320037), Henan University of Technology young backbone teacher talent project (Grant NO. 21421262), Professional Degree Postgraduate Excellence Teaching Case Project of Henan Province (Grant NO. YJS2022AL043), and Innovation Funds Plan of Henan University of Technology (Grant NO. 2021ZKCJ07). I would like to express my great gratitude here.

Institutional Review Board Statement

This study was conducted according to the guidelines of the Declaration of Helsinki and approved by the Ethics Committee of Life Sciences of Zhengzhou University (No. 2024-15).

Informed Consent Statement

Informed consent was obtained from all subjects involved in the study.

Data Availability Statement

The data presented in this study are available upon request from the corresponding author. The data are not publicly available due to privacy or ethical restrictions.

Conflicts of Interest

The authors declare no conflicts of interest.

References

  1. Carmignano, S.M.; Fundaro, C.; Bonaiuti, D.; Calabro, R.S.; Cassio, A.; Mazzoli, D.; Bizzarini, E.; Campanini, I.; Cerulli, S.; Chisari, C.; et al. Robot-Assisted Gait Training in Patients with Parkinson’s Disease: Implications for Clinical Practice. A Systematic Review. NeuroRehabilitation 2022, 51, 649–663. [Google Scholar] [CrossRef]
  2. Smith, M.D.; Brazier, D.E.; Henderson, E.J. Current Perspectives on the Assessment and Management of Gait Disorders in Parkinson’s Disease. Neuropsychiatr. Dis. Treat. 2021, 17, 2965–2985. [Google Scholar] [CrossRef] [PubMed]
  3. Sotirakis, C.; Su, Z.; Brzezicki, M.A.; Conway, N.; Tarassenko, L.; FitzGerald, J.J.; Antoniades, C.A. Identification of Motor Progression in Parkinson’s Disease Using Wearable Sensors and Machine Learning. Npj Park. Dis. 2023, 9, 142. [Google Scholar] [CrossRef] [PubMed]
  4. Goetz, C.G.; Fahn, S.; Martinez-Martin, P.; Poewe, W.; Sampaio, C.; Stebbins, G.T.; Stern, M.B.; Tilley, B.C.; Dodel, R.; Dubois, B.; et al. Movement Disorder Society-sponsored Revision of the Unified Parkinson’s Disease Rating Scale (MDS-UPDRS): Process, Format, and Clinimetric Testing Plan. Mov. Disord. 2007, 22, 41–47. [Google Scholar] [CrossRef]
  5. Balaji, E.; Brindha, D.; Balakrishnan, R. Supervised Machine Learning Based Gait Classification System for Early Detection and Stage Classification of Parkinson’s Disease. Appl. Soft Comput. 2020, 94, 106494. [Google Scholar]
  6. Rodríguez-Molinero, A.; Samà, A.; Pérez-López, C.; Rodríguez-Martín, D.; Alcaine, S.; Mestre, B.; Quispe, P.; Giuliani, B.; Vainstein, G.; Browne, P.; et al. Analysis of Correlation between an Accelerometer-Based Algorithm for Detecting Parkinsonian Gait and UPDRS Subscales. Front. Neurol. 2017, 8, 431. [Google Scholar]
  7. Channa, A.; Ruggeri, G.; Ifrim, R.-C.; Mammone, N.; Iera, A.; Popescu, N. Cloud-Connected Bracelet for Continuous Monitoring of Parkinson’s Disease Patients: Integrating Advanced Wearable Technologies and Machine Learning. Electronics 2024, 13, 1002. [Google Scholar] [CrossRef]
  8. Hori, K.; Hirobe, Y.; Orimo, S.; Sawada, H.; Inaba, A.; Miyake, Y. Early Detection of Parkinson’s Disease Based on Gait Trajectory Analysis Using Wearable Sensors. J. Neurol. Sci. 2017, 381, 348. [Google Scholar] [CrossRef]
  9. Brognara, L.; Palumbo, P.; Grimm, B.; Palmerini, L. Assessing Gait in Parkinson’s Disease Using Wearable Motion Sensors: A Systematic Review. Diseases 2019, 7, 18. [Google Scholar] [CrossRef]
  10. Lahmiri, S.; Shmuel, A. Detection of Parkinson’s Disease Based on Voice Patterns Ranking and Optimized Support Vector Machine. Biomed. Signal Process. Control. 2019, 49, 427–433. [Google Scholar] [CrossRef]
  11. Sabo, A.; Gorodetsky, C.; Fasano, A.; Iaboni, A.; Taati, B. Concurrent Validity of Zeno Instrumented Walkway and Video-Based Gait Features in Adults with Parkinson’s Disease. IEEE J. Transl. Eng. Health Med. 2022, 10, 1–11. [Google Scholar] [CrossRef] [PubMed]
  12. Hua, R.; Wang, Y. Distinguishing Medication ON and OFF for Parkinson’s Disease through Repetitive Foot Motion Recognition and Analysis. IEEE Sensors J. 2022, 22, 12219–12227. [Google Scholar] [CrossRef]
  13. Li, B.; Yao, Z.; Wang, J.; Wang, S.; Yang, X.; Sun, Y. Improved Deep Learning Technique to Detect Freezing of Gait in Parkinson’s Disease Based on Wearable Sensors. Electronics 2020, 9, 1919. [Google Scholar] [CrossRef]
