Next Article in Journal
Real-Time Deep Learning Framework for Accurate Speed Estimation of Surrounding Vehicles in Autonomous Driving
Next Article in Special Issue
A Novel Multi-Scale Feature Enhancement U-Shaped Network for Pixel-Level Road Crack Segmentation
Previous Article in Journal
Virtualized Fault Injection Framework for ISO 26262-Compliant Digital Component Hardware Faults
 
 
Font Type:
Arial Georgia Verdana
Font Size:
Aa Aa Aa
Line Spacing:
Column Width:
Background:
Article

A Fault Identification Method of Hybrid HVDC System Based on Wavelet Packet Energy Spectrum and CNN

1
Economic and Technical Research Institute of State Grid Shanxi Electric Power Company, Taiyuan 030000, China
2
School of Electrical and Electronic Engineering, North China Electric Power University, Beijing 100000, China
3
State Grid Shanxi Electric Power Marketing Service Centre, Taiyuan 030032, China
4
State Grid Shanxi Electric Power Ultra High Voltage Substation Branch, Taiyuan 030032, China
5
College of Electrical and Power Engineering, Taiyuan University of Technology, Taiyuan 030024, China
*
Author to whom correspondence should be addressed.
Electronics 2024, 13(14), 2788; https://doi.org/10.3390/electronics13142788
Submission received: 29 May 2024 / Revised: 27 June 2024 / Accepted: 8 July 2024 / Published: 16 July 2024
(This article belongs to the Special Issue Emerging Technologies in Computational Intelligence)

Abstract

Aiming at the shortcomings of traditional fault identification methods in fault information acquisition, In the scenario of hybrid HVDC transmission system, a new fault identification method is proposed by using wavelet packet energy spectrum and convolutional neural network (CNN), which effectively solves the problem of complex fault feature extraction of hybrid HVDC transmission system. This method effectively improves the accuracy of fault identification. Firstly, tThe frequency-domain characteristics of the fault transient signal are extracted by wavelet packet transform, and the feature differences are reflected in the form of energy spectrum. Secondly, according to the extracted energy feature information, the order of fault line and fault type is identified by CNN. Finally, through example verification and algorithm comparison, it is concluded that, the mentioned model has a strong ability to identify faults, and has strong anti-noise interference and tolerance to transition resistance.

1. Introduction

In recent years, HVDC transmission technology has been continuously updated, which has brought opportunities for the development of new transmission systems. The hybrid high voltage direct current transmission system has gradually become the mainstream way of direct current transmission project with the advantages of long-distance transmission, low cost, and avoiding commutation failure, such as Wudongde, Kunliulong, and Baihetan-Jiangsu direct current transmission project of China in recent years [1,2,3].
In the process of long-distance transmission, complex and changeable geographical conditions and environmental factors will affect the operation of transmission lines. Fault identification is an important auxiliary tool for relay protection. Once the transmission system is facing a fault, this method can quickly determine the fault nature from the massive fault information, and the influence of uncertain factors on fault diagnosis can be eliminated [4].
However, the diversification and complexity of transmission scenarios at this stage pose new challenges to the fault identification of hybrid HVDC transmission projects. It is necessary to rely on intelligent and efficient fault identification methods to help dispatchers quickly determine fault lines and types. Then, Take the appropriate measures to eliminate faults as quickly as possible, and ensure that the system quickly and reliably returns to normal operation.
Nowadays, many scholars are committed to studying new fault identification methods in hybrid HVDC transmission scenarios to be applied to the dispatching operation and maintenance of practical projects. At present, fault identification methods mainly involve Bayesian network, Petri net, rough set, and artificial neural network. In Ref. [5], the fault area identification model of the transmission system is constructed by combining the Bayesian network and fault judgment decision table, which effectively reduces the influence of inaccurate fault information on diagnosis. Ref. [6] used Bayesian network to build a fault identification model. The model is clearly and intuitively explained through probabilistic inference and evidence sensitivity analysis. However, Bayesian networks are prone to problems such as modeling difficulties and poor scalability in the face of complex power grids. In Ref. [7], the probabilistic Petri net is used to establish the corresponding diagnosis model for the multi-type faults of the transmission system, which effectively avoids the redundant links in the diagnosis process and realizes the efficient and accurate multi-type fault diagnosis. In Ref. [8], In order to improve the fault identification effect, this paper uses Petri network to integrate multi-source information, which effectively copes the problem of inaccurate identification of single power fault information and susceptibility to interference. Ref. [9] used rough set theory to screen the features of fault data and realized accurate identification of fault area under the premise of retaining key information. In Ref. [10], the features extracted from the instantaneous current signal are sent to the support vector machine (SVM) classifier for fault classification, which realizes the accurate identification of fault classification However, the method has some limitations in identification stability. In Ref. [11], a fault type identification method based on a multi-layer perceptron neural network (MLP-ANN) is proposed. By setting multi-layer perceptron, the fault feature extraction ability is significantly improved, and the fault condition of complex transmission systems is effectively dealt with. In order to enhance the accuracy of ground fault detection results, a new fault identification method is obtained by improving the artificial neural network in Refs. [12,13,14,15]. However, at present, there are still some obstacles in the artificial neural network method, such as slow convergence speed and difficult processing of large sample data.
The above references use various methods to realize fault identification. Although it can achieve better identification results in small-scale transmission scenarios, it is difficult to adapt to complex large-scale transmission systems, and there are problems such as insufficient expansion capacity and difficulty in model construction. Therefore, it is of great practical significance to seek a high-efficiency and intelligent hybrid HVDC transmission line fault identification method for the actual transmission system operation and maintenance.
With the wide application of high-performance and large-capacity converters, the topology of the HVDC transmission system is becoming more and more complex, and the short-circuit fault characteristics show complex coupling characteristics due to the influence of line parameters and operation modes. As an important part of neural networks, deep neural network has good identification accuracy and fault tolerance, and can resist the comprehensive influence of system line parameters and external uncertainty factors. It has strong robustness, so it has attracted the attention of scholars in fault identification [16]. In order to improve the accuracy of fault diagnosis of ultra-high voltage DC system, a fault diagnosis method based on Gating Unit (GRU) was proposed in Ref. [17], which can reduce the complexity of the fault diagnosis process and obtain good results. Ref. [18] proposed a fault diagnosis method for transmission lines based on a neural network, which can effectively deal with the problem of difficult extraction of fault electrical characteristics of railway transmission lines. In view of the low accuracy of the existing HVDC transmission line fault identification, a transmission line fault identification method based on the combination of CNN and gated recurrent unit is proposed in Ref. [19], which effectively solves the problem of low sensitivity and difficulty in identifying high-resistance ground faults. The above references improve the accuracy of fault identification by improving the network model structure. However, the research on fault identification of hybrid HVDC transmission lines is not sufficient. Relying on the extraction ability of the neural network itself, it is difficult to obtain a great breakthrough in fault identification. It is necessary to combine the deep multi-dimensional features of fault data to conduct in-depth research on deep neural network fault identification technology [20].
In this paper, a new fault identification method is proposed by analyzing the characteristics of fault data from the perspectives of time domain and frequency domain, which provides technical help for assisting power grid dispatchers in fault detection and investigation. The main innovations are:
(1)
The energy difference of the fault signal is presented in the form of energy spectrum, and the time domain and frequency domain characteristics of the fault are effectively reflected through the change of wavelet packets, so as to mine the multi-level characteristics of fault information and improve the fault identification effect.
(2)
With the advantages of fast self-learning and self-adaptation of CNN, a hybrid HVDC transmission system fault identification model based on wavelet packet energy spectrum and CNN is constructed. The fast convergence is achieved by optimizing the network parameters, and the operation stability of the model is improved.
(3)
The topology of the hybrid HVDC transmission system is huge and complex. The method of sequential identification of fault lines and fault types can reliably distinguish the fault characteristics of the system and reduce the pressure of production scheduling operation and maintenance.
The rest of this paper is organized as follows: Section 2 presents the principle of fault feature extraction and fault identification. Section 3 draws the line fault identification method based on wavelet packet energy spectrum and CNN. Section 4 takes the hybrid HVDC transmission system as the research object, and analyzes the fault identification example of the proposed method. Section 5 is the conclusion.

