Next Article in Journal
Technique for Kernel Matching Pursuit Based on Intuitionistic Fuzzy c-Means Clustering
Previous Article in Journal
Maritime Electro-Optical Image Object Matching Based on Improved YOLOv9
 
 
Font Type:
Arial Georgia Verdana
Font Size:
Aa Aa Aa
Line Spacing:
Column Width:
Background:
Article

Parallel Implementation of K-Best Quadrature Amplitude Modulation Detection for Massive Multiple Input Multiple Output Systems

by
Bhargav Gokalgandhi
1,*,
Jonathan Ling
1,
Zoran Latinović
1,
Dragan Samardzija
1,* and
Ivan Seskar
2
1
Nokia Bell Labs, 600 Mountain Ave Bldg 5, New Providence, NJ 07974, USA
2
WINLAB, Rutgers University, 671 US-1, North Brunswick, NJ 08902, USA
*
Authors to whom correspondence should be addressed.
Electronics 2024, 13(14), 2775; https://doi.org/10.3390/electronics13142775
Submission received: 12 June 2024 / Revised: 8 July 2024 / Accepted: 10 July 2024 / Published: 15 July 2024
(This article belongs to the Section Microwave and Wireless Communications)

Abstract

Massive MIMO (Multiple Input Multiple Output) systems impose significant processing burdens along with strict latency requirements. The combination of large-scale antenna arrays and wide bandwidth requirements for next-generation wireless systems creates an exponential increase in frontend to backend data. Balancing the processing latency and reliability is critical for baseband processing tasks such as QAM detection. While linear detection algorithms have low computational complexity, their use in Massive MIMO scenario has heavy degradation in error performance. Nonlinear detection methods such as Maximum Likelihood and Sphere Decoding have good error performance, but they suffer from high, variable, and uncontrollable computational complexity. For such cases, the K-best QAM detection algorithm can provide required control over the system performance while maintaining near-ML error performance. In this paper, hard-output, as well as soft-output K-best QAM detection, is implemented in a CPU by utilizing the multiple cores combined with vector processing. Similarly, hard-output detection in a GPU is implemented by leveraging the SIMD (Single Instruction, Multiple Data) architecture and Warp-based execution model. The processing time per bit and the energy consumption per bit are compared for CPU and GPU implementations for QAM constellation density and MIMO array size. The GPU implementation shows up to 5× processing latency per bit improvement and up to 120× energy consumption per bit improvement over the CPU implementation for typical QAM constellations such as 4, 16, and 64 QAM. GPU implementation also shows up to 125× improvement over CPU implementation in energy consumption per bit for larger MIMO configurations such as 24 × 24 and 32 × 32. Finally, the soft-output detector is combined with a LDPC (Low-Density Parity Check) decoder to obtain the FER (Frame Error Rate) performance for CPU implementation. The FER is then combined with frame processing latency to form a Goodput metric to demonstrate the latency and reliability tradeoff.

1. Introduction

An exponential increase in the number of wireless users over the last decades and the increasing throughput requirements of many wireless applications are putting a strain on the limited resources available for wireless systems. To address this ever-increasing demand and the high throughput requirements, Massive MIMO (Multiple Input Multiple Output) systems are quickly becoming an integral part of many current and next-generation wireless communication standards. In tandem with Massive MIMO systems, wireless operators have considered the use of Cloud-based RAN (Radio Access Network) systems. These Cloud-RAN systems consist of flexible high-performance processing systems such as multicore CPUs (Central Processing Units) and GPUs (Graphic Processing Units), which can be used to perform software-based signal processing and resource allocation for the Massive MIMO systems at the backend, with a minimal presence of processing hardware in the frontend of the system. Due to the software-based implementation, operators can adapt to the constantly changing requirements without requiring large-scale changes in the deployment of the wireless systems. This provides them flexibility, as well as a reduction in long-term deployment costs.
However, due to the large-scale antenna arrays in Massive MIMO systems, data detection can become one of the most computationally intensive tasks. Many detection algorithms used in current Massive MIMO systems cater to the detection of QAM (Quadrature Amplitude Modulation) symbols where the detection complexity can depend on the scale of antenna arrays, as well as the density of the QAM constellation. Potentially tens to hundreds of spatial streams need to be demultiplexed and detected at the receiver. Hence, it is necessary to consider both the computational complexity and error performance when selecting a detection algorithm. This is especially the case when used in combination with Cloud-RAN systems, since these data detection techniques will be performed by software-based processing systems like CPUs and GPUs, and the computational complexity and error performance tradeoff of the detection algorithm increases in importance due to the limited processing throughput and presence of non-negligible processing latency of such processing systems.
Low complexity detection and equalization algorithms have been proposed and implemented recently for Massive MIMO systems in CPUs and GPUs [1,2,3,4,5,6,7]. But, the limited error performance provided by these algorithms can severely limit the system performance. Algorithms like ML (Maximum Likelihood) give exceptional error performance by searching through all possible combinations of transmitted symbols. But, the drastically high computational complexity makes ML unfeasible as a detection algorithm with large-scale transmitting antenna arrays. Therefore, algorithms that trade off the error performance and computational complexity need to be considered.
When considering such tradeoffs, algorithms such as DFS (Depth-First Search)-based Sphere Decoding [8] and BFS (Breadth-First Search)-based K-best detection [9] can provide the required balance by restricting the search of symbols to a smaller space based on certain preset conditions. But, the DFS-based tree search process makes it difficult to implement the detection process in parallel. Also, for the Sphere Decoder, the error performance and the computational complexity depend heavily on knowledge of factors like the SNR (Signal-to-Noise Ratio) and CSI (Channel State Information). To keep the processing throughput consistent and to efficiently use the parallel architecture of modern multicore CPUs and GPUs, the K-best QAM detection algorithm implementation is described, and its performance for various factors is analyzed in this paper.

1.1. Our Contributions

Following is the list of our contributions:
  • We perform parallel implementation of the tree search process for hard-output K-best QAM detection. This involves multiple CPU cores with vector processing utilized for parallel processing.
  • We then implement hard-output QAM detection in a high-performance GPU. The focus is on utilizing the Warp-based execution model of the Nvidia (r) GPUs for minimizing the processing latency of the BFS tree search.
  • We compare the processing latency and energy consumption of the CPU and GPU implementations for various QAM constellation densities and MIMO array sizes.
  • Since the quality of the demodulator output directly affects the channel decoder, we perform combined implementation and optimization of a soft-output QAM detector and LDPC decoder in a multicore CPU.
  • We consider the tradeoff between the latency and error rate of the combined demodulator and channel decoder block. We propose a Goodput metric, which combines the frame processing latency and the FER (Frame Error Rate). The CPU implementation is evaluated using this metric to illustrate the latency and reliability tradeoff.

1.2. Paper Outline

This paper is organized as follows. Section 2 discusses the related work that has been done regarding the implementation of K-best detection and related algorithms. Section 3 explains the system model and the K-best QAM detection approach. Here, Section 3.2 and Section 3.3 describe the hard-output and soft-output approaches, respectively, in detail. Parallel implementation of the algorithm in a multicore CPU is then explained in Section 4. Then, in Section 5, an overview of the architectural abstraction and execution model of Nvidia GPUs is explained, and the implementation of K-best QAM detection in such GPUs is described in detail. Section 6 discussion the experiments and results for the implementations. Section 6 and Section 6.4 explain the Goodput metric being used to measure the performance of the algorithm when implemented in software-based processing systems. Finally, Section 7 gives the concluding remarks and provides comments on possible future research directions.

