A 2.0–3.0 GHz GaN HEMT-Based High-Efficiency Rectifier Using Class-EFJ Operating Mode
Abstract
1. Introduction
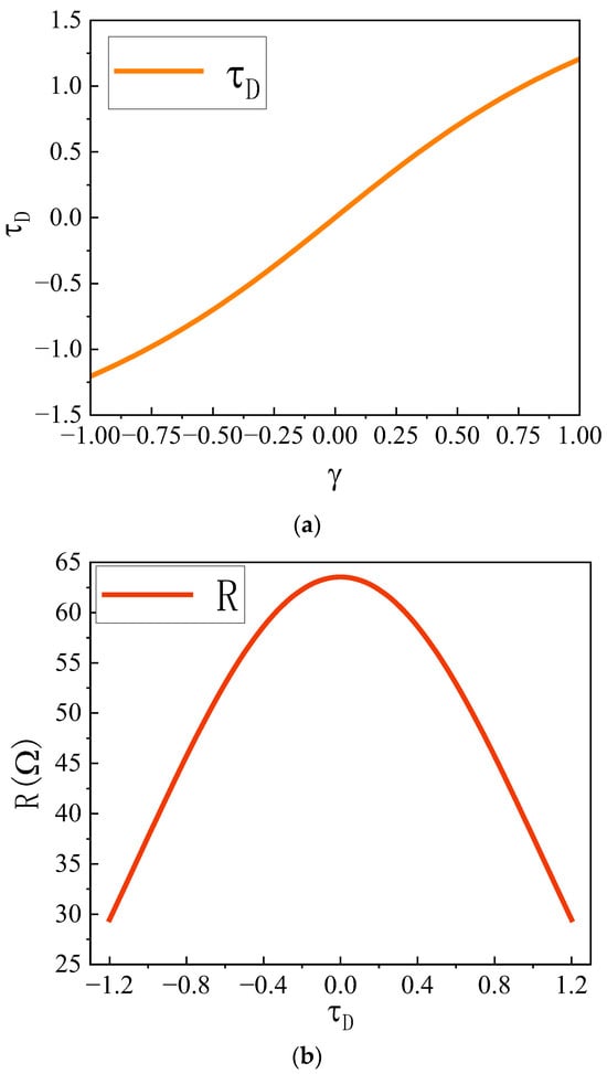
2. Analysis of the Proposed Rectifier
3. Design of the Rectifier
4. Conclusions
Author Contributions
Funding
Data Availability Statement
Conflicts of Interest
References
- Akan, O.B.; Cetinkaya, O.; Koca, C.; Ozger, M. Internet of Hybrid Energy Harvesting Things. IEEE Internet Things J. 2018, 5, 736–746. [Google Scholar] [CrossRef]
- Niyato, D.; Kim, D.I.; Maso, M.; Han, Z. Wireless powered communication networks: Research directions and technological approaches. IEEE Wirel. Commun. 2017, 24, 88–97. [Google Scholar] [CrossRef]
- Nguyen, D.M.; Au, N.D.; Seo, C. A microwave power transmission system using sequential phase ring antenna and inverted class F rectenna. IEEE Access 2021, 9, 134163–134173. [Google Scholar] [CrossRef]
- Bui, G.T.; Nguyen, D.-A.; Seo, C. A Highly Efficient Design of Broadband Rectifier With Harmonic Suppression Transferring for Energy Harvesting and Wireless Power Transfer. IEEE Microw. Wirel. Technol. Lett. 2023, 33, 1059–1062. [Google Scholar] [CrossRef]
- Yue, Z.; Xu, X.; Li, S.; Lin, X.Q.; Zhong, L.J.; Da Shi, M. Design of Efficient and Compact Ultrawideband Rectifier for Sub-6 GHz WPT/EH. IEEE Microw. Wirel. Technol. Lett. 2023, 33, 1490–1493. [Google Scholar] [CrossRef]
- Tampouratzis, M.G.; Vouyioukas, D.; Stratakis, D.; Yioultsis, T. Use Ultra-Wideband Discone Rectenna for Broadband RF Energy Harvesting Applications. Technologies 2020, 8, 21. [Google Scholar] [CrossRef]
- Tampouratzis, M.G.; Vouyioukas, D.; Stratakis, D.I. Discone Rectenna Implementation for Broadband RF Energy Harvesting. In Proceedings of the 2019 8th International Conference on Modern Circuits and Systems Technologies, Thessaloniki, Greece, 13–15 May 2019; pp. 1–4. [Google Scholar]
- Wu, P.; Huang, S.Y.; Zhou, W.; Yu, W.; Liu, Z.; Chen, X.; Liu, C. Compact high-efficiency broadband rectifier with multistage-transmission-line matching. IEEE Trans. Circuits Syst. II Exp. Briefs 2019, 66, 1316–1320. [Google Scholar]
- He, Z.; Liu, C. A compact high-efficiency broadband rectifier with a wide dynamic range of input power for energy harvesting. IEEE Microw. Wirel. Components 2020, 30, 433–436. [Google Scholar] [CrossRef]
- Nguyen, D.-A.; Seo, C. Design of high-efficiency broadband rectifier with harmonic control for wireless power transfer and energy harvesting. IEEE Microw. Wirel. Components 2022, 32, 1231–1234. [Google Scholar] [CrossRef]
- Zhang, X.Y.; Du, Z.-X.; Xue, Q. High-efficiency broadband rectifier with wide ranges of input power and output load based on branch line coupler. IEEE Trans. Circuits Syst. I 2017, 64, 731–739. [Google Scholar] [CrossRef]
