Predefined-Time Adaptive Fast Terminal Sliding Mode Control of Aerial Manipulation Based on a Nonlinear Disturbance Observer
Abstract
1. Introduction
- (1)
- The disturbance observer has a certain degree of error, and some error value is related to the initial error, which leads to the selection of the initial value of the general disturbance observer being strict; otherwise, it may not converge.
- (2)
- The error convergence of the disturbance observer takes time and may not be achieved under the constraint of a predefined time.
- (3)
- The controller of some systems cannot make the system stable in the predefined time, which means that some sliding mode controllers cannot meet the requirements in some cases with convergence time requirements.
- (4)
- In sliding mode control, a small coefficient of sign function leads to slow convergence speed, but a large coefficient leads to increased chattering, and the setting of its value needs to be supported by engineering experience.
- (1)
- Compared to conventional nonlinear disturbance observers [15], where the error convergence time is uncertain and dependent on the selection of initial values, we develop a disturbance observer capable of guaranteeing estimation convergence to actual value within the given predefined time.
- (2)
- In contrast to conventional controllers [27] where the stabilization time is influenced by the system’s initial state or parameters, we design PT-AFTSMC with a predefined time sliding mode surface. When reaching the predefined time sliding mode surface, system slides to equilibrium point within predefined time. This controller ensures that the system stabilizes within the given predefined time, regardless of the initial conditions or system parameters.
- (3)
- PT-AFTSMC includes an adaptive gain. As it is a quantity that varies with the system state, it cannot only acclerate the convergence of the system, but can also reduce the chattering phenomenon.
2. Preliminaries
2.1. Kinematic Modeling of an Aerial Manipulation System
2.2. Dynamic Modeling of Aerial Manipulation
2.3. Predefined-Time Stable System
2.4. Mathematical Lemmas
3. Design of Predefined Time Nonlinear Disturbance Observer
4. Controller Design
4.1. Design of ANFTSMC
4.2. Design of PT-AFTSMC
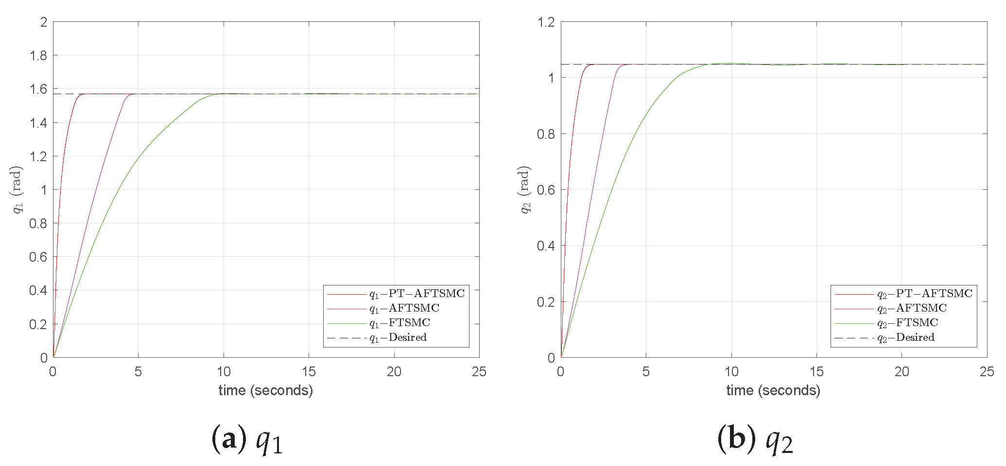
5. Simulation Results
6. Conclusions
Author Contributions
Funding
Data Availability Statement
Conflicts of Interest
References
- Labbadi, M.; Cherkaoui, M. Robust adaptive backstepping fast terminal sliding mode controller for uncertain quadrotor UAV. Aerosp. Sci. Technol. 2019, 93, 105306. [Google Scholar] [CrossRef]
- Zheng, X.; Yu, X.; Yang, X.; Zheng, W.X. Adaptive NN Zeta-Backstepping Control with Its Application to a Quadrotor Hover. IEEE Trans. Circuits Syst. Express Briefs 2024, 71, 747–751. [Google Scholar] [CrossRef]
- Faiçal, B.S.; Costa, F.G.; Pessin, G.; Ueyama, J.; Freitas, H.; Colombo, A.; Fini, P.H.; Villas, L.; Osório, F.S.; Vargas, P.A.; et al. The use of unmanned aerial vehicles and wireless sensor networks for spraying pesticides. J. Syst. Archit. 2014, 60, 393–404. [Google Scholar] [CrossRef]