2. Related Work

By decreasing the massive search space of nonlinear detection algorithms, tree search-based detection algorithms like the Sphere Decoder and K-best detection have gained a lot of attention. Initially, attention was given towards implementation in specialized hardware such as ASICs (Application Specific Integrated Circuits) and FPGAs (Field Programmable Gate Arrays). Refs. [10,11,12] are some of the recent papers which implement different types of Sphere Decoders in FPGAs and ASICs. Over the last few years, such algorithms have been considered for implementation in multicore CPUs and GPUs for MIMO and Massive MIMO systems due to the flexibility that such general-purpose systems provide for the implementation and optimization of algorithms for different scenarios.
Particularly, algorithms have been studied and implemented in a massively parallel manner in GPUs to leverage the SIMT (Single Instruction, Multiple Threads) model. An example is [13], where a flexible parallel Sphere Decoder was implemented in a GPU and FPGA for a 12 × 12 MIMO system. The decoding was split into a preprocessing stage, in which the parts of the tree search to be performed were decided, and a mapping phase, where the tree search was then mapped onto the GPU or FPGA processing elements. In [14], a novel implementation of the Sphere Decoder is shown for 8 × 8 MIMO-OFDM systems in a parallel environment. The implementation shows novel methods for tree search and also shows how the distribution of multiple decoders over multiple processing elements affects the processing latency. In [15], Sphere Decoder was implemented for Massive MIMO systems in a GPU, and then the processing time and the error performance were analyzed for a 25 × 50 MIMO configuration for various QAM constellation sizes. Ref. [16] created a Single-Tree Search (STS) Soft-Input Soft-Output (SISO)-based Sphere detection algorithm that obtains Log Likelihood Ratios (LLRs) with lower complexity. This is similar to [16,17], also created a SISO MIMO detection algorithm that exploits the channel properties and a priori information of transmitted bits to reduce computational complexity.
But, the issue of the Sphere Decoder is high variance in processing time due to its dependence on external characteristics like channel condition and added noise. In the above-mentioned works on the decreasing computational complexity of Sphere Decoding algorithms, there was high dependence on channel characteristics and the availability of a priori statistical information regarding the input bits. This is not possible in practice due to time-variant channels and the difficulty of obtaining statistical information of input data in time-limited practical scenarios. Due to this, the focus moved towards algorithms that have fixed computational complexity.
An FCSD (Fixed Complexity Sphere Decoder) is a variant of the Sphere Decoder, which can provide consistent processing throughput by fixing the number of branches explored during the tree search. Refs. [18,19] implemented both hard- and soft-output FCSD algorithms for MIMO-OFDM systems in GPU and multicore CPU systems, and they showed the acceleration that comes through the GPU implementation. Ref. [20] implemented the FCSD in a GPU for flat fading channels in MIMO systems and showed the acceleration that can be attained with a GPU implementation. In [21], an FCSD was implemented with a combination of a multicore CPU and GPU, where the preprocessing required for decoding was done in the CPU, and then the preprocessing results with the data to be decoded were transferred to a GPU for the decoding process. In [22], an FCSD was implemented in GPUs for uplink scenarios with Massive MIMO systems. While the FCSD can help in scaling the implementation of the Sphere Decoder for Massive MIMO systems, the number of tree search expansion stages are preset. This means that the tree search is only performed for a handful of stages, and then linear detection is performed for successive stages of nonpruned branches. Fixing the tree search complexity in such a way limits the exploration, and combining it with simple linear detection degrades the error performance of the algorithm for large-scale systems.
The K-best QAM detection algorithm can be used to deal with the limts of the FCSD, since K-best QAM detection provides consistent processing throughput by performing a restricted and consistent expansion of the tree at each stage. This means that a full tree search occurs in K-best detection, and dependence on linear detection algorithms like Zero Forcing does not exist. Recent research [15,22,23,24,25] has explored K-best detection and Sphere Decoders in MIMO and Massive MIMO scenarios. In [23], the tradeoff between the performance and complexity of Sphere Decoder and K-best detection was explored when implementing the algorithms in a multicore CPU for Massive MIMO systems. A hybrid method consisting of Sphere Decoder and K-best detection was then proposed, which can leverage the parallellization provided by multicore CPUs to lower the computational complexity while giving near-ML error performance for Massive MIMO systems. While the hybrid method shown in [23] can work for the multicore CPU architecture, optimizing the same method for SIMT architecture of the GPUs can become difficult due to the variable nature of the tree search used in the method. In [26], Sphere Decoder and K-best detection were implemented in a combined CPU and GPU environment. But the implementation was split between the CPU and GPU, where the sorting required to select K candidates was performed in the CPU in a serial manner. The serial processing and the data transfer between the CPU and GPU can tremendously increase the processing time, thus resulting in very low throughput.
Energy efficiency is an important factor to consider for practical implementation. But, for Sphere decoding and K-best detection, the effect of energy consumption when implementing them in general-purpose architectures has not been explored. In [27,28], the implementation of Sphere decoding from the energy efficiency perspective was explored. But, their implementation was concentrated to ASIC and FPGA platforms. For the CPU and GPU implementations of such algorithms, the energy consumption and energy efficiency are not measured in an extensive manner while varying factors such as the QAM density and MIMO array size. Especially for K-best detection, the measurement of energy consumption has been practically nonexistent in the literature. Thus, in addition to error performance and processing latency, we also performed experiments to measure the energy consumption of the CPU and GPU when K-best detection was being implemented.
A summary of the above mentioned works is shown in Table 1. The table shown connects each reference with the detection algorithm implemented, the computing platform used, and a summary of the novel contributions of the paper.

3. K-Best QAM Detection

Based on the related work in Section 2, it is seen that detection algorithms with fixed processing times and ease of parallelization are needed for implementing QAM detection mechanisms in general-purpose computing platforms. Due to the fixed processing throughput nature of K-best detection, the possible ease of parallelism of tree search, and the ease of control over the error performance vs. the processing throughput tradeoff, K-best detection is a viable choice for implementing in SIMT-based massive parallel architectures of modern multicore CPUs and GPUs. In this section, we explain our System Model, hard-output, and soft-output K-best QAM detection in detail.

3.1. System Model

Consider an N t × N r MIMO system, where N t is the number of transmitting antennas, and N r is the number of receiving antennas. Since we are considering a Massive MIMO system, the N t and N r values are greater than 8. We also make an assumption of an equal number of transmitted and received antennas, i.e., N t = N r = N . This assumption gives a canonical worst-case scenario, since it assumes a fully loaded system similar to a high number of users N t transmitting data to a base station receiver system N r . We consider a narrowband system model with an N r × N t MIMO channel with complex independent and identically distributed Gaussian entries. The narrowband model, for example, can be used to represent a single-carrier of a multicarrier system such as OFDM (Orthogonal Frequency Division Multiplexing). The system model is given by
y = H s + w
where y is the N × 1 complex received signal vector, H is the N × N complex independent and identically distributed Gaussian channel matrix, s is the N × 1 complex transmitted signal vector, and w is the N × 1 independent and identically distributed Additive White Gaussian Noise (AWGN). For ease of calculation and processing, the complex-valued vectors and matrices can be converted to real-valued as follows:
y r e = H r e s r e + w r e
R e ( y ) I m ( y ) = R e ( H ) I m ( H ) I m ( H ) R e ( H ) R e ( s ) I m ( s ) + R e ( w ) I m ( w )
where R e ( ) and I m ( ) are the real and imaginary parts of a complex entity ∗, respectively. y r e is the 2 N × 1 real-valued received vector, H r e is the 2 N × 2 N real-valued channel matrix, s r e is the 2 N × 1 real-valued transmitted symbol vector, and w r e is the 2 N × 1 real-valued noise vector.
The detector present at the receiver is used to extract the transmitted vector s from the noisy received signal vector y. One solution to detect the transmitted signal is the ML approach, which detects the transmitted symbol vector for the system model in Equation (1) as follows:
x M L = arg min s ^ S | | y r e H r e s ^ | | 2
where x M L is the 2 N × 1 vector of detected symbols, and S is a set consisting of various 2 N × 1 vectors. Each vector consists of various possible combinations of the transmitted symbols. The ML approach is to iterate through the entire set S and calculate the Euclidian distance D, which is denoted by | | . | | , for each vector within the set. Then, we select the vector with the minimum distance as the detected symbol vector. This has extremely high computational complexity, especially for Massive MIMO scenarios.
For every received noisy vector, only a subset of vectors have a very high probability of being the transmitted vector. So, when searching through the entire set S, many distance calculations can be avoided. For such cases, Sphere decoding limits the number of vectors within the set S by setting a certain radius value, and only vectors in set S within the radius are compared to select the vector with the minimum distance. But, the number of vectors within the radius is highly dependent on factors such as channel conditions and noise, and the number of vectors to be processed is changes for every set. Such high variability is problematic in practical situations with the existence of strict time constraints.