2. Fault Feature Extraction and Fault Identification Principle

2.1. Fault Information of Hybrid HVDC Transmission System

At present, the topology of hybrid HVDC system is becoming more and more complex and large-scale. It is particularly important for the entire fault identification process to obtain accurate and complete fault information. Figure 1 shows the time series change process of fault information in the case of power grid fault. Figure 1 shows the time series change process of fault information in the case of power grid fault. Changes in system faults are first reflected in the electrical quantity signal. Then the protection control device is started because the electrical quantity exceeds the preset threshold. Finally, the tripping signal is sent to make the circuit breaker trip and isolate the fault [21].
From the above time series analysis, it can be seen that the operation state of the power grid is mainly characterized by electrical quantities and switching quantities. The protection starting signal and the switch action signal both act after the electrical quantity changes. At the same time, the switch information content is small, which is not enough to fully reflect the fault characteristics. Therefore, in the process of fault diagnosis of a hybrid HVDC transmission system, the voltage and current at the outlet of the converter station are used as input to realize the identification of fault line and fault type.

2.2. Fault Feature Extraction of Wavelet Packet Energy Spectrum

Wavelet technology has the advantages of multi-resolution characteristics and multi-dimensional representation capabilities. It has been widely used in the field of fault identification. However, wavelet technology only decomposes the low-frequency band part in the process of decomposing the signal and fails to divide the high-frequency band part in detail, which leads to the problem of ‘high frequency and low resolution of the signal’.
Under different fault types of DC lines, there are differences in the spectrum of transient signals of electrical quantities. There are significant differences in the spectral distribution of system short-circuit faults, mainly due to the different frequency fluctuations and the degree of disorder [22]. Therefore, the spectrum distribution can reflect the difference in fault types. In order to obtain important fault features, the wavelet packet analysis method is introduced. This method is developed on the basis of wavelet analysis, which can divide the signal without redundancy and fully extract the high-frequency detail signal. The following will further explain the definition of wavelet packet and wavelet packet operation.
(1)
Definition of wavelet packet
Known scale function ϕ ( t ) and wavelet function ψ ( t ) , the relationship between them is as follows:
ϕ ( t ) = 2 k h k ϕ ( 2 t k ) ψ ( t ) = 2 k g k ϕ ( 2 t k ) k Z
where h k and g k are the low-pass and high-pass filter coefficients respectively, and k is the serial number of the decomposition node.
Substitute into formula u 0 ( t ) = ϕ ( t ) , u 1 ( t ) = ψ ( t ) , the following recursive relationship can be obtained:
u 2 n ( t ) = 2 k h k u n ( 2 t k ) u 2 n + 1 ( t ) = 2 k g k u n ( 2 t k ) k Z
It can be known from the above equation, family of functions { u n ( t ) } n Z is the wavelet packet determined by ϕ ( t ) . The function family is composed of subspaces of two-scale orthogonal functions.
(2)
Wavelet packet operation
The wavelet packet operation consists of two steps: decomposition and reconstruction [23]. Wavelet packet decomposition orthogonally decomposes the signal into several frequency bands at different scales. { d l j , n } is decomposed into { d k j + 1 , 2 n } and { d k j + 1 , 2 n + 1 } . The decomposition process is shown in Figure 2. As can be seen from the figure, it is possible to extract detailed signals from the high-frequency part and improve the resolution of the high-frequency band. The specific expression is as follows:
d k j + 1 , 2 n = l h ( 2 l k ) d l j , n d k j + 1 , 2 n + 1 = l g ( 2 l k ) d l j , n
The wavelet packet reconstruction object is a relatively important frequency band in the decomposition sequence, so the reconstructed signal frequency band is simpler than the original signal, but the signal length does not change. Specifically, { d k j + 1 , 2 n } and { d k j + 1 , 2 n + 1 } are traced back to { d l j , n } :
d l j , n = k [ h ( l 2 k ) d k j + 1 , 2 n + g ( l 2 k ) d k j + 1 , 2 n + 1 ]
It can be known from the wavelet packet operation process that the wavelet packet technology can adapt to the signal characteristics and obtain the frequency band matching its spectrum distribution, so as to realize the effective extraction of features.
As mentioned above, wavelet packet technology can slice fault information into multiple frequency bands for comparative analysis. Under the influence of a short-circuit pulse current, the energy of the line changes significantly. In addition, the energy characteristics of each frequency band will be different [24,25]. Therefore, the difference in the energy distribution of the frequency bands can significantly reflect the fault characteristics.
Each frequency band in the energy spectrum presents the characteristics of orthogonality and independence, and the total energy of all frequency band signals is constant, which satisfies the law of conservation of energy.
Suppose that the sampling length of the discrete signal x k , m ( i ) is N, the energy of the signal can be expressed as:
E n ( x k , m ( i ) ) = 1 N i = 1 N ( x k , m ( i ) ) 2
where k is the number of decompositions, and m is the position serial number of the decomposition frequency band ( m = 0 , 1 , , 2 k 1 ) .
According to the energy conservation theorem, there are the following relations:
E n ( x ( t ) ) = m = 0 2 k 1 E n ( x k , m ( t ) )
The energy percentage of the frequency band signal m is shown in Equation (7). The sum of energy of each frequency band is 1. The expression is shown in Equation (8).
E n ( m ) = E n ( x k , m ( i ) ) E n ( x ( t ) )
m = 0 2 k 1 E n ( m ) = 1
The short-circuit fault signal of the transmission line is divided into multiple frequency bands through wavelet packets, and the energy distribution of the frequency band fully reflects the characteristics of short-circuit faults. Therefore, the energy spectrum can effectively distinguish different fault scenarios, and it is feasible to analyze the short-circuit fault of transmission lines.