- Zhang, M.; Li, X. Drone-Enabled Internet-of-Things Relay for Environmental Monitoring in Remote Areas without Public Networks. IEEE Internet Things J. 2020, 7, 7648–7662. [Google Scholar] [CrossRef]
- Zhu, Q.; Dinh, T.H.; Phung, M.D.; Ha, Q.P. Hierarchical Convolutional Neural Network with Feature Preservation and Autotuned Thresholding for Crack Detection. IEEE Access 2021, 9, 60201–60214. [Google Scholar] [CrossRef]
- Wang, W.; Shen, Z.; Zhou, Z. A Novel Vision- and Radar-Based Line Tracking Assistance System for Drone Transmission Line Inspection. Remote Sens. 2024, 16, 355. [Google Scholar] [CrossRef]
- Ahmadian, N.; Lim, G.J.; Torabbeigi, M.; Kim, S.J. Smart border patrol using drones and wireless charging system under budget limitation. Comput. Ind. Eng. 2022, 164, 107891. [Google Scholar] [CrossRef]
- Liu, J.; Zhang, D.; Chen, Y.; Xia, Z.; Wu, C. Design of a class of generalized parallel mechanisms for adaptive landing and aerial manipulation. Mech. Mach. Theory 2022, 170, 104692. [Google Scholar] [CrossRef]
- Samadikhoshkho, Z.; Ghorbani, S.; Janabi-Sharifi, F. Vision-based reduced-order adaptive control of aerial continuum manipulation systems. Aerosp. Sci. Technol. 2022, 121, 107322. [Google Scholar] [CrossRef]
- Emami, S.A.; Banazadeh, A. Simultaneous trajectory tracking and aerial manipulation using a multi-stage model predictive control. Aerosp. Sci. Technol. 2021, 112, 106573. [Google Scholar] [CrossRef]
- Ding, L.; Zhu, G.; Li, Y.; Wang, Y. Cable-Driven Unmanned Aerial Manipulator Systems for Water Sampling: Design, Modeling, and Control. Drones 2023, 7, 450. [Google Scholar] [CrossRef]
- Kim, S.; Choi, S.; Kim, H.J. Aerial manipulation using a quadrotor with a two DOF robotic arm. In Proceedings of the 2013 IEEE/RSJ International Conference on Intelligent Robots and Systems, Tokyo, Japan, 3–7 November 2013; pp. 4990–4995. [Google Scholar] [CrossRef]
- Zheng, X.; Yu, X.; Yang, X.; Rodriguez-Andina, J.J. Practical Finite-Time Command-Filtered Adaptive Backstepping with Its Applications to Quadrotor Hovers. IEEE Trans. Cybern. 2024, 54, 3017–3029. [Google Scholar] [CrossRef] [PubMed]
- Zheng, X.; Yu, X.; Jiang, J.; Yang, X. Practical Finite-Time Command Filtered Backstepping with its Application to DC Motor Control Systems. IEEE Trans. Ind. Electron. 2024, 71, 2955–2964. [Google Scholar] [CrossRef]
- Cao, H.; Li, Y.; Liu, C.; Zhao, S. ESO-Based Robust and High-Precision Tracking Control for Aerial Manipulation. IEEE Trans. Autom. Sci. Eng. 2024, 21, 2139–2155. [Google Scholar] [CrossRef]
- Hocaoglu, Y.; Mumcuoglu, M.E.; Unel, M. Disturbance Observer Based Fault Tolerant Control of a Quadrotor Helicopter. In Proceedings of the IECON 2021—47th Annual Conference of the IEEE Industrial Electronics Society, Toronto, ON, Canada, 13–16 October 2021; pp. 1–6. [Google Scholar] [CrossRef]
- Pounds, P.E.I.; Dollar, A.M. Stability of Helicopters in Compliant Contact Under PD-PID Control. IEEE Trans. Robot. 2014, 30, 1472–1486. [Google Scholar] [CrossRef]
- Kutia, J.R.; Stol, K.A.; Xu, W. Aerial Manipulator Interactions with Trees for Canopy Sampling. IEEE-ASME Trans. Mechatron. 2018, 23, 1740–1749. [Google Scholar] [CrossRef]
- Hua, H.; Fang, Y.; Zhang, X.; Qian, C. Auto-tuning nonlinear PID-type controller for rotorcraft-based aggressive transportation. Mech. Syst. Signal Process. 2020, 145, 106858. [Google Scholar] [CrossRef]