3.2. Hard-Output Detection

K-best detection reduces the search space by restricting it to K vectors from the set S, thereby significantly reducing the computational complexity from that of ML. For this reduction, we consider the optimization to be performed in Equation (3) and change it by performing a QR decomposition of the real-valued channel matrix H r e . The distance calculation in Equation (3) is transformed as follows:
D 2 = | | y r e H r e s ^ | | 2 = | | y r e Q R s ^ | | 2 = | | Q ( Q H y r e R s ^ ) | | 2 = | | Q H y r e R s ^ | | 2 = | | y ^ R s ^ | | 2
where D denotes the Euclidian distance, Q and R are the 2 N × 2 N unitary matrix and 2 N × 2 N upper-triangular matrix, respectively, obtained after the QR decomposition of the real-valued channel matrix, ( . ) H denotes the conjugate transpose of the matrix in ( . ) , and y ^ = Q H y r e . The distance calculation in matrix form can be shown as follows:
D 2 = | | y ^ R s ^ | | 2 = y ^ 0 y ^ 1 . . . y ^ 2 N 1 r 0 , 0 r 0 , 1 r 0 , 2 r 0 , 2 N 1 0 r 1 , 1 r 1 , 2 r 1 , 2 N 1 . . . . . . . . . . . . . . . 0 0 0 r 2 N 1 , 2 N 1 s ^ 0 s ^ 1 . . . s ^ 2 N 1 2
So, the calculation of distance D can be shown as follows:
D 2 = k = 0 2 N 1 y ^ k j = k 2 N 1 ( r k , j s ^ k ) 2
From Equations (5) and (6), the distance calculation is seen as a sum of partial distances calculated for each row from k = 0 to k = 2 N 1 . So, the total distance calculation can be split into multiple partial distance calculations by separating the calculation for each row. So, these Partial Euclidian Distances (PEDs) can be calculated as follows:
d k 2 = y ^ k j = k 2 N 1 ( r k , j s ^ k ) 2
D i 2 = k = i 2 N 1 d k 2
where D i is the PED for row i. Equation (7) calculates the partial distance value for each row, and then starting from the last row, Equation (8) then combines all the distance calculations performed till that row. Hence, the Euclidian distance calculation can be converted in to an iterative process through the calculation of PEDs for each row. This iterative process is shown as a tree search in Figure 1 for a 3 × 3 MIMO system and BPSK modulation.
Here, we use the K-best approach, which uses the tree search approach shown in Figure 1. Instead of calculating all the distance values till the depth of the tree, in K-best detection, all PEDs are calculated breadthwise, i.e., for all branches in a single level of the tree. For example, for the first level of three, which pertains to Row 3 in Figure 1, all the PED values are calculated as shown in Equations (7) and (8). Then, amongst the PEDs, only the K nodes with the least PEDs will be selected for further exploration, and all other branches that are not a part of the K branches will be pruned, i.e., no further exploration will be done. This pruning process makes sure that, at any point of the tree search process, only the nodes closest to the noisy received signal vector are being explored, and the redundant PEDs are not calculated and explored, thus reducing the computational complexity of the tree search process. Each selected node will then be expanded into q child nodes for the next level of the tree. The PED calculation and selection process will be done in the same way as that of the first level. The entire tree search process is considered as the Breadth-First Search (BFS) process. Figure 2 shows the BFS-based tree search performed for K-best detection.
In case of hard output, the QAM values are to be retrieved after the tree search. Then for the final level of the tree search, instead of K nodes, only a single node with the least distance value is selected. Equivalent QAM symbols, i.e., s ^ values for all the nodes that form a path from the root of the tree to the selected node, are then taken as the detected output. Since the s ^ value has been split into real and imaginary parts from Equation (2), the parts will be combined to obtain the complex QAM symbol values as output.
The computational complexity now depends on the k value, the number of transmitting streams, and the constellation size. It is seen that the search space is dependent only on the K value, and the effect of the QAM constellation size is drastically reduced due to the expansion of the tree at each level being dependent on q . For the error performance case, hard-output K-best detection can perform much better than linear detection mechanisms like Zero Forcing and MMSE, and it reaches close to ML as the K value is increased. As an example, we conducted BER simulations for an 8 × 8 MIMO scenario with 16 QAM constellation and a Gaussian channel with AWGN. We simulated ZF, MMSE, ML, Sphere decoding, and K-best for the above scenario. The BER vs. SNR per antenna plot for the simulations is shown in Figure 3. The plot shows that K-best reached within 1–2 dBs of ML’s BER performance for K = 32 . This shows that K-best performs much better than the linear detection algorithms and can reach at the level of ML in terms of error performance. When combined with fixed and easily controlled computational complexity, K-best can exist as a practically viable detection algorithm.
But, using the hard-output values for further error correction and decoding is not highly beneficial, since the channel- and noise-related information is already lost when the QAM constellation values are extracted from the detector. Due to this, hard-output detection incurred a performance loss of approx. 2 dB. To preserve this information, soft-output detection was performed, which gives a relative probability of a bit value being 0 or 1 based on the channel and AWGN effects.

3.3. Soft-Output Detection

In soft-output detection, the QAM detector gives a posteriori probabilities of the bit values, which correspond to the detected QAM value that is used to obtain the likelihood of a bit being 0 or 1. This likelihood is known as the Log Likelihood Ratio (LLR), and it represents the ratio of probability of a bit value being 1 or 0. This LLR value can be provided to LDPC (Low-Density Parity Check) decoders for decoding the bit values while performing error detection and correction on the received symbols. The LLR is defined as follows:
L ( b i | y ) = l o g e P ( b i = 1 | y ) P ( b i = 0 | y )
where L ( b i | y ) is the LLR of the ith bit b i given the received noisy symbol vector y from Equation (1). Since we are assuming complex independent and identically distributed Gaussian noise in Equation (1), the LLR in Equation (9) can be calculated using the min-sum approximation as follows [29]:
L ( b i | y ) = max s ^ | b i = 1 ( Θ ( s ^ , y ) ) max s ^ | b i = 0 ( Θ ( s ^ , y ) )
where , Θ ( s ^ , y ) = 1 2 σ 2 | | y H s ^ | | 2
B 1 , i and B 0 , i are sets of constellation points for which the bit b i is 1 and 0, respectively, and σ 2 is the variance of added noise w to the system. Considering Equations (10) and (11), the min-sum approximation essentially obtains the LLR values based on the minimum distance of the candidate vector s ^ for which a certain bit b i at position i is either 1 or 0. Accordingly, it selects the candidate vector based on the ratio of the hypothesis, i.e., b i = 1 , and the counter-hypothesis, i.e., b i = 0 of a certain bit. The complete block diagram for the soft-output detector is shown in Figure 4.
For this implementation, K-best detection, as shown in Section 3, was performed, but instead of selecting a single candidate from the K candidates (performing hard-output detection), the K candidates, which were left at the end of the tree search, were used for LLR calculation. For each antenna and its corresponding level in the tree search, the QAM constellation values for each of the K candidates form the candidate values for finding the LLR value in Equations (10) and (11). This reduces the search space to a maximum of K values per antenna. This is done to ensure that the candidate vectors that are selected can represent the constellation points closest to that of the ML approach for the hypothesis and counter-hypothesis in the LLR calculations. These LLR values are then sent to an LDPC decoder for error detection, correction, and decoding to obtain the hard-output values. For this paper, we considered a min-sum approximation-based LDPC decoder for the FEC-based decoding algorithm [30]. The combined soft-output detection consisting of the K-best detector, LLR calculation, and LDPC decoder is shown in Figure 4. We performed a single tree search to maintain the required low processing latency when implementing the soft-output detection in multicore CPUs and GPUs.

4. Parallel Implementation of K-Best Detection in Multicore CPU

We now move on to the implementation aspect of the tree search in a multicore CPU architecture. For implementing the detector in a CPU, we assume that the CPU consists of N c o r e s cores. For the purpose of this paper, cores and threads will be used interchangeably. Each core consists of an SIMD (Single Instruction, Multiple Data) architecture with a capability of performing N T c number of computations in parallel. This N T c value is affected mainly by the bit length of the ALUs present in each core. For example, a 256-bit-long ALU can process 8 × 32 bit floating point operations. Thus, the N T c value in this example is going to be eight. We assume the 32-bit floating point number being used for any computation, and the complex numbers are represented using two 32-bit floating point numbers.
Consider that the N f number of frames are being transmitted by the N t transmitters, and each frame has N s y m number of QAM symbols per antenna to be detected by using K-best detection. The N s y m variable will also be affected by the LDPC encoder/decoder length. Hence, the total symbols to be detected for the Massive MIMO system are
N t o t a l _ s y m = N s y m _ p e r _ t x × N t
where,
N s y m _ p e r _ t x = N f × N s y m
The K-best detection algorithm will perform distribution of the QAM symbol detection in two levels. First, the total number of symbols to be detected per antenna in Equation (13) will be distributed equally amongst the N p cores/processors for processing. Thus, each core will perform N s y m _ p e r _ t x N p tree searches for QAM detection. As seen in Section 3, the tree search process is highly iterative in nature, i.e., each level of the tree search input depends on the selected K QAM values from the previous level. But, as the tree search is being performed in a BFS manner, the PED calculation and the reduction to find the K minimum PEDs can be parallelized. Therefore, for each tree search, the N T c number of SIMD PEs will be used for parallelizing.

4.1. Parallel PED Calculation

The PED calculation is parallelized for each stage of the tree search. The expansion for each stage of the tree search is shown in Figure 5a. Since, for any nth stage except for the first one, K PED values are selected to be added from the ( n 1 ) th stage, the number of PED calculations to perform can be a maximum of K × q . These PED calculations are shown in Equation (8), and they can be parallelized by using the N T c SIMD Processing Elements (PEs) to perform N T c PED calculations simultaneously. These calculated PED values are then stored in an array, on which reduction will be performed by using the same PEs.

4.2. Parallel K-Min Reduction

The K × q PED elements in the nth stage of the tree search are then to be sorted to find the K PEDs. To find the K PEDs, we performed parallel reduction K times. The K × q elements were divided into N s a subarrays of N T c elements each and N s a subarrays consisting of the index values for each PED in the main array. Then, the first subarray was taken as a reference to perform Compare-And-Swap (CAS) operations with other subarrays. CAS operations consist of elementwise comparison and conditional swapping between two arrays. The T i c SIMD PE performs the CAS operation for the ith element, and so N T c CAS operations can be performed in parallel. For each CAS operation, the PED values are compared, and the smaller PED and its main array index value are put in the first subarray. Once the CAS operations of first sub-array with all other subarrays are done, reduction is performed in the N T c elements in the first subarray in a serial manner to find the lowest PED and its respective index value. An illustration of the reduction method for the reduction is shown in Figure 5b. This reduction is performed K times to find the K minimum PED values.