2.3. Fault Identification Method Based on CNN

The transmission line fault identification studied in this paper needs to determine the input data. The fault nature mainly involves two parts: the fault line and the fault type.
The network structure of CNN for fault identification is shown in Figure 3, which can be divided into two networks, as shown in the figure below.
(1)
Fault feature extraction network
The fault feature extraction network mainly includes three network layers: input layer, convolution layer, and pooling layer [26].
Input layer: CNN is a deep training model in supervised learning scenarios. The input is the wavelet packet energy spectrum of the fault signal, and the output target is the corresponding fault property. Here, the output target is converted to ‘one-hot coding’, and ‘1’ is generated only at the corresponding class node on the zero vector with the same length as the number of fault classes. The input and output targets together constitute the sample of fault identification.
In order to eliminate the influence of data dimension on model training, the sample set needs to be normalized by Min-Max. The transformation function is as follows:
x = x x min x max x min
where x represents the data after the normalized transformation of the acquisition amount, x denotes the original data collected, x min , x max represent the minimum and maximum values in the sample data.
The matrix in the upper left corner is the input matrix, which in fault identification is the data analysed by wavelet packet energy spectrum. The convolution kernel performs inner product operation with the corresponding position of the input matrix by sliding sharing, this process is the extraction process of fault feature information, when the 2 × 2 convolution kernel traverses the input matrix, it will get the feature mapping map, this mapping can reflect the spatial hierarchical structure and local features in the input data. The convolution operation process is shown in Figure 4.
The extraction of fault features by the convolution layer is affected by many factors. In order to design a network structure suitable for fault identification of a hybrid HVDC transmission system, confirming the relationship between the input 3D matrix size h 1 × w 1 × d 1 is an important part of this process, convolution kernel size a × b , convolution kernel number K, sliding step size S, and output matrix size h 2 × w 2 × d 2 . The relationship is as follows:
h 2 = ( h 1 a ) / S + 1 w 2 = ( w 1 b ) / S + 1 d 2 = K
The convolution operation obtains the output feature map by completing the linear activation response of the input and further extracts the fault features by using the nonlinear activation. In order to alleviate the phenomenon of network gradient dissipation and make the expression of network operation sparse, the activation function adopts the Rectified Linear Unit (ReLU). The activation function is as follows. By rewriting the value less than 0 to 0, the feature map is sparse and the extraction of related features is realized [27].
f ( x ) = max ( 0 , x )
Pooling layer: The pooling process is to merge the adjacent elements of the convolutional feature map into a single representative value. Selecting the number of merged elements is the key process of the grid fault identification training model. Pooling can reduce the size of the fault feature map, thereby reducing the size of the network parameters. It can reduce data processing time, reduce computational costs, and reduce overfitting. In addition, the application of the pooling layer can also enhance the adaptability and fault tolerance of the fault identification model.
At present, the pooling operations applied to the CNN model include mean pooling, maximum pooling, and random pooling. The three pooling effects are shown in Figure 5. The maximum pooling method can resist the influence of noise interference to a certain extent according to the selection of the maximum value in the region, so the fault identification adopts the maximum pooling method.
The fault feature extraction network transmits the fault features extracted from the input samples to the fault classification network through multi-layer convolution pooling and then completes the classification output by its operation.
(2)
Fault Classification Network
The fault classification network transforms the output features into a linear fully connected structure. In order to make the fault classification network pay attention to the correlation between the overall information of the input layer and the output nodes, the softmax function is used to classify the fault features [28]. The expressions and conditions are as follows:
y i = φ ( υ i ) = e υ i e υ 1 + e υ 2 + e υ 3 + + e υ M = e υ i k = 1 M e υ k
Equation (13) takes into account the relative size of each output value and sets the sum of the output values to be equal to 1, which is helpful to present a multi-classification neural network.
φ ( υ 1 ) + φ ( υ 2 ) + φ ( υ 3 ) + + φ ( υ M ) = 1
where υ i is the weighted sum of the output node i, and M is the number of output nodes.
In summary, according to the operating characteristics of the hybrid HVDC transmission system, the fault feature extraction and classification model based on CNN can fully mine the multi-dimensional fault characteristics of the transmission line fault data, which is is beneficial to obtain a significant fault identification effect.

3. Fault Identification Method Based on Wavelet Packet Energy Spectrum and CNN

The topology of a hybrid HVDC transmission system is becoming more and more complex, and the electrical characteristics are closely coupled. It is difficult for conventional fault identification methods to effectively extract fault characteristics. Therefore, this paper uses energy spectroscopy and CNN as important tools for fault identification Wavelet packet energy spectrum can fully extract the frequency domain information of fault signal. CNN has excellent self-adaptive and self-learning ability, which can speed up network training and improve the accuracy of fault identification.
This method mainly includes two parts: fault signal energy feature extraction and CNN identification. In the first part, the single-ended current signal collected in batches is used as the input signal, and the energy is calculated according to the formula (5). The new feature vector matrix is constructed from the energy point of view, and the matrix is used as the input of the fault identification network. In the CNN identification part, the energy feature vector matrix processed by the energy spectrum is input into the fault identification network in turn to realize the order discrimination. The structure of the fault identification method is shown in Figure 6.
The specific identification steps of the method are as follows:
Step 1: The db6 wavelet basis function suitable for fault feature extraction is used to decompose and reconstruct the original fault data of the hybrid DC transmission system. The number of decomposition layers is determined according to the complexity of the fault data, and the wavelet packet decomposition tree structure is obtained.
Step 2: According to the 2 N datasets of the sub-band at the end of the decomposition tree structure, the wavelet packet energy E 1 , E 2 , …, E j is obtained. And j represents the number of frequency bands contained in the last layer of wavelet packet decomposition, j = 1, 2, 4, …, 2N. The wavelet packet energy can be expressed as:
E j = S j ( t ) 2 d t = k = 1 n x j ( k ) 2
where x j is the discrete data obtained by batch collection, n represents the number of sampling points in the process of batch acquisition of input data, S j ( t ) represents the original input electrical data of transmission line short-circuit fault, E j represents the wavelet packet energy of the node j in the last layer of wavelet packet decomposition.
Step 3: Construct energy feature vector. The hybrid HVDC transmission system has a complex structure, and the energy distribution of the frequency band can significantly reflect the fault nature. Therefore, the fault nature can be represented by constructing an energy feature vector. The expression is as follows:
E j , m = E j E j , min E j , max E j , min , j = 1 , 2 , , 2 N
T = E 1 , m , E 1 , m , E 2 , m , , E j , m / i = 1 j E i
where E j is the energy value of the band j of the last layer in the wavelet packet reconstruction, E j , min and E j , max represent the minimum and maximum energy in each frequency band of the last layer, E j , m represents the normalized processing result of the energy value of the band j of the last layer, T represents the energy feature vector of a single sample.
Step 4: Data diversity processing. The normalized data is divided into training set data and test set data according to a specific proportion and input into the fault identification network.
Step 5: Network parameter setting and model training. By optimizing the network structure and hyperparameters of fault line identification, and training the model according to the training set data, the best fault line identification network model is finally obtained. Similarly, the optimal fault type identification network model can be obtained.
Step 6: Short-circuit fault identification. Considering that the actual transmission system contains multiple lines, it is necessary to first determine the fault line in order to further identify the fault type of the line. Therefore, the data is input into the fault line identification network model to identify the fault line, and then the sample data is input into the corresponding fault type identification network according to the identification result of the fault line.
It is difficult to effectively evaluate the fault identification results from a single aspect, so it is necessary to evaluate the identification effect of the system through multiple indicators such as accuracy, rapidity, reliability and stability, five indicators of fault line identification accuracy, fault type identification accuracy, identification time, tolerance to transition resistance and anti-noise interference ability are set to measure the identification results of the network model. In order to ensure the reliability of the indicators in the fault identification process, the results are obtained by taking the average value of 10 fault identifications. The following will be based on the fault identification requirements of the hybrid HVDC transmission system.
(1)
Accuracy of fault identification
The accuracy of fault identification is an important requirement for the fault identification performance. The classification and diagnosis effect of the network model is characterized by the identification accuracy of fault lines and fault types. The expression of fault identification accuracy is as follows:
α = n N × 100 %
(2)
Fastness of fault identification
In actual engineering, the rapidity of fault identification affects the time it takes for the system to return to normal operation.this paper obtains the average identification time of a single fault sample by processing the identification time T of the fault test set sample. The speed of the network model identification is reflected by identification duration of a single fault sample. The expression is:
t = T N
(3)
Reliability and stability of fault identification
Considering that the reliability and stability of fault identification are the key factors affecting the long-term application of the network model, it is necessary to evaluate the performance of the above two aspects. Because noise interference and transition resistance will lead to the change of fault electrical quantity, the fault identification is unstable. Therefore, this paper analyzes the accuracy of fault identification through the fault conditions and noise interference conditions of different transition resistances. The reliability and stability of the fault identification network are reflected by the change degree of the accuracy index.