- Sakaki, H.; Nishikawa, K. Broadband rectifier design based on quality factor of input matching circuit. In Proceedings of the 2014 Asia-Pacific Microwave Conference, Sendai, Japan, 4–7 November 2014; pp. 1205–1207. [Google Scholar]
- Honjo, K.; Ishikawa, R. High Efficiency GaN HEMT Power Amplifier/Rectifier Module Design Using Time Reversal Duality. In Proceedings of the IEEE Compound Semiconductor Integrated Circuit Symposium, New Orleans, LA, USA, 11–14 October 2015; pp. 1–4. [Google Scholar]
- Zhang, Z.; Gu, C.; Cheng, Z.; Xuan, X. A High-Power Capacity Transistor-Based Rectifier With Wide Input Power Range. IEEE Microw. Wirel. Technol. Lett. 2023, 33, 747–750. [Google Scholar] [CrossRef]
- Abbasian, S.; Johnson, T. High efficiency and high power GaN HEMT inverse class-F synchronous rectifier for wireless power applications. In Proceedings of the European Microwave Conference, Paris, France, 7–10 September 2015; pp. 299–302. [Google Scholar]
- Zhang, Z.; Gu, C.; Xuan, X. A Transistor-Based High-Efficiency Rectifier Using Input Second Harmonic Component. IEEE Trans. Circuits Syst. I Regul. Pap. 2024, 71, 101–119. [Google Scholar] [CrossRef]
- Zhang, Z.; Gu, C.; Cheng, Z.; Xuan, X. Design a GaN HEMT-Based Broadband High-Efficiency Rectifier Using a Wideband Phase Shift Structure. IEEE Microw. Wirel. Technol. Lett. 2023, 33, 751–754. [Google Scholar] [CrossRef]
- Haider, M.F.; Zhang, S.; You, F.; He, Q.; Dong, S.-W.; Wang, Y. A High-Efficiency Self-Synchronous RF-DC Rectifier With a Fixed Broadband Phase Offset. IEEE Microw. Wirel. Components Lett. 2021, 31, 324–327. [Google Scholar] [CrossRef]
- Hamill, D.C. Time reversal duality between linear networks. IEEE Trans. Circuits Syst. I Fundam. Theory Appl. 1996, 43, 63–65. [Google Scholar] [CrossRef]
- Liu, C.; Zhang, H.; Chen, W.; Ghannouchi, F.M. Novel Design Space of Broadband High-Efficiency Parallel-Circuit Class-EF Power Amplifiers. IEEE Trans. Circuits Syst. I Regul. Pap. 2022, 69, 3465–3475. [Google Scholar] [CrossRef]
- Tamrakar, V.; Dhar, S.; Sharma, T.; Mukherjee, J. Investigation of Input-Output Waveform Engineered High-Efficiency Broadband Class B/J Power Amplifier. IEEE Access 2022, 10, 128408–128423. [Google Scholar] [CrossRef]
- You, F.; Dong, S.; Wang, Y.; Yu, X.; Li, C. Design method of self-driving RF-DC rectifier based on waveform-guided solutions to passive matching network. IEEE Trans. Power Electron. 2019, 34, 6498–6509. [Google Scholar] [CrossRef]
- Ali, S.N.; Johnson, T.; Heo, D. DC Polarity Control in Radio Frequency Synchronous Rectifier Circuits. IEEE Microw. Wirel. Components Lett. 2017, 27, 1107–1109. [Google Scholar] [CrossRef]
- Hoque, M.A.; Ali, S.N.; Mokri, M.A.; Gopal, S.; Chahardori, M.; Johnson, T.; Heo, D. Highly Efficient Multiband Harmonic-Tuned GaN RF Synchronous Rectifier. IEEE Trans. Microw. Theory Tech. 2023, 71, 5060–5072. [Google Scholar] [CrossRef]