4.3. Distributed LLR Computation and LDPC Decoding

Based on Equations (12) and (13), the total number of LLR computations will be N t o t a l _ s y m × B s y m , where B s y m denotes the number of bits per QAM symbol. Hence, the total LLR computations are N t o t a l _ s y m × l o g 2 ( q ) . We distributed the LLR computations over N c o r e s cores. We then distributed the LDPC decoding of the N f frames over the N c o r e s cores. We considered an n l -length LDPC decoder with an r rate. We denote the decoder by ( n l , m l , k l ) , where m l and k l are used to vary the density of the Parity Check matrix of the LDPC decoder. The rate r is then equal to 1 m l k l . A distributed implementation of the Sum–Product LDPC decoder has been performed in [31] in multiple ways in multicore CPUs. We performed batched distribution of the N f frames in a similar fashion, i.e., every core will take N f N c o r e s frames for decoding. Then, instead of the Sum–Product decoder, we implemented an LDPC decoder with the min-sum approximation [30], which has lower processing latency at the cost of some degradation in error performance.

5. Parallel Implementation of K-Best Detection in GPU

5.1. GPU Architecture and Parallel Execution Overview

While the parallel CPU implementation of the BFS tree search in the multicore CPU architecture showed great potential, for the BFS on trees with large-scale breadth and depth, the overall CPU performance could be limiting due to the small-scale nature of the SIMD processing. The usual number of SIMD processing elements in CPUs in practice is a maximum of 16 per tree search. That, combined with the limitation in the number of cores (threads) for any CPU system, means that the advantages due to parallel processing can be very limited. To gain the advantages that SIMD-based parallel processing can provide, GPUs can be utilized. Since GPUs have hundreds and thousands of threads that can simultaneously perform processing, these threads can be utilized to potentially parallelize the search process for large-scale trees to perform highly parallel K-best detection. In this paper, we considered the hard-output case of K-best detection and parallelized the BFS-based tree search process in the GPU. We specifically used the Nvidia (R) GPUs and exploited the microarchitecture to gain massive multidimensional parallelism for the tree search process.
Nvidia (R) uses an abstract architecture known as CUDA (Compute Unified Device Architecture) [32] for easy and flexible programming of the GPUs, and applications can be executed over different GPUs with varying architectures and capabilities. The CUDA architecture has been widely studied for the parallel programming of applications in the wireless communication domain, and applications for baseband processing in various MIMO and Massive MIMO scenarios have been developed and executed in GPUs by using CUDA as reference for parallel programming. A description of how CUDA architecture abstraction works is shown in Figure 6a. The architecture provides a grid consisting of N B blocks, and each block will consist of N T g threads. Each thread has a thread-local memory to store local data, whose scope are only within the thread. Each block consists of shared memory, which can be used by all threads within the block, and the global memory can be accessed by any thread within any block, i.e., it has a global scope. For any application to be parallelized in a GPU, the application can be distributed amongst various blocks, and then within the blocks, it can be further parallelized amongst the threads. This provides a flexible and modular way for the parallel execution of any application.
But, the parallel execution of an application in the GPU happens in a different manner than portrayed through the CUDA architecture abstraction. An illustration of the scheduling and execution is shown in Figure 6b. An Nvidia GPU consists of various Streaming Multiprocessors (SMs). Each SM consists of various cores (threads), which are grouped in sets of 32 known as Warps. All threads in a Warp can be executed simultaneously in an SM. When execution starts, the GPU scheduler schedules a block to be processed in a Streaming Multiprocessor (SM), and the data in the block are then mapped onto the Warps. This means that the parallel processing on each block is performed by using multiple 32 element-wide Warps. Since the CUDA abstraction provides flexibility in the usage of the number of threads per block, more than 32 threads can be used for parallelizing the data processing within a block, i.e., N T g > > 32 . When more than 32 threads are used in a block, the data processing within a block, multiple Warps are instantiated and are usually executed in a serial manner. In the case of interthread dependencies occurring during execution, the execution context within the SM switches between multiple Warps, while the interthread data are stored in the local cache or shared memory assigned to the block. Multiple such blocks can be scheduled for processing in an SM, and depending on the GPU architecture, multiple Warps per block can be executed simultaneously as well. Therefore, using the combination of SMs and Warps, multidimensional parallelism can be obtained in the GPU at a much higher scale than that of a multicore CPU.
Another important aspect for large-scale parallel implementation is the memory model of the GPU. GPUs have multiple memories present, which can be used for faster R/W or large-scale data storage. GPUs have RAM, which is used to store all the input/output data, which all the implemented functions use. R/W latency has a significant effect on the overall processing latency. To minimize the R/W latency and its effect, GPUs have L1 and L2 caches. These caches are multiple small memories placed close to the processors. The L1 cache, also known as Shared Memory, is placed within each SM, where only the cores present in the SM use the memory. Whenever interthread communication is required within an SM, this cache can be used by threads. While this memory is placed within each SM processor to decrease R/W latency, it is small in size (usually in tens to hundreds of kBs) due to space and power constraints. When L1 caches are filled, the L2 cache can be used. L2 caches are used by multiple SMs present in the GPU and are larger in size than the L1 caches. Since these memories are shared among multiple SMs, the R/W latency can be higher due to its placement being further away from the threads within each SM, thus resulting in a possibly higher wait time. GPUs also have thread-local memories, which constitute a set of registers present within each thread of each SM of the GPU. These are used for storing the data, which are utilized within each thread. The use of these memories and the effect they can have on execution will be explained briefly in the following section.

5.2. K-Best QAM Detection in GPU

For the GPU implementation, we considered the tree expansions based on the aforementioned Warp-based execution model. Since the Warp consists of 32 threads, which execute simultaneously, we considered two cases. One case was where the maximum tree breadth was given by E x = K q 32 , and another was where K q > 32 .
For E x 32 , we divided the threads within the Warp for each tree search as N t r = floor 32 E x , where N t r is the number of trees that can be processed within a single warp. The PED calculation part for each tree search within the warp is then divided amongst E x number of threads. For each stage of the tree search, each thread calculates a single PED. Then, parallel reduction methods are performed to obtain the K minimum PEDs. These reduction methods only require O ( K l o g ( K q ) ) time complexity to obtain the K minimum PEDs. Usually, when performing parallel reduction, shared memory (L1 cache) is used to perform the required data transfer between the threads. But, the R/W time when using shared memory can introduce high latency in the overall tree search, since finding K PEDs is required for each tree search stage. We instead used ‘__warp_shfl()’ commands to perform the parallel reduction, since all threads are present within the Warp [33]. These ‘__warp_shfl()’ commands use thread-local, or register memory, to perform the read/write for comparison of the PEDs, which reduces the processing latency for performing the reduction operation.
For a tree breadth greater than the Warp size of 32 threads, an option would be to distribute the PED calculations for each stage amongst multiple Warps. But, such a distribution would require utilization of the shared memory for reduction, which would cause an increase in processing latency due to the additional read/write cycles required to perform the data transfer between the threads of multiple Warps via shared memory. Also, when the threads of multiple Warps are used in a synchronized manner, the execution within the SM has to switch between the contexts of these Warps. When context switching happens multiple times, it introduces a non-negligible latency, which can increase the overall processing latency for the tree search. The aforementioned issues can be solved by using only a single Warp per tree search. When using a single Warp for a tree breadth greater than the Warp size, each thread calculates multiple PEDs and finds local K minimum PEDs. The local K PEDs can be compared with local PEDs of other threads to find the global K minimum PEDs. This comparison can be done using the ‘__warp_shfl()’ commands, as all threads are present within a single Warp. Since multiple threads are calculating multiple PEDs, the data transfer latency for reading the input values to perform PED calculation can be offset by the parallel execution. Also, since there is no switching between Warps during the execution of tree search, the context switching latency is minimized.
For any execution in the GPU, a fixed amount of shared memory is assigned for the processing of each tree. The shared memory stores the Q and R matrices, the received noisy symbol vector y r e , the QAM constellation values, and the intermediate K PEDs and equivalent QAM symbol values, which are used in PED computation for succeeding tree search stages.

6. Performance Evaluation

6.1. Simulation Background and Parameters

Table 2 shows the parameters used for performing various simulations of the K-best QAM detection and the LDPC decoder. For the simulations, packet creation, transmission, and decoding were implemented in a C++ application for the CPU implementation and CUDA C++ application in case of GPU implementation. For packet creation, LDPC encoding and QAM mapping were performed. Then, we emulated the packet transmissions through a narrowband independently and identically distributed channel, as shown in Equation (1).
Another important part of the simulations is the Parity check and Generator matrices for the LDPC encoder and decoder. We constructed the required matrices based on the methods mentioned in [31,34].