4. Case Study

4.1. Hybrid HVDC Transmission System Structure

The research object of this paper is the ±800 kV China Kunliulong hybrid HVDC transmission system, and the topology is shown in Figure 7. The total transmission capacity of the system is 800 MW, and the total transmission distance is 1489 km.
The hybrid three-terminal HVDC transmission system is wired as a symmetrical true bipolar structure. The sending end converter station 1 in Yunnan, connected to a large energy base, for the whole line to deliver power, mainly using two groups of 12 pulsating converters in series, and in its AC side is equipped with AC filters and reactive power compensation equipment, etc., the DC side is equipped with DC filters and flat wave reactors; converter station 2 in Guangxi and converter station 3 in Guangdong as the receiving end of the converter station feeds into the load centre, the use of the MMC consisting of a half-bridge submodule cascaded with the full-bridge submodule, and in the direction of the DC exit of the converter station is equipped with a flat-wave reactor.
In this example, the amount of power flow from the AC bus and the outlet of the converter station in the hybrid DC transmission system is collected as a set of inputs to identify the nature of the line faults, and the number of columns of each input matrix is 5. The width of the sampling window is 5ms, and the frequency of the sampling is set to 20 kHz, and the number of the input rows obtained from this is 5   ms × 20   kHz = 100 . Therefore, the size of the input matrix is [100,5]. A total of 5100 sets of fault samples with different fault locations and different fault types (including transition resistors) are collected through batch simulation, and their specific fault samples are shown in Table 1.
In this paper, the network model is built by using the deep learning toolbox based on Matlab 2021b (MathWorks, Natick, MA, USA). The PC is configured as Intel Core (TM) i7-11370HCPU @ 3.30 GHz (Intel, Santa Clara, CA, USA) and RTX 3050 GPU (NVIDIA, Santa Clara, CA, USA).

4.2. Model Input and Network Parameters

The wavelet packet energy spectrum method is used to extract the energy features of the collected short circuit fault sample data. In order to visualise the energy distribution characteristics of different faults, the first 16 frequency bands of the fault samples are decomposed using 8-layer wavelet packets and compared, and its main parameters are as follows:
(1)
The length of the sample is 300, and the sampling frequency is 50 kHz, and the Nyquist frequency is 25 kHz from the Shannon sampling, because the highest frequency of the original signal is 50 Hz, this paper decomposes the short-circuit fault signal into the 8th layer, with a total of 28 wavelet packet sub-bands, and Each sub-bandwidth is 97.7 Hz (25,000/256 Hz).
(2)
The wavelet packet basis function selects the db6 function, which is widely used in signal processing, to better analyse the time-frequency local analysis of a large amount of information in different frequency bands.
(3)
In order to achieve effective elimination of noise interference, this paper introduces Shannon information entropy as an adjustment parameter in the wavelet packet basis function, so as to improve the denoising effect.
The samples of different faulted lines are decomposed by 8-layer wavelet packet to obtain Figure 8, in which the energy distributions of DC and AC lines are more different, while the energy distributions of two DC lines are more similar. And the two DC lines can still be effectively distinguished based on the energy characteristics due to the differences in parameters. Therefore, the wavelet packet energy spectrum can fully extract the energy characteristics of different faults.
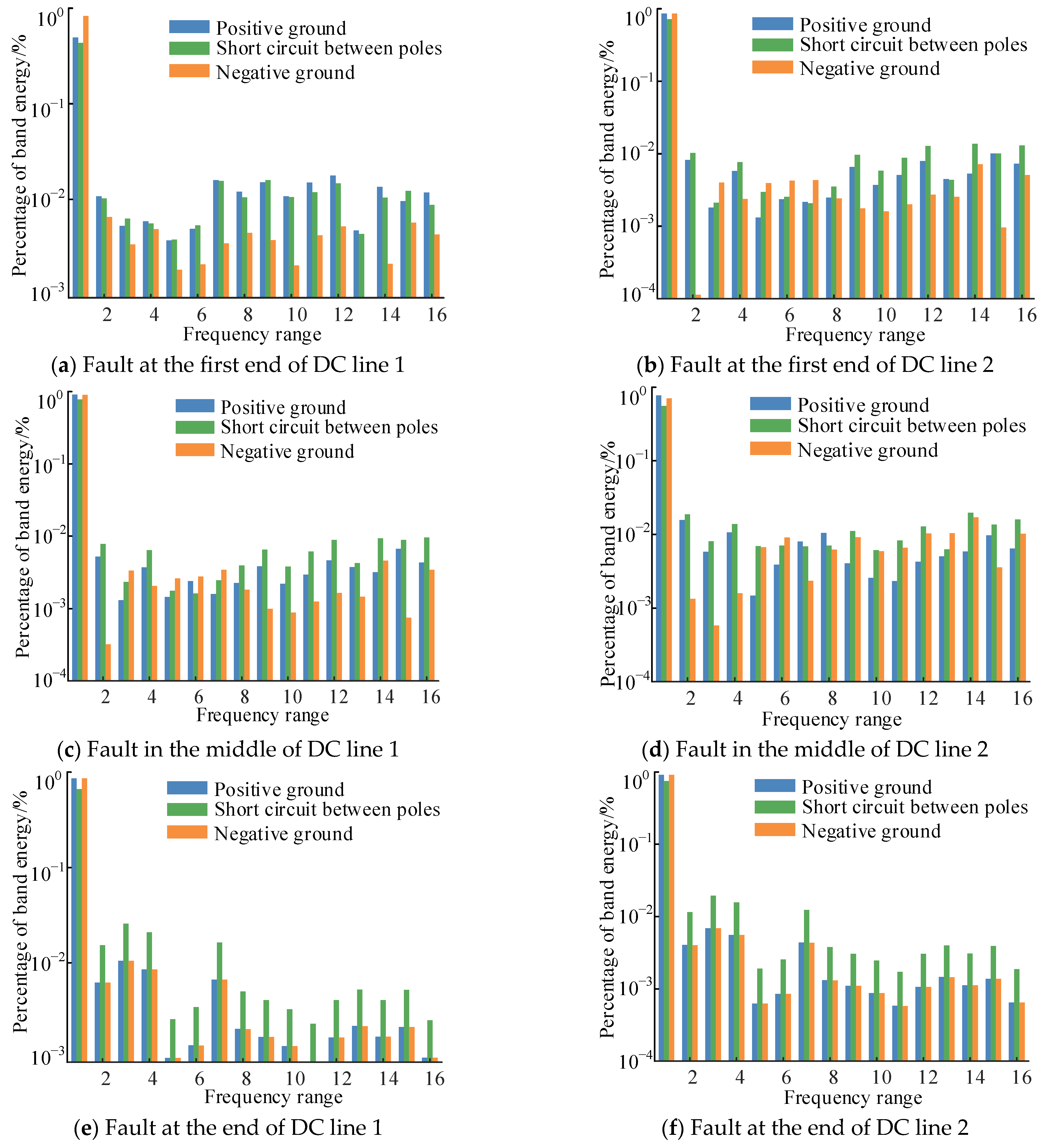
The wavelet packet energy spectrum distributions of two DC lines with different types of faults at different locations are shown in Figure 9. When the fault location is different, the energy spectrum distribution of various fault types will change; when in the same fault location, the energy distribution of positive-pole grounding fault, positive-negative inter-pole short-circuit fault and negative-pole grounding fault is different, which is helpful for identifying the fault types, but in the case of the fault in the first section, the difference in the distribution of the energy spectra is small, which makes it difficult to accurately identify the fault types. In general, the positive and negative inter-pole short circuit faults occupy higher energy in the energy spectrum distribution, and the positive and negative ground faults are the same as the single-pole ground faults, so it is difficult to identify the fault type from the perspective of the energy value, and thus it is necessary to dig deep into the characteristics of the energy distribution to accurately identify the type of fault.
Deep learning is able to deeply extract the multi-dimensional frequency domain features, in which the CNN network has better performance in multi-dimensional fault feature extraction by virtue of the multi-layer convolutional pooling structure and weight sharing, which is conducive to achieving accurate and fast identification of different fault lines and fault types, so CNN is used to deeply extract the multi-dimensional frequency domain features extracted from the wavelet packet energy spectrum.
In order to achieve the fastness, accuracy and reliability requirements of the fault recognition model, a CNN network model applicable to the algorithmic case needs to be established. In the selection process of hyperparameters of the network model, the cross-entropy minimisation is taken as the goal, and thus the CNN-based fault recognition optimisation network is determined, and the optimised model parameters are shown in Table 2, the number in “[]” represents the step size.
In the process of network model training, the ratio of the number of training sets and test sets has an important impact on the classification effect of fault recognition. When the training set is too small, the network model is difficult to be fully trained, and the fault recognition effect is poor; when the test set is too small, it is difficult to objectively test the training effect of the network model. On the basis of strict control of variables, the subset ratio is set to 6:4, 7:3 and 8:2, respectively, to identify fault line identification and fault types, to explore the gap between the identification effect of network models under different subset ratios, the specific results are shown in Table 3, and the analysis reveals that the network model has the best identification effect when the training set and the test set are 7:3.