  14. Marcante, A.; Di Marco, R.; Gentile, G.; Pellicano, C.; Assogna, F.; Pontieri, F.E.; Spalletta, G.; Macchiusi, L.; Gatsios, D.; Giannakis, A.; et al. Foot Pressure Wearable Sensors for Freezing of Gait Detection in Parkinson’s Disease. Sensors 2020, 21, 128. [Google Scholar] [CrossRef] [PubMed]
  15. Hu, C.; Huan, Z.; Dong, C. A Two-Stream 3D-CNN Network Based on Pressure Sensor Data and Its Application in Gait Recognition. Electronics 2023, 12, 3753. [Google Scholar] [CrossRef]
  16. Rezaee, K.; Savarkar, S.; Yu, X.; Zhang, J. A Hybrid Deep Transfer Learning-Based Approach for Parkinson’s Disease Classification in Surface Electromyography Signals. Biomed. Signal Process. Control 2022, 71, 103161. [Google Scholar] [CrossRef]
  17. Cuzzolin, F.; Sapienza, M.; Esser, P.; Saha, S.; Franssen, M.M.; Collett, J.; Dawes, H. Metric Learning for Parkinsonian Identification from IMU Gait Measurements. Gait Posture 2017, 54, 127–132. [Google Scholar] [CrossRef]
  18. Nguyen, H.; Lebel, K.; Bogard, S.; Goubault, E.; Boissy, P.; Duval, C. Using Inertial Sensors to Automatically Detect and Segment Activities of Daily Living in People with Parkinson’s Disease. IEEE Trans. Neural Syst. Rehabil. Eng. 2018, 26, 197–204. [Google Scholar] [CrossRef]
  19. Cesarelli, G.; Donisi, L.; Amato, F.; Romano, M.; Cesarelli, M.; D’Addio, G.; Ponsiglione, A.M.; Ricciardi, C. Using Features Extracted from Upper Limb Reaching Tasks to Detect Parkinson’s Disease by Means of Machine Learning Models. IEEE Trans. Neural Syst. Rehabil. Eng. 2023, 31, 1056–1063. [Google Scholar] [CrossRef] [PubMed]
  20. Xie, J.; Zhao, H.; Cao, J.; Qu, Q.; Cao, H.; Liao, W.-H.; Lei, Y.; Guo, L. Wearable Multisource Quantitative Gait Analysis of Parkinson’s Diseases. Comput. Biol. Med. 2023, 164, 107270. [Google Scholar] [CrossRef]
  21. Nilashi, M.; Ibrahim, O.; Ahmadi, H.; Shahmoradi, L.; Farahmand, M. A Hybrid Intelligent System for the Prediction of Parkinson’s Disease Progression Using Machine Learning Techniques. Biocybern. Biomed. Eng. 2018, 38, 1–15. [Google Scholar] [CrossRef]
  22. Trabassi, D.; Serrao, M.; Varrecchia, T.; Ranavolo, A.; Coppola, G.; De Icco, R.; Tassorelli, C.; Castiglia, S.F. Machine Learning Approach to Support the Detection of Parkinson’s Disease in IMU-Based Gait Analysis. Sensors 2022, 22, 3700. [Google Scholar] [CrossRef] [PubMed]
  23. Vidya, B.; P, S. Gait Based Parkinson’s Disease Diagnosis and Severity Rating Using Multi-Class Support Vector Machine. Appl. Soft Comput. 2021, 113, 107939. [Google Scholar] [CrossRef]
  24. Han, Y.; Liu, X.; Zhang, N.; Zhang, X.; Zhang, B.; Wang, S.; Liu, T.; Yi, J. Automatic Assessments of Parkinsonian Gait with Wearable Sensors for Human Assistive Systems. Sensors 2023, 23, 2104. [Google Scholar] [CrossRef] [PubMed]
  25. Yang, M.; Zhu, R.; Xiao, Z.; Yan, B. Symmetrical-Net: Adaptive Zero Velocity Detection for ZUPT-Aided Pedestrian Navigation System. IEEE Sensors J. 2022, 22, 5075–5085. [Google Scholar] [CrossRef]
  26. Caramia, C.; Torricelli, D.; Schmid, M.; Munoz-Gonzalez, A.; Gonzalez-Vargas, J.; Grandas, F.; Pons, J.L. IMU-Based Classification of Parkinson’s Disease from Gait: A Sensitivity Analysis on Sensor Location and Feature Selection. IEEE J. Biomed. Health Inform. 2018, 22, 1765–1774. [Google Scholar] [CrossRef] [PubMed]
  27. Liu, R.; Wang, Z.; Zhao, H.; Qiu, S.; Wang, C.; Shi, X.; Lin, F. Quantitative Analysis of Lower Limb Motion in Parkinson’s Disease Based on Inertial Sensors. IEEE Sens. J. 2022, 22, 20937–20946. [Google Scholar] [CrossRef]
  28. Qian, W.; Zhu, Y.; Jin, Y.; Yang, J.; Qi, P.; Wang, Y.; Ma, Y.; Ji, H. A Pedestrian Navigation Method Based on Construction of Adapted Virtual Inertial Measurement Unit Assisted by Gait Type Classification. IEEE Sens. J. 2021, 21, 15258–15268. [Google Scholar] [CrossRef]
  29. Ferreira, M.I.A.S.N.; Barbieri, F.A.; Moreno, V.C.; Penedo, T.; Tavares, J.M.R.S. Machine Learning Models for Parkinson’s Disease Detection and Stage Classification Based on Spatial-Temporal Gait Parameters. Gait Posture 2022, 98, 49–55. [Google Scholar] [CrossRef]
  30. Wang, L.; Sun, Y.; Li, Q.; Liu, T.; Yi, J. IMU-Based Gait Normalcy Index Calculation for Clinical Evaluation of Impaired Gait. IEEE J. Biomed. Health Inform. 2021, 25, 3–12. [Google Scholar] [CrossRef]
  31. Liu, Y.; Bi, J.-W.; Fan, Z.-P. A Method for Multi-Class Sentiment Classification Based on an Improved One-vs-One (OVO) Strategy and the Support Vector Machine (SVM) Algorithm. Inf. Sci. 2017, 394–395, 38–52. [Google Scholar] [CrossRef]