6.2. Components Used

We used the server system which is a part of a sandbox of the ORBIT Testbed [35] in New Brunswick, New Jersey, USA. The system used for the simulation consists of a Dell R740XD server. Each server consists of two interconnected Intel(R) Xeon(R) Gold 6126 CPUs and an Nvidia V100 GPU.
Each CPU consists of 12 physical cores. So, to implement the detector and decoder, we used OpenMP for the distribution of processing to multiple cores, as it provides APIs for parallel processing in shared memory-based multiprocessor architectures [36]. Then, to parallelize the processing to multiple SIMD elements, we used the AVX (Advanced Vector Extension)-based intrinsic APIs, which are provided by Intel (R) for high-performance-vector-based arithmetic computation [37]. Each core consists of 512-bit-long ALUs, which is equivalent to 16 Processing Elements. Combining the two approaches, we implemented the BFS tree search for K-best detection in a multicore CPU architecture. We also performed distribution of the LLR computation and the frames required for batched processing of the LDPC decoder using OpenMP. For obtaining the energy per bit values, the powerstat command was used. It gives the watt-sec power measurement, i.e., the power consumed during each second of implementation, which is converted to Joules per bit. The conversion was done by summing over the total power consumed when the function was being implemented and then dividing by the number of bits processed. The Thermal Design Power (TDP) of each CPU is 125 W. As two CPUs are present in the server, the TDP will be 250 W.
The GPU consists of 5120 CUDA cores, which are distributed amongst 80 SMs. As each SM consists of 64 CUDA cores, two Warps can be scheduled simultaneously per SM for implementation of the tree search. The number of symbols to be detected are kept to 16,384 per antenna, which is equivalent of 16 encoded and QAM mapped frames. Multiple iterations of the simulation are performed and averaged to obtain the processing time per bit. The nvidia-smi command was used to obtain the watt-sec measurements. They were then converted to energy per bit values in the same way as that for the CPU. When considering the watt-sec values of the GPU, the corresponding watt-sec values of the CPU were also added, as the CPU was active and used for R/W of data with the GPU. The power measurement was done by running powerstat for the CPU power measurement at the same time as the nvidia-smi command that the K-best detection function was being executed in the GPU. The TDP for the Nvidia V100 GPU present in the ORBIT Testbed is 300 W.
The simulations were divided into two parts: hard-output QAM detection and soft-output QAM detection. For the hard-output detection part, we compared the implementation of the tree search for K-best QAM detection in the CPU and GPU. The processing time per bit and energy per bit were mapped for variation in the K value. This plotting was performed for multiple QAM constellation densities and MIMO configurations, and the results are shown in Section 6.3. For the soft-output detection, the aim was to show the effect of soft-output values, i.e., the LLRs from the tree search, on the latency and reliability of LDPC decoding. This effect is shown by combining the reliability and latency of decoding into the Goodput parameter, which will be described in Section 6.4. The plots of the Goodput value for various QAM constellation densities, MIMO configurations, and LDPC decoder rates are then shown and described in Section 6.4.
The values shown in the following plots are average values over multiple simulation iterations. Individual values vary only within approx. 5% of the values shown in the plots. Such a low variation is due to the fixed nature of K values and LDPC rates, which results in a fixed number of branches travelled during the tree search and LDPC decoding. This results in minimal variation in the read/write latency and processing time, which in turn results in very small variation in the output processing latency, energy per bit consumption, and Goodput.

6.3. Hard-Output QAM Detection

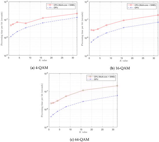
6.3.1. Qam Constellation Density Variation

Figure 7a–c show the processing time per bit vs. the K value for the aforementioned QAM constellation densities. Figure 8a–c show the energy consumed per bit in Joules vs. the K value. The processing time per bit and the energy per bit values are plotted for both the CPU and GPU implementations in each case.
For both the CPU and GPU implementation, the processing time was highly affected by the K value. Since the parallelism scale is higher in GPUs, the q value of QAM constellation density minimally affects the tree search time. But, higher numbers of bits were detected for each detected symbol in the higher QAM constellation density. This means that when the processing time is normalized based on the number of bits detected, it decreases for higher QAM constellation densities. This improves the processing time performance for GPU implementation over CPU implementation when higher densities are used. Also, we can see that for the GPUs, the processing latency remained around the 100 nanoseconds range, even for higher K values. The processing latency did not increase as much for higher K values, thus making GPUs more effective at higher tree breadths.
For the energy per bit graphs, it is observed that the GPU energy consumption per bit was much less than that of the CPU, i.e., it was 1–2 orders of magnitude lower than that of the CPU implementation. The TDP of the GPU was higher than that of the CPU, as seen in Section 6.2, and the CPU power of 90 watt-sec (power measured when CPU is used for R/W with GPU) was added to the GPU calculations. But, as the overall processing time for the GPU was much lower, the energy consumption per bit decreased drastically. From Figure 8a, we see that the GPU energy per bit was 30–120× less than that of the CPU. This means that the processing latency plays a bigger role than the TDP in deciding the overall energy consumption of the architectures that are being used to implement K-best detection. As the QAM constellation density increases, the difference in the energy per bit values of the CPU and GPU decreases. This is mainly due to the improvement in the energy per bit of the CPU for higher QAM constellations. As the sorting in the CPU was performed using SIMD instructions, the change in QAM density affected the processing time by a small margin. Consequently, as more bits were being processed in a similar time, the energy consumed per bit decreased.
For the GPU implementation, the increase in the number of bits processed scarcely affected the energy per bit values. This is due to the increase in processing time and the increase in the use of shared memory during sorting. Accordingly, the increased processing time and energy consumption offsets the increase in number of bits processed for higher QAM densities. When we observe the energy values for lower K values, the energy per bit values for higher QAM densities were lower. Hence, for small tree breadths due to lower K values, the energy consumption for sorting was very low, and so higher QAM density implementation consumed less energy per bit.
When we look at processing time and energy graphs, the GPU provided lower processing latency and lower energy utilization for every bit processed. Especially, when the tree breadth increases due to higher K values or higher QAM constellation densities, using GPUs can decrease both the processing time and the energy usage. Since there is a high likelihood of utilization of higher QAM constellations and larger K values in practical scenarios, GPUs will be more useful over CPUs due to the aforementioned advantages.

6.3.2. Mimo Configuration Variation

Figure 7a and Figure 9a,b plot the processing time per bit curves, and Figure 8a and Figure 10a,b plot the energy per bit (in Joules) curves for the aforementioned MIMO configurations.
When comparing the processing time per bit for the CPU and GPU implementations, we observe that processing time in the GPU was greatly affected by the variation in MIMO array sizes. Due to smaller local caches and limited shared memory, as well as low clock frequency and higher data transfer latency, the GPU implementation had higher sensitivity to increases in the MIMO array size. Especially since the limited shared memory is utilized in GPUs for storing the K candidate vectors, the amount of memory required increases with the MIMO array size and the K value. The higher use of shared memory for a single tree search means lesser tree searches can be performed in parallel. This means an increased number of reads/writes from/to the global memory, which introduces high latency per tree search. This makes the GPU implementation highly sensitive to changes in the MIMO array size.
For the energy per bit curves, we see that, for the CPU implementation, the energy per bit increased slightly with the increase in the number of antennas. This is mainly due to the increase in processing time. For the GPU, while the processing time increased greatly with increase in MIMO array size, the energy per bit increase was very small. This occurs due to the decrease in the amount of active processing time. Since the amount of R/W time increases during sorting and the movement of data in between the layers of tree search, the threads are inactive for a longer time. This decreases the power consumption of the Streaming Multiprocessors, as they are drawing less power due to being inactive. When we compare the CPU and GPU energy per bit curves, we observe that the difference between the curves increases with increase in the MIMO array size. This is especially seen for the mid-K values, i.e., {4, 8, 16}, where the energy per bit improvement for the GPU implementation was 130× and above. Hence, we can conclude that GPU energy efficiency increases with the increase in the MIMO array size as compared to the CPU implementation. Even though the processing time difference between the CPU and GPU reduced with the increase in MIMO array size, the energy consumption performance of the GPU became better. This makes GPU implementation a more attractive approach for higher order MIMO arrays.
For the case of an increasing MIMO array size, if minimizing or limiting energy consumption is the goal, then GPUs can be used. But, for Extreme/Massive MIMO cases with array sizes 32 × 32 and greater, using GPUs could result in similar or higher processing latency than the CPU. This means that the energy per bit consumption advantage that GPUs have will be overshadowed by the high processing latency. Therefore, for Massive MIMO cases, the architecture utilization will depend in the system requirements, and optimization will be required.