4.3. Fault Identification Effect

The fault identification of a hybrid HVDC transmission system mainly includes fault line and fault type identification. The following will verify the accuracy and effectiveness of the fault identification model based on wavelet packet energy spectrum-CNN from these two aspects.
(1)
Accuracy analysis of fault line identification
In the process of fault line identification, the dimension reduction visualization analysis method t-SNE is used to analyze the identification process, and the data feature extraction is shown in Figure 10.
From the dimensionality reduction visualization results of the original data in Figure 10a and the data after network training in Figure 10b, it can be found that there is a cross-overlapping phenomenon in the original fault line data, such as between DC line 1 and DC line 2, which is due to the similarity of DC line fault characteristics. On the whole, the fault data of the three lines are affected by the fault type and fault location, and the sample distribution is relatively scattered, so it is difficult to analyze the original fault data intuitively. The line features processed by the network model are obviously clustered, the fault features between the three lines have been decoupled, and there is no cross-overlap of line data. It shows that the network model proposed in this paper has good results in identifying faulty lines.
Through the feature extraction of fault line data, the results of fault line identification of the hybrid HVDC transmission system are shown in Table 4. According to the identification results, it can be seen that the faulty line identification model proposed in this paper is able to accurately identify the faulty line, the identification accuracy rate can reach 100%, and can produce excellent results without misdiagnosis. It fully meets the requirements of practical engineering for fault line identification and verifies the effectiveness and feasibility of the proposed fault line identification network.
(2)
Accuracy analysis of fault type identification
In order to clearly and intuitively demonstrate the effectiveness of the proposed fault identification method, the identification process of fault types is analysed using the t-SNE method and the extraction process of data features is given. The identification process of fault types is analysed by the t-SNE method and the extraction of data features is shown in 11.
Figure 11a,b represent the raw fault data and the visualisation results after fault type identification for the first section of the DC line, respectively. The samples belonging to various fault types in the raw fault data in Figure 11a are scattered. From the analysis of the fault characteristics of these fault types, the fault characteristics of the original data show coupling characteristics, and feature extraction is needed to separate the fault types. From Figure 11b to see the recognition effect, the fault type recognition model proposed in this paper can effectively distinguish three types of faults, indicating that the model fully grasp the unique characteristics of various fault types, can effectively and accurately identify fault types. Through the t-SNE visualisation algorithm, the whole recognition process of the method is clearly demonstrated in the form of a two-dimensional image, which to a certain extent verifies the recognition effect of the method proposed in this paper.
After determining the fault line, the fault type data feature extraction is used to further identify the short-circuit fault scene of the hybrid HVDC transmission system to verify the diagnostic effect of the network model. The fault type identification results are shown in Table 5.
Through Table 5, it can be seen that the accuracy of fault type identification of the model can reach 100% in DC lines, which meets the accuracy requirements of fault identification of hybrid HVDC lines. The accuracy rate in the AC line is only 95.93%, mainly due to the small number of fault samples in the AC line and the large number of fault types to be identified, which makes it difficult for the network model to fully learn the feature expression of various fault types, so that the identification effect of fault types is not ideal.