- Erbatur, K.; Kaynak, M.; Sabanovic, A. A study on robustness property of sliding-mode controllers: A novel design and experimental investigations. IEEE Trans. Ind. Electron. 1999, 46, 1012–1018. [Google Scholar] [CrossRef]
- Šabanovic, A. Variable Structure Systems with Sliding Modes in Motion Control—A Survey. IEEE Trans. Ind. Inform. 2011, 7, 212–223. [Google Scholar] [CrossRef]
- Herman, P. Model Simplification for Asymmetric Marine Vehicles in Horizontal Motion-Verification of Selected Tracking Control Algorithms. Electronics 2024, 13, 1820. [Google Scholar] [CrossRef]
- Utkin, V.I. Sliding Modes in Control and Optimization; Communications and Control Engineering Series; Springer: Berlin/Heidelberg, Germany, 1992. [Google Scholar]
- Feng, Y.; Han, F.; Yu, X. Chattering free full-order sliding-mode control. Automatica 2014, 50, 1310–1314. [Google Scholar] [CrossRef]
- Fang, Q.; Mao, P.; Shen, L.; Wang, J. A global fast terminal sliding mode control for trajectory tracking of unmanned aerial manipulation. Meas. Control 2023, 56, 763–776. [Google Scholar] [CrossRef]
- Chen, Y.; Liang, J.; Wu, Y.; Miao, Z.; Zhang, H.; Wang, Y. Adaptive Sliding-Mode Disturbance Observer-Based Finite-Time Control for Unmanned Aerial Manipulator with Prescribed Performance. IEEE Trans. Cybern. 2023, 53, 3263–3276. [Google Scholar] [CrossRef]
- Liu, H.; Zhang, T. Neural network-based robust finite-time control for robotic manipulators considering actuator dynamics. Robot. Comput.-Integr. Manuf. 2013, 29, 301–308. [Google Scholar] [CrossRef]
- Bonyan Khamseh, H.; Ghorbani, S.; Janabi-Sharifi, F. Unscented Kalman filter state estimation for manipulating unmanned aerial vehicles. Aerosp. Sci. Technol. 2019, 92, 446–463. [Google Scholar] [CrossRef]
- Xu, W.; Cao, L.; Peng, B.; Wang, L.; Gen, C.; Liu, Y. Adaptive Nonsingular Fast Terminal Sliding Mode Control of Aerial Manipulation Based on Nonlinear Disturbance Observer. Drones 2023, 7, 88. [Google Scholar] [CrossRef]
- Al-Darraji, I.; Piromalis, D.; Kakei, A.A.; Khan, F.Q.; Stojemnovic, M.; Tsaramirsis, G.; Papageorgas, P.G. Adaptive Robust Controller Design-Based RBF Neural Network for Aerial Robot Arm Model. Electronics 2021, 10, 831. [Google Scholar] [CrossRef]
- Xu, Y.; Gu, H.; Sun, J.; Zhang, J.; Imani, H. Surge and stall instabilities finite-time control of nonlinear uncertain-disturbed compression system by using a novel robust approach. Automatika 2024, 65, 1050–1060. [Google Scholar] [CrossRef]
- Moulay, E.; Lechappe, V.; Bernuau, E.; Defoort, M.; Plestan, F. Fixed-time sliding mode control with mismatched disturbances. Automatica 2022, 136, 110009. [Google Scholar] [CrossRef]
- Muñoz-Vázquez, A.J.; Sánchez-Torres, J.D.; Jiménez-Rodríguez, E.; Loukianov, A.G. Predefined-Time Robust Stabilization of Robotic Manipulators. IEEE/ASME Trans. Mechatron. 2019, 24, 1033–1040. [Google Scholar] [CrossRef]
- Zhai, G.; Zhang, J.; Wu, S.; Wang, Y. Predefined-Time Tracking Control of Unmanned Surface Vehicle under Complex Time-Varying Disturbances. Electronics 2024, 13, 1510. [Google Scholar] [CrossRef]