6.4. Soft-Output QAM Detection

Usually, for ASIC (Application-Specific Integrated Circuit) implementations of QAM detectors, the complexity can be ignored, since the processing latency is lower than the latency constraints of the system. But, for implementation in software-based systems like CPUs and GPUs, the processing latency becomes non-negligible and causes high processing overhead. Such high processing latency becomes an important factor in deciding the detection performance. To reduce the K-best detection processing latency, a simple solution would be to reduce the K value. But, that can degrade the error performance. Conversely, for a high number of K values, the QAM detection processing latency will be higher. But, the accuracy of LLR calculation increases, since higher numbers of candidates are selected for the LLR calculations in Equation (10) for the hypothesis, as well as the counter-hypothesis part. The calculated LLRs can be used by the LDPC decoder for increased accuracy while performing error corrections, thus resulting in the requirement of a low number of decoding iterations and better error performance.
We need to balance the processing latency and the error performance, so we considered the combination of the two factors when implementing the K-best QAM detection and LDPC decoder to form a Goodput metric. The Goodput metric, denoted by G, can be given as
G = 1 N t n = 1 N t 1 L f , n ( 1 E f , n )
where L f , n and E f , n are the processing latency and the Frame Error Rate (FER), respectively, for a frame consisting of N f QAM symbols for the nth antenna. Essentially, the Goodput metric considers the processing latency of detection and decoding for each antenna and the Frame Error Rate after performing the detection, error correction, and decoding. To optimize over this Goodput metric, a K value that maximizes it needs to be selected. Hence, the optimization can be shown as
argmax K G
To find this optimal K value, the effect of variation of the K value on factors that affect the tree search processing performance and the decoder error performance require evaluation. This means that the Goodput metric to select the optimal K value is dependent on factors such as the number of antennas of MIMO system, the QAM constellation density, and the rate of the LDPC decoder. We evaluated the performance of parallel implementations of the soft-output detection system and the LDPC decoder, and we plotted the effects of varying the aforementioned factors.

6.4.1. QAM Constellation Density Variation

For the first simulation, the QAM constellation density was varied from 4 QAM (QPSK) to 64 QAM. The MIMO configuration value was kept to 16 × 16, and the LDPC rate was kept to 1/2. Figure 11a–c show the Goodput vs. SNR plots for K value variation. An envelope curve, which shows the maximum Goodput value, is plotted alongside the K-value curves.
For each constellation density, it is observed that higher K values were required to maximize the Goodput value at lower SNRs. This is due to the high number of candidate symbols required after detection for accurate LLR calculation required for error correction and decoding with a low number of decoder iterations. The maximum attainable Goodput value was also limited due to the high computational complexity of QAM detection. At higher SNRs, the error performance improvement was very low, while the processing time increased highly with the increase in K values. This means that low K values must be used to improve Goodput.
For the {16, 64} QAM plots, as the Goodput values only exist at higher SNRs, the plots focused only on higher SNR values. Due to the increased effect of additive noise, the FER for denser QAM constellations was worse at low SNRs. To have the same Goodput performance as that of lower density QAM constellations, higher K values will be required for higher QAM constellation values. For the same range of K, not only was the FER for denser constellations higher, the computational complexity also increased due to the higher tree breadth values, i.e., higher K q values. Also, we observe that the processing time varied minimally with respect to the changes in constellation density. Therefore, the variation in Goodput values were mainly affected due to high FER and processing times due to the high number of LDPC decoder iterations.
From the Goodput curves, it can be seen that for software-based architectures parameters like the K value, the QAM constellation density and SNR heavily affected the system performance. If ASICs are used instead of CPUs or GPUs, while the SNR can still affect the system performance, the effect of parameters that change the tree breadth can be reduced heavily. This means that as the effect of computational complexity is reduced, it only affects the error performance of the algorithm. But for general-purpose architectures, as seen from the Goodput curves, both the computational complexity and the error performance affect the system performance.

6.4.2. MIMO Configuration Variation

We then varied the MIMO configurations, where the array sizes for the transmitter and receiver were increased to 24 and 32. The QAM constellation density was kept to 4, and the LDPC rate was kept to 1/2. Figure 11a and Figure 12a,b show the Goodput vs. SNR plots for 16 × 16, 24 × 24, and 32 × 32 MIMO, respectively.
We see that that the Goodput values decreased with increasing MIMO array sizes. This is mainly due to the iterative nature of the tree search, which increases the processing latency. We observe from the processing time plots that the increasing MIMO configurations exponentially increased the processing time per bit. This makes Massive MIMO configurations very expensive processingwise. If the same Goodput value is required for any array size, then the processing latency has to be reduced drastically and eliminated as the deciding factor so that higher K values can be used for larger MIMO configurations without affecting the Goodput value.
For specialized architectures, the algorithms can be designed with maximum values of all the parameters being considered. Consequently, the maximum tree search depth based on the number of antennas can be considered while designing an ASIC, and the effect of higher computational complexity can be minimized for the overall processing latency. But, as seen from the Goodput curves, the same cannot occur for general-purpose architectures. Hence, based on the current Goodput curves, general-purpose architectures can be used at higher SNRs and for small to medium antenna array sizes, i.e., 8–16 antennas per array.

6.4.3. LDPC Rate Variation

We then simulated the variation in the LDPC rate while keeping the QAM constellation density to 4 and the MIMO configuration to 16 × 16. Figure 11a and Figure 13a,b show the Goodput vs. SNR plots for {1/2, 5/8, 3/4} rates of the LDPC, respectively. We did not consider the processing time and energy efficiency comparison separately for this simulation, since we were only considering those comparisons for hard-output detection.
For the plots shown in the aforementioned figures, the Goodput performance is observed to be directly proportional to the LDPC rate. Since the number of LDPC iterations and the computations per iteration were found to affect the processing latency, as the LDPC rate increased, the processing latency decreased drastically. Utilizing higher LDPC rates with lower QAM constellation densities will be better for both the computational complexity and the error performance, as it will increase the system Goodput. This means that the overall detection and decoder performance is heavily affected by the processing latency, whereas the effect of increased reliability is negligible.
If an ASIC implementation was used as part of the system, the LDPC error performance would have been the deciding factor for the LDPC rate to be utilized, since the processing latency can be negligible. But, the high processing time in CPUs and GPUs makes it crucial to consider processing latency as an important factor. When deploying systems with general-purpose computing at the backend, choosing a higher rate for the decoder with a lower constellation density will give better performance via an increase in the Goodput.

7. Conclusions and Future Work

In this paper, we implemented hard-output and soft-output K-best QAM detection algorithms in CPUs and GPUs. We utilized the multicore and SIMD models in the CPU for parallel implementation. For the GPU implementation, we used the Warp-based execution model of the GPU to reduce the dependence on shared memory for parallel implementation. We used Warp shuffle commands for the reduction in read/write latency during interthread communication. To evaluate the performance of the GPU implementation, we measured the processing latency and the energy consumption for hard-output K-best detection in the CPUs and GPUs.
We then combined the soft-output QAM detection with a multicore LDPC implementation in the CPU. To consider the tradeoff between the processing latency and error performance, we proposed a Goodput metric. We evaluated the performance of K-best QAM detection for various K values, QAM constellation densities, MIMO array sizes, and LDPC decoder rates.
The current parallel reduction method and the sensitivity of GPU implementation to the MIMO array size variation can be a limiting factor for very large MIMO arrays. This is mainly because of the higher data transfer latency occurring due to higher shared memory usage. To deal with the aforementioned issues, parallel sorting algorithms like Bitonic sort need to be implemented and evaluated. Also, the exploration of better distributions of the tree search amongst the Warps while considering the high utilization of shared memory is required.
The implementations shown throughout the paper considered a single server with the assumption that a single CPU or GPU was being utilized. While parallel implementation can accelerate the processing throughput of the implementations, the limited processing resources can create an upper bound to the achievable acceleration. For such situations, distributed multiserver systems consisting of heterogeneous architectures like CPUs and GPUs need to be explored. The performance evaluation of detection and decoding algorithms is required for such distributed systems.

Author Contributions

Conceptualization, B.G., J.L., Z.L., D.S. and I.S.; methodology, B.G., J.L. and Z.L.; software, B.G.; validation, B.G., J.L. and Z.L.; formal analysis, B.G., J.L. and Z.L.; data curation, B.G.; writing—original draft preparation, B.G.; writing—review and editing, B.G., J.L., Z.L., D.S. and I.S.; visualization, B.G., J.L., Z.L., D.S. and I.S.; supervision, J.L., Z.L., D.S. and I.S. All authors have read and agreed to the published version of the manuscript.

Funding

This research received no external funding.

Data Availability Statement

The original contributions presented in the study are included in the article. Please contact the authors for data and code availability.

Conflicts of Interest

The authors declare no conflict of interest.