4.4. Anti-Interference Ability Analysis

(1)
Analysis of the ability to withstand transition resistance
The data set includes 10 different transition resistance fault cases involving 0.01 Ω, 40 Ω, 80 Ω, 120 Ω, 160 Ω, 200 Ω, 240 Ω, 280 Ω, 320 Ω and 360 Ω. From the identification effect can be seen, the fault identification method proposed in this paper in a variety of transition resistance faults within the situation can still accurately identify the fault line and fault type, and identification accuracy are 100%, indicating that the fault identification method proposed in this paper to withstand the transition resistance ability is very strong.
(2)
Analysis of anti-noise interference ability
In order to verify the stability and reliability of the fault identification model proposed in this paper, three groups of noise are set as interference, respectively 30 dB, 35 dB, 40 dB. In the case of different degrees of noise interference, the accuracy of the fault identification method proposed in this paper for the identification of faulted lines and fault types decreases, which indicates that the extraction of fault features decreases when subjected to noise interference. The results of fault identification under different degrees of noise interference are shown in Table 6, from which it can be learnt that the fault identification method proposed in this paper can still have a high accuracy rate under noise interference, has a better ability to resist noise interference, and has application value for the long-term stable operation and fault investigation of the hybrid DC transmission system.

4.5. Algorithm Performance Comparison

In order to verify the advantages of the fault identification model constructed in this paper in hybrid DC transmission system, the CNN fault identification method incorporating wavelet packet energy spectrum is compared and analysed with the existing traditional machine learning and deep learning methods in this section. There are mainly five kinds of Support Vector Machine (SVM), BP neural network, Artificial Neural Network (ANN) and Stacked Sparse Auto-Encoder (SSAE) and CNN, and their network The parameters are set as follows: SVM adopts sigmoid as the kernel function; the number of hidden layers of BP neural network is set to 513; artificial neural network is set to have two hidden layers, and the number of neurons is 50 and 3, respectively; the SSAE method is set to have a total of two coding layers, and the number of neurons is 70 and 30, respectively; and the network structure and parameters of CNN are set with reference to the previous section. The fault identification results based on the above methods are shown in Table 7.
It can be seen from Table 7 that in terms of the accuracy of hybrid HVDC line fault identification, the CNN structure combined with wavelet packet energy spectrum has outstanding advantages over other algorithms, and the accuracy of fault line and fault type identification can reach 100%. In terms of identification speed, ANN, SVM, BP neural network, and SSAE with simple structure perform better in identification duration. The identification duration of the proposed method is longer, but it is generally less than 0.2 ms, which can quickly identify the nature of line faults.
In order to clearly and intuitively reflect the identification effect of each fault identification network, two indicators of identification accuracy and identification rapidity are set to measure the network model. The fault identification effect of each network model is shown in Figure 12.

5. Conclusions

In this paper, we build on the complex grid scenario of hybrid high-voltage DC transmission system for research, and propose a fault identification method combining wavelet packet energy spectrum and CNN. The wavelet packet energy spectrum is used as a tool for data processing, and the fault signal is processed into more streamlined and intuitive energy information in the frequency domain perspective, and then the CNN network’s advantage in information extraction is used to identify the key information of the fault line and type from the energy information, as shown in the example verification:
(1)
The wavelet packet energy spectrum method can effectively extract the rich frequency domain information in the fault data of transmission lines and can reflect the difference in the energy distribution of different lines and different fault types.
(2)
The fault identification method based on wavelet packet energy spectrum and CNN proposed in this paper shows excellent identification effect in the fault scenario of a hybrid HVDC transmission system. By optimizing the CNN structure and parameters, the accurate identification of fault lines and fault types is realized, and the method also has strong resistance to transition resistance and anti-noise interference ability.
(3)
The proposed method is compared with other algorithms, including traditional BP neural network, SVM, ANN, SSAE, CNN, and other deep learning methods. By comparing the identification accuracy and identification duration of each method in fault line and fault type, the algorithm proposed in this paper has significant advantages in identification accuracy, and the identification duration can also meet the actual engineering requirements.
(4)
The topology of the hybrid DC transmission system grid is complex, and there are differences in the enhancement effects of different CNN assistive technologies on fault identification performance, so it is particularly important to explore signal processing and fault feature extraction methods suitable for different scenarios. The next step will be to study the new auxiliary technology in depth, to obtain the fault feature data with obvious feature distribution, to improve the fault identification performance in different scenarios.

Author Contributions

All authors contributed to the research in the paper. Conceptualization, Y.L. and H.Z. (Haibo Zhao); Data curation, Z.S. and J.Z.; Formal analysis, J.Z., Z.S. and Y.W. (Yao Wang); Funding acquisition, Y.L.; Investigation, J.Z.; Methodology, J.Z.; Resources, J.Z.; Software, Z.S. and Y.L.; Supervision, Y.X., X.Z. and Y.W. (Yao Wang); Validation, Y.W. (Yao Wang); Visualization, H.Z. (Haibo Zhao); Writing—original draft, Z.S. and Y.L.; Writing—review & editing, H.Z. (Haixiao Zhu) and Y.W. (Yujin Wang). All authors have read and agreed to the published version of the manuscript.

Funding

This research received no external funding.

Data Availability Statement

The original contributions presented in the study are included in the article, further inquiries can be directed to the corresponding author.

Conflicts of Interest

The authors declare no conflict of interest.