  32. Songsiri, P.; Cherkassky, V.; Kijsirikul, B. Universum Selection for Boosting the Performance of Multiclass Support Vector Machines Based on One-versus-One Strategy. Knowl. -Based Syst. 2018, 159, 9–19. [Google Scholar] [CrossRef]
  33. Yilmaz, A.E.; Demirhan, H. Weighted Kappa Measures for Ordinal Multi-Class Classification Performance. Appl. Soft. Comput. 2023, 134, 110020. [Google Scholar] [CrossRef]
Figure 1. Block diagram of the wearable sensors and actuator system.
Figure 1. Block diagram of the wearable sensors and actuator system.
Electronics 13 02816 g001
Figure 2. Spatiotemporal features of PD patients and healthy controls.
Figure 2. Spatiotemporal features of PD patients and healthy controls.
Electronics 13 02816 g002
Figure 3. Experimental equipment.
Figure 3. Experimental equipment.
Electronics 13 02816 g003
Figure 4. Pressure signals’ analysis from 12th to 14th seconds.
Figure 4. Pressure signals’ analysis from 12th to 14th seconds.
Electronics 13 02816 g004
Figure 5. Acceleration signals’ analysis from the 12th to the 14th seconds.
Figure 5. Acceleration signals’ analysis from the 12th to the 14th seconds.
Electronics 13 02816 g005
Figure 6. Postural angles’ analysis from the 12th to 14th seconds.
Figure 6. Postural angles’ analysis from the 12th to 14th seconds.
Electronics 13 02816 g006
Figure 7. Confusion matrix of the improved MCSVM: (a) linear; (b) polynomial; (c) RBF.
Figure 7. Confusion matrix of the improved MCSVM: (a) linear; (b) polynomial; (c) RBF.
Electronics 13 02816 g007
Figure 8. Experimental results of fixed and improved MCSVM threshold.
Figure 8. Experimental results of fixed and improved MCSVM threshold.
Electronics 13 02816 g008
Figure 9. Positioning results.
Figure 9. Positioning results.
Electronics 13 02816 g009
Table 1. Information on the 25 PD patients and 25 HC people.
Table 1. Information on the 25 PD patients and 25 HC people.
SubjectsAgeHeight (cm)Weight (kg)GenderSamples for TrainingSamples for Test
PD patients60 ± 7166.1 ± 6.265.6 ± 10.411F, 14M25,2002800
Healthy57 ± 7166.6 ± 6.671.2 ± 10.313F, 12M
Table 2. The severity ratings and their corresponding optimal thresholds.
Table 2. The severity ratings and their corresponding optimal thresholds.
UPDRS Score0123
Optimal thresholds20,00015,00010,0006000
Table 3. Spatiotemporal features.
Table 3. Spatiotemporal features.
FeatureDescription
Swing time (SW)Time between the heel strike and toe-off phase
Stance time (ST)Time elapsed between initial and last contacts
Swing/stance ratio (SW/ST)The proportion of the swing phase to the stance phase
Stride timeTime between two consecutive heel strikes on the same side of the foot
Stride length (SL)Distance between two consecutive heel strikes on the same side of the foot
CadenceNumber of steps per minute.
Table 4. SVM kernel functions.
Table 4. SVM kernel functions.
Kernel FunctionExpression
Linear K x i , x j = x i x j
Polynomial K x i , x j = x i x j + c q
Radial Basis Function (RBF) K x i , x j = exp ( x i x j 2 2 g 2 )
Table 5. Specifications of the IMU used in the experiments.
Table 5. Specifications of the IMU used in the experiments.
AccelerationAngular Velocity
Acquisition Range±40 g±500°/s
Bias±0.02 g±0.15°/s
Table 6. Performance metrics for classifier.
Table 6. Performance metrics for classifier.
ParameterExpression
Accuracy A c c u r a c y = T P + T N T P + F N + F P + T N
Precision P r e c i s i o n = T P T P + F P
Recall R e c a l l = T P T P + F N
F1-score F 1 = 2 p r e c i s i o n r e c a l l p r e c i s i o n + r e c a l l
Table 7. Performance metrics of the classifier model.
Table 7. Performance metrics of the classifier model.
Performance MetricsLinearPolynomialRBF
Accuracy (%)92.4393.4595.35
Precision (%)92.0393.4795.63
Recall (%)92.4093.3595.35
F1-score (%)92.2393.4495.42
Table 8. Comparison of positioning performance of different algorithms.
Table 8. Comparison of positioning performance of different algorithms.
Assessment CriteriaFixedAdaptiveImproved MCSVM
The average absolute heading angle error (°)2.6632.3141.257
The average absolute position error (m)2.4162.1201.248
Disclaimer/Publisher’s Note: The statements, opinions and data contained in all publications are solely those of the individual author(s) and contributor(s) and not of MDPI and/or the editor(s). MDPI and/or the editor(s) disclaim responsibility for any injury to people or property resulting from any ideas, methods, instructions or products referred to in the content.