References

  1. Li, K.; Sharan, R.R.; Chen, Y.; Goldstein, T.; Cavallaro, J.R.; Studer, C. Decentralized baseband processing for massive MU-MIMO systems. IEEE J. Emerg. Sel. Top. Circuits Syst. 2017, 7, 491–507. [Google Scholar] [CrossRef]
  2. Li, K.; Castañeda, O.; Jeon, C.; Cavallaro, J.R.; Studer, C. Decentralized Coordinate-Descent Data Detection and Precoding for Massive MU-MIMO. In Proceedings of the 2019 IEEE International Symposium on Circuits and Systems (ISCAS), Sapporo, Japan, 26–29 May 2019; pp. 1–5. [Google Scholar] [CrossRef][Green Version]
  3. Li, K. GPU Accelerated Reconfigurable Detector and Precoder for Massive MIMO SDR Systems. Ph.D. Thesis, Rice University, Houston, TX, USA, 2015. [Google Scholar]
  4. Albataineh, Z. Low-Complexity Near-Optimal Iterative Signal Detection Based on MSD-CG Method for Uplink Massive MIMO Systems. Wirel. Pers. Commun. 2021, 116, 2549–2563. [Google Scholar] [CrossRef]
  5. Ramiro, C.; Simarro, M.Á.; Gonzalez, A.; Vidal, A.M. Parallel SUMIS soft detector for large MIMO systems on multicore and GPU. J. Supercomput. 2019, 75, 1256–1267. [Google Scholar] [CrossRef]
  6. Ding, J.; Doost-Mohammady, R.; Kalia, A.; Zhong, L. Agora: Real-time massive MIMO baseband processing in software. In Proceedings of the 16th International Conference on Emerging Networking EXperiments and Technologies, Barcelona, Spain, 1–4 December 2020; pp. 232–244. [Google Scholar]
  7. Gokalgandhi, B.; Segerholm, C.; Paul, N.; Seskar, I. Accelerating channel estimation and demodulation of uplink OFDM symbols for large scale antenna systems using GPU. In Proceedings of the 2019 International Conference on Computing, Networking and Communications (ICNC), Honolulu, HI, USA, 18–21 February 2019; IEEE: Piscataway, NJ, USA, 2019; pp. 955–959. [Google Scholar]
  8. Hassibi, B.; Vikalo, H. On the sphere-decoding algorithm I. Expected complexity. IEEE Trans. Signal Process. 2005, 53, 2806–2818. [Google Scholar] [CrossRef]
  9. Mondal, S.; Eltawil, A.; Shen, C.A.; Salama, K.N. Design and implementation of a sort-free K-best sphere decoder. IEEE Trans. Very Large Scale Integr. (VLSI) Syst. 2009, 18, 1497–1501. [Google Scholar] [CrossRef]
  10. Kim, M. A Design of Fixed-Complexity Sphere Decoder Combined with Interference Mitigation Algorithm for Downlink MU-MIMO Systems. IEEE Access 2022, 10, 107888–107900. [Google Scholar] [CrossRef]
  11. M G, G.; T, S.; Cherian, R. FPGA Implementation of Sphere Decoding in MIMO Systems: Challenges Solutions and Design issues. In Proceedings of the 2023 IEEE International Conference on Recent Advances in Systems Science and Engineering (RASSE), Kerala, India, 8–11 November 2023; pp. 1–8. [Google Scholar] [CrossRef]
  12. Hassan, M.W.; Dabah, A.; Ltaief, H.; Fahmy, S.A. Signal Detection for Large MIMO Systems Using Sphere Decoding on FPGAs. In Proceedings of the 2023 IEEE International Parallel and Distributed Processing Symposium (IPDPS), St. Petersburg, FL, USA, 15–19 May 2023; pp. 102–111. [Google Scholar] [CrossRef]
  13. Husmann, C.; Georgis, G.; Nikitopoulos, K.; Jamieson, K. {FlexCore}: Massively Parallel and Flexible Processing for Large {MIMO} Access Points. In Proceedings of the 14th USENIX Symposium on Networked Systems Design and Implementation (NSDI 17), Boston, MA, USA, 27–29 March 2017; pp. 197–211. [Google Scholar]
  14. Nikitopoulos, K.; Chatzipanagiotis, D.; Jayawardena, C.; Tafazolli, R. MultiSphere: Massively Parallel Tree Search for Large Sphere Decoders. In Proceedings of the 2016 IEEE Global Communications Conference (GLOBECOM), Washington, DC, USA, 4–8 December 2016; pp. 1–6. [Google Scholar] [CrossRef]
  15. Arfaoui, M.A.; Ltaief, H.; Rezki, Z.; Alouini, M.S.; Keyes, D. Efficient sphere detector algorithm for massive MIMO using GPU hardware accelerator. Procedia Comput. Sci. 2016, 80, 2169–2180. [Google Scholar] [CrossRef]
  16. Studer, C.; Bölcskei, H. Soft–Input Soft–Output Single Tree-Search Sphere Decoding. IEEE Trans. Inf. Theory 2010, 56, 4827–4842. [Google Scholar] [CrossRef]
  17. Papa, G.; Ciuonzo, D.; Romano, G.; Salvo Rossi, P. A Dominance-Based Soft-Input Soft-Output MIMO Detector with Near-Optimal Performance. IEEE Trans. Commun. 2014, 62, 4320–4335. [Google Scholar] [CrossRef]
  18. Khairy, M.S.; Mehlführer, C.; Rupp, M. Boosting sphere decoding speed through graphic processing units. In Proceedings of the 2010 European Wireless Conference (EW), Lucca, Italy, 12–15 April 2010; IEEE: Piscataway, NJ, USA, 2010; pp. 99–104. [Google Scholar]
  19. Roger, S.; Ramiro, C.; Gonzalez, A.; Almenar, V.; Vidal, A.M. An efficient GPU implementation of fixed-complexity sphere decoders for MIMO wireless systems. Integr. Comput.-Aided Eng. 2012, 19, 341–350. [Google Scholar] [CrossRef]
  20. Wang, H.; Chen, M. A fixed-complexity sphere decoder for MIMO systems on graphics processing units. In Proceedings of the 2010 2nd International Conference on Information Engineering and Computer Science, Wuhan, China, 25–26 December 2010; IEEE: Piscataway, NJ, USA, 2010; pp. 1–4. [Google Scholar]
  21. Roger, S.; Ramiro, C.; Gonzalez, A.; Almenar, V.; Vidal, A.M. Fully parallel GPU implementation of a fixed-complexity soft-output MIMO detector. IEEE Trans. Veh. Technol. 2012, 61, 3796–3800. [Google Scholar] [CrossRef]
  22. Chen, T.; Leib, H. GPU acceleration for fixed complexity sphere decoder in large MIMO uplink systems. In Proceedings of the 2015 IEEE 28th Canadian Conference on Electrical and Computer Engineering (CCECE), Halifax, NS, Canada, 3–6 May 2015; IEEE: Piscataway, NJ, USA, 2015; pp. 771–777. [Google Scholar]
  23. Dabah, A.; Ltaief, H.; Rezki, Z.; Arfaoui, M.A.; Alouini, M.S.; Keyes, D. Performance/Complexity Trade-offs of the Sphere Decoder Algorithm for Massive MIMO Systems. arXiv 2020, arXiv:2002.09561. [Google Scholar]
  24. Mishra, P.; Singh, G. K Best Sphere Decoders for Massive MIMO Receivers. In Proceedings of the 2022 5th International Conference on Multimedia, Signal Processing and Communication Technologies (IMPACT), Aligarh, India, 26–27 November 2022; pp. 1–5. [Google Scholar] [CrossRef]
  25. Liu, Y.X.; Jihang, S.J.; Ueng, Y.L. An Efficient K-Best MIMO Detector for Large Modulation Constellations. IEEE Open J. Circuits Syst. 2024, 5, 2–16. [Google Scholar] [CrossRef]
  26. Ramiro, C.; Vidal, A.M.; Gonzalez, A. MIMOPack: A high-performance computing library for MIMO communication systems. J. Supercomput. 2015, 71, 751–760. [Google Scholar] [CrossRef]
  27. Jenkal, R.; Davis, R. An architecture for energy efficient sphere decoding. In Proceedings of the 2007 International Symposium on Low Power Electronics and Design, Portland, OR, USA, 27–29 August 2007; pp. 244–249. [Google Scholar]
  28. Wu, Y.; McAllister, J. Energy-Efficient Adaptive Modulated Fixed-Complexity Sphere Decoder. In Proceedings of the 2021 IEEE Workshop on Signal Processing Systems (SiPS), Coimbra, Portugal, 19–21 October 2021; IEEE: Piscataway, NJ, USA, 2021; pp. 82–87. [Google Scholar]
  29. Guo, Z.; Nilsson, P. Algorithm and implementation of the K-best sphere decoding for MIMO detection. IEEE J. Sel. Areas Commun. 2006, 24, 491–503. [Google Scholar]
  30. Fossorier, M.P.; Mihaljevic, M.; Imai, H. Reduced complexity iterative decoding of low-density parity check codes based on belief propagation. IEEE Trans. Commun. 1999, 47, 673–680. [Google Scholar] [CrossRef]
  31. Gokalgandhi, B.; Seskar, I. Distributed Processing for Encoding and Decoding of Binary LDPC codes using MPI. In Proceedings of the IEEE INFOCOM 2019-IEEE Conference on Computer Communications Workshops (INFOCOM WKSHPS), Paris, France, 29 April–2 May 2019; IEEE: Piscataway, NJ, USA, 2019; pp. 596–601. [Google Scholar]
  32. NVIDIA; Vingelmann, P.; Fitzek, F.H. CUDA, Release: 10.2.89. 2020. Available online: https://developer.nvidia.com/cuda-toolkit (accessed on 11 June 2024).
  33. NVIDIA; Lin, Y.; Grover, V. Using CUDA Warp-Level Primitives. 2018. Available online: https://developer.nvidia.com/blog/using-cuda-warp-level-primitives/ (accessed on 11 June 2024).
  34. Gallager, R. Low-density parity-check codes. IRE Trans. Inf. Theory 1962, 8, 21–28. [Google Scholar] [CrossRef]
  35. Raychaudhuri, D.; Seskar, I.; Ott, M.; Ganu, S.; Ramachandran, K.; Kremo, H.; Siracusa, R.; Liu, H.; Singh, M. Overview of the ORBIT radio grid testbed for evaluation of next-generation wireless network protocols. In Proceedings of the IEEE Wireless Communications and Networking Conference, New Orleans, LA, USA, 13–17 March 2005; IEEE: Piscataway, NJ, USA, 2005; Volume 3, pp. 1664–1669. [Google Scholar]
  36. Dagum, L.; Menon, R. OpenMP: An industry standard API for shared-memory programming. IEEE Comput. Sci. Eng. 1998, 5, 46–55. [Google Scholar] [CrossRef]
  37. Intel Intrinsics Guide. 2021. Available online: https://www.intel.com/content/www/us/en/docs/intrinsics-guide/index.html (accessed on 11 June 2024).
Figure 1. Illustration of tree search for 3 × 3 MIMO and BPSK. The distance d i value is updated as shown in Equations (7) and (8).
Figure 1. Illustration of tree search for 3 × 3 MIMO and BPSK. The distance d i value is updated as shown in Equations (7) and (8).
Electronics 13 02775 g001
Figure 2. Illustration of BFS-based tree search performed for K-best detection. The example is for 16 QAM constellation, and K = 2 .
Figure 2. Illustration of BFS-based tree search performed for K-best detection. The example is for 16 QAM constellation, and K = 2 .
Electronics 13 02775 g002
Figure 3. BER comparison of ZF, MMSE, ML, Sphere decoding, and K-best QAM detection algorithms.
Figure 3. BER comparison of ZF, MMSE, ML, Sphere decoding, and K-best QAM detection algorithms.
Electronics 13 02775 g003
Figure 4. Soft-output decoder with K-best QAM detection and LDPC decoding.
Figure 4. Soft-output decoder with K-best QAM detection and LDPC decoding.
Electronics 13 02775 g004
Figure 5. Parallel implementation of the tree search in multicore CPU with N c o r e s cores (threads) and N T c SIMD processing elements.
Figure 5. Parallel implementation of the tree search in multicore CPU with N c o r e s cores (threads) and N T c SIMD processing elements.
Electronics 13 02775 g005
Figure 6. (a) CUDA architecture overview. Reprinted/adapted with permission from Ref. [7]. 2019, IEEE, and (b) Warp-wise execution in an Nvidia GPU.
Figure 6. (a) CUDA architecture overview. Reprinted/adapted with permission from Ref. [7]. 2019, IEEE, and (b) Warp-wise execution in an Nvidia GPU.
Electronics 13 02775 g006
Figure 7. Processing time vs. K value for 16 × 16 MIMO and various QAM constellation densities.
Figure 7. Processing time vs. K value for 16 × 16 MIMO and various QAM constellation densities.
Electronics 13 02775 g007
Figure 8. Energy consumption vs. K value for 16 × 16 MIMO and various QAM constellation densities.
Figure 8. Energy consumption vs. K value for 16 × 16 MIMO and various QAM constellation densities.
Electronics 13 02775 g008
Figure 9. Processing time vs. K value for 4 QAM and various MIMO confgurations.
Figure 9. Processing time vs. K value for 4 QAM and various MIMO confgurations.
Electronics 13 02775 g009
Figure 10. Energy consumption vs. K value for 4 QAM and various MIMO configurations.
Figure 10. Energy consumption vs. K value for 4 QAM and various MIMO configurations.
Electronics 13 02775 g010
Figure 11. Goodput vs. SNR plots. 16 × 16 MIMO and 1/2-rate LDPC.
Figure 11. Goodput vs. SNR plots. 16 × 16 MIMO and 1/2-rate LDPC.
Electronics 13 02775 g011
Figure 12. Goodput plots for 4 QAM and 1/2-rate LDPC.
Figure 12. Goodput plots for 4 QAM and 1/2-rate LDPC.
Electronics 13 02775 g012
Figure 13. Goodput vs. SNR for 4 QAM, 16 × 16 MIMO, and {5/8, 3/4}-rate LDPC.
Figure 13. Goodput vs. SNR for 4 QAM, 16 × 16 MIMO, and {5/8, 3/4}-rate LDPC.
Electronics 13 02775 g013
Table 1. Summary of related works described in Section 2.
Table 1. Summary of related works described in Section 2.
Ref. No.AlgorithmComputing SystemSummary
[10]FCSDASIC/VLSIHigh-throughput MIMO implementation.
[11]SDFPGAProvides summary of SD implementations in FPGA.
[12]SDFPGAOptimized FPGA implementation. High-throughput, Low-power consumption.
[13]FCSDGPU, FPGAHigh-throughput, energy efficient implementation for 12 × 12 MIMO scenario.
[14]SDVLSINovel implementation and parallelization methods for tree search.
[15]SDGPUParallel implementation for 25 × 50 MIMO and various QAM constellations.
[16]SDSimulationNovel SISO sphere detection for low complexity.
[17]SDSimulationNovel SISO MIMO detection algorithm that uses channel information and a priori statistics of input data.
[18,19]FCSDCPU, GPUParallel implementation of hard- and soft-output for MIMO-OFDM scenario.
[20]FCSDGPUImplementation and acceleration for flat fading MIMO scenario.
[21]FCSDCPU, GPUCombined implementation in CPU and GPU with preprocessing in CPU and algorithm in GPU.
[22]FCSDGPUParallel implementation for uplink MIMO scenario.
[23]SD/
K-best hybrid
CPUTradeoff analysis for an implementation of Sphere Decoder in GPUs for Massive MIMO scenario.
[24]K-bestSimulationExploration of K-best QAM detection for various Massive MIMO configurations till 128 × 128.
[25]K-bestASIC/VLSIImplementation of novel K-best QAM detection and testing for high QAM constellation and 4 × 4 MIMO scenario.
[26]K-bestCPU, GPUSplit processing-based implementation with sorting-based operations done in CPU and nonsorting-based operations done in GPU.
[27,28]SDASIC/FPGAAnalysis of Sphere decoding from the energy consumption perspective.
Table 2. Simulation parameters.
Table 2. Simulation parameters.
ParametersValues
MIMO configurations16 × 16, 24 × 24, 32 × 32
QAM Constellation density (q)4, 16, 64
K value1–32
SNR (dB)0–30
LDPC encoded frame size1024
LDPC rate1/2, 5/8, 3/4
No. of encoded LDPC frames per antenna1000
No. of max. LDPC decoder iterations20
Disclaimer/Publisher’s Note: The statements, opinions and data contained in all publications are solely those of the individual author(s) and contributor(s) and not of MDPI and/or the editor(s). MDPI and/or the editor(s) disclaim responsibility for any injury to people or property resulting from any ideas, methods, instructions or products referred to in the content.