References

  1. Liu, X.; Liu, Y.; Liu, J.; Xiang, Y.; Yuan, X. Optimal planning of AC-DC hybrid transmission and distributed energy resource system: Review and prospects. CSEE J. Power Energy Syst. 2019, 5, 409–422. [Google Scholar] [CrossRef]
  2. Mehdi, A.; Kim, C.H.; Hussain, A.; Kim, J.S.; Hassan, S.J.U. A Comprehensive Review of Auto-Reclosing Schemes in AC, DC, and Hybrid (AC/DC) Transmission Lines. IEEE Access 2021, 9, 74325–74342. [Google Scholar] [CrossRef]
  3. Liu, G.; Li, Y. Current Status and Key Issues of HVDC Transmission Research: A Brief Review. In Proceedings of the 2021 7th International Symposium on Mechatronics and Industrial Informatics (ISMII), Zhuhai, China, 22–24 January 2021; pp. 16–19. [Google Scholar]
  4. Chen, Y.Q.; Fink, O.; Sansavini, G. Combined Fault Location and Classification for Power Transmission Lines Fault Diagnosis With Integrated Feature Extraction. IEEE Trans. Ind. Electron. 2018, 65, 561–569. [Google Scholar] [CrossRef]
  5. Yang, Q.; Yang, X.; Zhu, X.; Xiang, B.; Tian, F.; Yi, J. A Fault Diagnosis Method of Transmission Network Based on Bayesian Network and Fault Decision Table. In Proceedings of the 2020 5th Asia Conference on Power and Electrical Engineering (ACPEE), Chengdu, China, 4–7 June 2020; pp. 42–46. [Google Scholar]
  6. Zhu, J.; Mu, L.; Ma, D.; Zhang, X. Faulty Line Identification Method Based on Bayesian Optimization for Distribution Network. IEEE Access 2021, 9, 83175–83184. [Google Scholar] [CrossRef]
  7. Qu, L.P.; Liu, C.J.; Lu, Z.; He, C.L. Classified Fault Diagnosis of Power Grid Based on Probabilistic Petri Net. In Proceedings of the 2019 18th International Symposium on Distributed Computing and Applications for Business Engineering and Science (DCABES), Wuhan, China, 8–10 November 2019; pp. 234–237. [Google Scholar]
  8. Lu, J.; Zhao, R.; Li, B.; Li, H.; Tan, H. Intelligent Fault Diagnosis Method of Power Grid Based on Multi-source Feature Fusion. In Proceedings of the 2021 IEEE 5th Conference on Energy Internet and Energy System Integration (EI2), Taiyuan, China, 22–24 October 2021; pp. 1794–1797. [Google Scholar]
  9. Gao, Y.; Long, C.; Zhang, H.; Jiang, S.; Gao, H. A Highly Fault-Tolerant Distribution Network Fault Diagnosis Method Based on KMP Algorithm and Rough Set. In Proceedings of the 2022 IEEE 6th Conference on Energy Internet and Energy System Integration (EI2), Chengdu, China, 11–13 November 2022; pp. 1603–1607. [Google Scholar]
  10. Kothari, N.H.; Tripathi, P.; Bhalja, B.R.; Pandya, V. Support Vector Machine Based Fault Classification and Faulty Section identification Scheme in Thyristor Controlled Series Compensated Transmission Lines. In Proceedings of the 2020 IEEE-HYDCON, Hyderabad, India, 11–12 September 2020; pp. 1–5. [Google Scholar]
  11. Bhadra, A.B.; Hamidi, R.J. A Multi-Layer Perceptron Neural Network for Fault Type Identification for Transmission Lines. In Proceedings of the SoutheastCon 2023, Orlando, FL, USA, 1–16 April 2023; pp. 198–203. [Google Scholar]
  12. Dixit, S.; Panigrahi, B.K.; Shukla, S.P. Classification of Line to Ground Fault in Transmission Line Using Artificial Neural Network. In Proceedings of the 2022 International Conference on Futuristic Technologies (INCOFT), Belgaum, India, 25–27 November 2022; pp. 1–5. [Google Scholar]
  13. Farkhani, J.S.; Celık, O.; Ma, K.; Bak, C.L.; Chen, Z. VSC MT-HVDC Fault Identification Based on the VMD-TEO and Artificial Neural Network. In Proceedings of the 2023 2nd International Conference on Power Systems and Electrical Technology (PSET), Milan, Italy, 25–27 August 2023; pp. 219–224. [Google Scholar]
  14. Hameed, O.H.; Kutbay, U.; Rahebi, J.; Hardalaç, F.; Mahariq, I. Enhancing Fault Detection and Classification in MMC-HVDC Systems: Integrating Harris Hawks Optimization Algorithm with Machine Learning Methods. Int. Trans. Electr. Energy Syst. 2024, 2024, 6677830. [Google Scholar] [CrossRef]
  15. Hadaeghi, A.; Iliyaeifar, M.M.; Chirani, A.A. Artificial neural network-based fault location in terminal-hybrid high voltage direct current transmission lines. Int. J. Eng. 2023, 36, 215–225. [Google Scholar] [CrossRef]
  16. Kanwal, S.; Jiriwibhakorn, S. Artificial Intelligence based Faults Identification, Classification, and Localization Techniques in Transmission Lines-A Review. IEEE Lat. Am. Trans. 2023, 21, 1291–1305. [Google Scholar] [CrossRef]
  17. Ren, Y.; Yuan, S.; Cheng, G.; Zhao, Q.; Wang, L.; Liang, D.; Yuan, M. Fault Diagnosis of UHVDC Transmission System Based on Gated Recurrent Unit. In Proceedings of the 2023 Panda Forum on Power and Energy (PandaFPE), Chengdu, China, 27–30 April 2023; pp. 1792–1796. [Google Scholar]
  18. Liu, Q.; Liang, T.; Dinavahi, V. Real-Time Hierarchical Neural Network Based Fault Detection and Isolation for High-Speed Railway System Under Hybrid AC/DC Grid. IEEE Trans. Power Deliv. 2020, 35, 2853–2864. [Google Scholar] [CrossRef]
  19. Wang, L.; Zhao, Q.; Liang, D. Fault Diagnosis of UHVDC Transmission Line Based on Deep Neural Network. In Proceedings of the 2022 IEEE/IAS Industrial and Commercial Power System Asia (I&CPS Asia), Shanghai, China, 8–11 July 2022; pp. 445–450. [Google Scholar]
  20. Fan, X.; Pu, H.; Zhang, G. A Review of Artificial Intelligence Research in Transmission Line Fault Diagnosis. In Proceedings of the 2023 7th International Conference on Power and Energy Engineering (ICPEE), Chengdu, China, 22–24 December 2023; pp. 1–6. [Google Scholar]
  21. Gu, X.; Liu, D.; Sun, H. Acquisition of Power System Fault Diagnosis Information From SCADA System. Power Syst. Technol. 2012, 36, 64–70. [Google Scholar]
  22. Wang, L.; Sun, X.; Wang, B. Research on Protection Scheme of DC Line Fault in LCC-MMC Hybrid HVDC System. Proc. CSEE 2021, 41, 7339–7352. [Google Scholar]
  23. Wang, X.; Liu, Z.; Zhang, L.; Heath, W.P. Wavelet Package Energy Transmissibility Function and Its Application to Wind Turbine Blade Fault Detection. IEEE Trans. Ind. Electron. 2022, 69, 13597–13606. [Google Scholar] [CrossRef]
  24. Zhang, Y.; Liu, B.; Shi, Q. Energy Entropy Feature and Diagnosis of Partial Discharge Wavelet Packet in GIS Based on Support Vector Machine. In Proceedings of the 2020 12th IEEE PES Asia-Pacific Power and Energy Engineering Conference (APPEEC), Nanjing, China, 20–23 September 2020; pp. 1–5. [Google Scholar]
  25. Zhang, Y.; Yang, K.; Yang, F. Rotor fault diagnosis of induction motor based on wavelet packet energy analysis and signal fusion. In Proceedings of the Electrical Measurement & Instrumentation, Nanjing, China, 29–31 October 2021; pp. 1–9. [Google Scholar]
  26. Guo, L.; Yu, D.; He, H.; Zhan, Y.; Li, H. Fault Identification and Classification Method of Distribution Network with Distributed Generation Based on IHBF-CNN. In Proceedings of the 2023 8th Asia Conference on Power and Electrical Engineering (ACPEE), Tianjin, China, 14–16 April 2023; pp. 1869–1874. [Google Scholar]
  27. Swetapadma, A.; Shuvam, T.; Behera, N. A Novel Fault Identification Technique for Transmission Lines based on Spectral Entropy and One- Dimensional CNN. In Proceedings of the 2023 Fifth International Conference on Electrical, Computer and Communication Technologies (ICECCT), Erode, India, 22–24 February 2023; pp. 01–05. [Google Scholar]
  28. Li, X.; Li, P.; Zhang, Z.; Yin, J. CNN-LSTM-Based Fault Diagnosis and Adaptive Multichannel Fusion Calibration of Filament Current Sensor for Mass Spectrometer. IEEE Sens. J. 2024, 24, 2255–2269. [Google Scholar] [CrossRef]
Figure 1. The order in which signals occur in the event of a grid failure.
Figure 1. The order in which signals occur in the event of a grid failure.
Electronics 13 02788 g001
Figure 2. Schematic diagram of wavelet packet decomposition.
Figure 2. Schematic diagram of wavelet packet decomposition.
Electronics 13 02788 g002
Figure 3. The basic structure of a CNN fault diagnosis network.
Figure 3. The basic structure of a CNN fault diagnosis network.
Electronics 13 02788 g003
Figure 4. Schematic diagram of convolution operations.
Figure 4. Schematic diagram of convolution operations.
Electronics 13 02788 g004
Figure 5. Three ways to pool.
Figure 5. Three ways to pool.
Electronics 13 02788 g005
Figure 6. The overall flow of the fault identification method.
Figure 6. The overall flow of the fault identification method.
Electronics 13 02788 g006
Figure 7. The topology of hybrid three-terminal transmission HVDC system.
Figure 7. The topology of hybrid three-terminal transmission HVDC system.
Electronics 13 02788 g007
Figure 8. The distribution of energy spectra for different fault lines.
Figure 8. The distribution of energy spectra for different fault lines.
Electronics 13 02788 g008
Figure 9. Distribution of energy spectra for different fault types.
Figure 9. Distribution of energy spectra for different fault types.
Electronics 13 02788 g009
Figure 10. Visualization of fault line identification for (a) initial data distribution and (b) data distribution after training.
Figure 10. Visualization of fault line identification for (a) initial data distribution and (b) data distribution after training.
Electronics 13 02788 g010
Figure 11. Visualization of fault type identification for (a) initial data distribution and (b) data distribution after training.
Figure 11. Visualization of fault type identification for (a) initial data distribution and (b) data distribution after training.
Electronics 13 02788 g011
Figure 12. Fault identification performance for different methods.
Figure 12. Fault identification performance for different methods.
Electronics 13 02788 g012
Table 1. Case of the Failure Sample.
Table 1. Case of the Failure Sample.
Faulty LineType of FaultSample Size/Number of Individuals
First DC linePositive ground fault900
Positive and negative short-circuit fault900
Negative ground fault900
Second DC linePositive ground fault500
Positive and negative short-circuit fault500
Negative ground fault500
First AC lineSingle-phase grounded short-circuit fault270
Two phase short circuit fault270
Two-phase grounded and shorted fault270
Three-phase short-circuit fault90
Table 2. Optimization Parameters of CNN.
Table 2. Optimization Parameters of CNN.
StructureNetwork Parameter
Fault LineLine1 Fault TypeLine2 Fault TypeLine3 Fault Type
Input layer
2D convolution layer 15 × 5, 29, [1]3 × 4, 52, [1]3 × 5, 53, [1]7 × 5, 70, [1]
Maximum pooling layer 12 × 2, [2]2 × 2, [2]2 × 2, [2]2 × 2, [2]
2D convolution layer 23 × 4, 6, [1]3 × 2, 20, [1]3 × 3, 24, [1]6 × 3, 36, [1]
Maximum pooling layer 22 × 2, [2]2 × 2, [2]2 × 2, [2]2 × 2, [2]
Fully connected layer 1128128128128
Fully connected layer 233310
Learning rate0.0010.00330.0010.001
Table 3. Fault Identification Results at Different Diversity Scales.
Table 3. Fault Identification Results at Different Diversity Scales.
Proportion of DiversityIdentification Accuracy (%)/Identification Duration (ms)
Fault LineLine1 Fault Type
6:498.87/(5.756 × 10−2)98.43/(9.972 × 10−2)
7:399.41/(4.817 × 10−2)99.35/(6.342 × 10−2)
8:298.14/(8.843 × 10−2)97.96/(11.860 × 10−2)
Table 4. The Result of Faulty Line Identification.
Table 4. The Result of Faulty Line Identification.
Fault LineNumber of Test SamplesNumber of Misjudged SamplesIdentification Accuracy/%
DC line 18100100
DC line 24500100
AC line 12700100
Overall conditions15300100
Table 5. Fault Identification Effect of Other Lines.
Table 5. Fault Identification Effect of Other Lines.
Fault TypeNumber of Test SamplesNumber of Misjudged SamplesIdentification Accuracy/%
DC line 1Positive ground2700100
Short circuit between poles2700100
Negative ground2700100
Overall conditions8100100
DC line 2Positive ground1500100
Short circuit between poles1500100
Negative ground1500100
Overall conditions4500100
AC line 1Single-phase to ground fault810100
Phase short circuit81692.60
Interphase ground short circuit81495.06
Three-phase short circuit27198.77
Overall conditions2701195.93
Table 6. Fault Identification Effect under Noise Interference.
Table 6. Fault Identification Effect under Noise Interference.
Noise/dBIdentification Accuracy/%
Fault LineFault Type
4099.2299.27
3598.3598.75
3097.1296.91
Table 7. The Effect of Fault Identification of Different Methods.
Table 7. The Effect of Fault Identification of Different Methods.
Neural NetworkIdentification Accuracy/%Identification Duration/ms
Fault LineFault Type
SVM73.3393.950.638
BP neural network97.0695.290.033
ANN90.9899.750.085
SSAE91.441000.061
CNN98.4394.810.087
Proposed Method1001000.110
Disclaimer/Publisher’s Note: The statements, opinions and data contained in all publications are solely those of the individual author(s) and contributor(s) and not of MDPI and/or the editor(s). MDPI and/or the editor(s) disclaim responsibility for any injury to people or property resulting from any ideas, methods, instructions or products referred to in the content.