- Hoque, A.; Ali, S.N.; Mokri, M.A.; Gopal, S.; Chahardori, M.; Heo, D. A Highly Efficient Dual-band Harmonic-tuned GaN RF Synchronous Rectifier with Integrated Coupler and Phase Shifter. In Proceedings of the IEEE MTT-S International Microwave Symposium, Boston, MA, USA, 2–7 June 2019; pp. 1320–1323. [Google Scholar]












| Ref. | Device | Frequency (GHz) | Input Power (dBm) | Efficiency (%) |
|---|---|---|---|---|
| [5] | Diode BAT15-03W | 1.77–2.85 | 11.5 | >70 |
| [8] | Diode HSMS2860 | 2.0–3.05 | 10 | >70 |
| [9] | Diode HSMS2860 | 2.1–3.3 | 14 | >70 |
| [10] | Diode HSMS2860 | 1.7–2.8 | 12 | >70 |
| [8] | Diode HSMS2860 | 2.0–3.0 | 14 | >70 |
| [11] | Diode HSMS286F | 2.08–2.58 | 15.5 | >70 |
| [12] | Diode HSMS2860 | 1.47–1.77 | 10 | >70 |
| Ref. | Device | Frequency (GHz) | Pin (W) | Efficiency (%) | Mode/Class of Operation | Size (cm × cm) |
|---|---|---|---|---|---|---|
| [4] | diode | 1.77–2.85 | 0.015 | 70–82.3 | none | 2.25 × 2.28 |
| [5] | diode | 0.04–6.74 | 0.2 | 50–74.8 | none | 4.3 × 7.4 |
| [16] | GAN HEMT | 2.45 | 10 | 90.7 | Class-GF | 3.4 × 2.6 |
| [18] | GAN HEMT | 2.65–2.95 | 10 | 60–84.9 | none | 10.89 × 6.65 |
| [24] | GAN HEMT | 0.6–1.15 | 10 | 60–80.1 | Class-F−1 | 5 × 5.2 |
| [25] | GAN HEMT | 1.17/2.4 | 10 | 77/75 | Class-F/F−1 | 5.2 × 5 |
| This Work | GAN HEMT | 2.0–3.0 | 10 | 60–87 | Class-EFJ | 3 × 3.1 |
Disclaimer/Publisher’s Note: The statements, opinions and data contained in all publications are solely those of the individual author(s) and contributor(s) and not of MDPI and/or the editor(s). MDPI and/or the editor(s) disclaim responsibility for any injury to people or property resulting from any ideas, methods, instructions or products referred to in the content. |
© 2024 by the authors. Licensee MDPI, Basel, Switzerland. This article is an open access article distributed under the terms and conditions of the Creative Commons Attribution (CC BY) license (https://creativecommons.org/licenses/by/4.0/).
Share and Cite
Wang, C.; Luo, J.; Zhang, Z.; Gu, C.; Zhu, H.; Zhang, L. A 2.0–3.0 GHz GaN HEMT-Based High-Efficiency Rectifier Using Class-EFJ Operating Mode. Electronics 2024, 13, 2786. https://doi.org/10.3390/electronics13142786
Wang C, Luo J, Zhang Z, Gu C, Zhu H, Zhang L. A 2.0–3.0 GHz GaN HEMT-Based High-Efficiency Rectifier Using Class-EFJ Operating Mode. Electronics. 2024; 13(14):2786. https://doi.org/10.3390/electronics13142786
Chicago/Turabian StyleWang, Chenlu, Junyi Luo, Zhiwei Zhang, Chao Gu, Haipeng Zhu, and Luyu Zhang. 2024. "A 2.0–3.0 GHz GaN HEMT-Based High-Efficiency Rectifier Using Class-EFJ Operating Mode" Electronics 13, no. 14: 2786. https://doi.org/10.3390/electronics13142786
APA StyleWang, C., Luo, J., Zhang, Z., Gu, C., Zhu, H., & Zhang, L. (2024). A 2.0–3.0 GHz GaN HEMT-Based High-Efficiency Rectifier Using Class-EFJ Operating Mode. Electronics, 13(14), 2786. https://doi.org/10.3390/electronics13142786