Share and Cite

MDPI and ACS Style

Ji, M.; Ren, R.; Zhang, W.; Xu, Q. Automatic Parkinson’s Disease Diagnosis with Wearable Sensor Technology for Medical Robot. Electronics 2024, 13, 2816. https://doi.org/10.3390/electronics13142816

AMA Style

Ji M, Ren R, Zhang W, Xu Q. Automatic Parkinson’s Disease Diagnosis with Wearable Sensor Technology for Medical Robot. Electronics. 2024; 13(14):2816. https://doi.org/10.3390/electronics13142816

Chicago/Turabian Style

Ji, Miaoxin, Renhao Ren, Wei Zhang, and Qiangwei Xu. 2024. "Automatic Parkinson’s Disease Diagnosis with Wearable Sensor Technology for Medical Robot" Electronics 13, no. 14: 2816. https://doi.org/10.3390/electronics13142816

APA Style

Ji, M., Ren, R., Zhang, W., & Xu, Q. (2024). Automatic Parkinson’s Disease Diagnosis with Wearable Sensor Technology for Medical Robot. Electronics, 13(14), 2816. https://doi.org/10.3390/electronics13142816

Note that from the first issue of 2016, this journal uses article numbers instead of page numbers. See further details here.

Article Metrics

Back to TopTop