Share and Cite

MDPI and ACS Style

Liang, Y.; Zhang, J.; Shi, Z.; Zhao, H.; Wang, Y.; Xing, Y.; Zhang, X.; Wang, Y.; Zhu, H. A Fault Identification Method of Hybrid HVDC System Based on Wavelet Packet Energy Spectrum and CNN. Electronics 2024, 13, 2788. https://doi.org/10.3390/electronics13142788

AMA Style

Liang Y, Zhang J, Shi Z, Zhao H, Wang Y, Xing Y, Zhang X, Wang Y, Zhu H. A Fault Identification Method of Hybrid HVDC System Based on Wavelet Packet Energy Spectrum and CNN. Electronics. 2024; 13(14):2788. https://doi.org/10.3390/electronics13142788

Chicago/Turabian Style

Liang, Yan, Junwei Zhang, Zheng Shi, Haibo Zhao, Yao Wang, Yahong Xing, Xiaowei Zhang, Yujin Wang, and Haixiao Zhu. 2024. "A Fault Identification Method of Hybrid HVDC System Based on Wavelet Packet Energy Spectrum and CNN" Electronics 13, no. 14: 2788. https://doi.org/10.3390/electronics13142788

APA Style

Liang, Y., Zhang, J., Shi, Z., Zhao, H., Wang, Y., Xing, Y., Zhang, X., Wang, Y., & Zhu, H. (2024). A Fault Identification Method of Hybrid HVDC System Based on Wavelet Packet Energy Spectrum and CNN. Electronics, 13(14), 2788. https://doi.org/10.3390/electronics13142788

Note that from the first issue of 2016, this journal uses article numbers instead of page numbers. See further details here.

Article Metrics

Back to TopTop