Share and Cite

MDPI and ACS Style

Gokalgandhi, B.; Ling, J.; Latinović, Z.; Samardzija, D.; Seskar, I. Parallel Implementation of K-Best Quadrature Amplitude Modulation Detection for Massive Multiple Input Multiple Output Systems. Electronics 2024, 13, 2775. https://doi.org/10.3390/electronics13142775

AMA Style

Gokalgandhi B, Ling J, Latinović Z, Samardzija D, Seskar I. Parallel Implementation of K-Best Quadrature Amplitude Modulation Detection for Massive Multiple Input Multiple Output Systems. Electronics. 2024; 13(14):2775. https://doi.org/10.3390/electronics13142775

Chicago/Turabian Style

Gokalgandhi, Bhargav, Jonathan Ling, Zoran Latinović, Dragan Samardzija, and Ivan Seskar. 2024. "Parallel Implementation of K-Best Quadrature Amplitude Modulation Detection for Massive Multiple Input Multiple Output Systems" Electronics 13, no. 14: 2775. https://doi.org/10.3390/electronics13142775

APA Style

Gokalgandhi, B., Ling, J., Latinović, Z., Samardzija, D., & Seskar, I. (2024). Parallel Implementation of K-Best Quadrature Amplitude Modulation Detection for Massive Multiple Input Multiple Output Systems. Electronics, 13(14), 2775. https://doi.org/10.3390/electronics13142775

Note that from the first issue of 2016, this journal uses article numbers instead of page numbers. See further details here.

Article Metrics

Back to TopTop