- Yang, L.; Yang, J. Nonsingular fast terminal sliding-mode control for nonlinear dynamical systems. Int. J. Robust Nonlinear Control 2011, 21, 1865–1879. [Google Scholar] [CrossRef]
- Zhang, M.; Zang, H.; Bai, L. A new predefined time sliding mode control scheme for synchronizing chaotic systems. Chaos Solitons Fractals 2022, 164, 112745. [Google Scholar] [CrossRef]
- Sun, R.; Zhou, Z.; Zhu, X. Finite-time terminal sliding mode attitude control for tailless full-wing configuration UAVs based on extended state observers and auxiliary compensators. ISA Trans. 2024, 144, 282–307. [Google Scholar] [CrossRef]
- Wang, L.; Zou, M.; Guo, W.; Alsubaie, H.; Alotaibi, A.; Taie, R.O.A.; Jahanshahi, H. Adaptive Discontinuous Control for Fixed-Time Consensus of Nonlinear Multi-Agent Systems. Electronics 2022, 11, 3545. [Google Scholar] [CrossRef]





| Character | Definition | Value |
|---|---|---|
| the mass of airframe | 2 kg | |
| the mass of mechanical arm joint 1 | 0.5 kg | |
| the mass of mechanical arm joint 2 | 0.5 kg | |
| the inertial moment of airframe along x-axis | 1.24 kg | |
| the inertial moment of airframe along y-axis | 1.24 kg | |
| the inertial moment of airframe along z-axis | 2.48 kg | |
| the inertial moment of mechanical arm joint 1 along x-axis | 0.001 kg | |
| the inertial moment of mechanical arm joint 1 along y-axis | 0.001 kg | |
| the inertial moment of mechanical arm joint 1 along z-axis | 0 | |
| the inertial moment of mechanical arm joint 2 along x-axis | 0.001 kg | |
| the inertial moment of mechanical arm joint 2 along y-axis | 0.001 kg | |
| the inertial moment of mechanical arm joint 2 along z-axis | 0 | |
| the extent of mechanical arm joint 1 | 0.15 m | |
| the extent of mechanical arm joint 2 | 0.15 m |
Disclaimer/Publisher’s Note: The statements, opinions and data contained in all publications are solely those of the individual author(s) and contributor(s) and not of MDPI and/or the editor(s). MDPI and/or the editor(s) disclaim responsibility for any injury to people or property resulting from any ideas, methods, instructions or products referred to in the content. |
© 2024 by the authors. Licensee MDPI, Basel, Switzerland. This article is an open access article distributed under the terms and conditions of the Creative Commons Attribution (CC BY) license (https://creativecommons.org/licenses/by/4.0/).
Share and Cite
Zhao, M.; Qian, H.; Zhang, Y. Predefined-Time Adaptive Fast Terminal Sliding Mode Control of Aerial Manipulation Based on a Nonlinear Disturbance Observer. Electronics 2024, 13, 2746. https://doi.org/10.3390/electronics13142746
Zhao M, Qian H, Zhang Y. Predefined-Time Adaptive Fast Terminal Sliding Mode Control of Aerial Manipulation Based on a Nonlinear Disturbance Observer. Electronics. 2024; 13(14):2746. https://doi.org/10.3390/electronics13142746
Chicago/Turabian StyleZhao, Mengyang, Hongwei Qian, and Yueyuan Zhang. 2024. "Predefined-Time Adaptive Fast Terminal Sliding Mode Control of Aerial Manipulation Based on a Nonlinear Disturbance Observer" Electronics 13, no. 14: 2746. https://doi.org/10.3390/electronics13142746
APA StyleZhao, M., Qian, H., & Zhang, Y. (2024). Predefined-Time Adaptive Fast Terminal Sliding Mode Control of Aerial Manipulation Based on a Nonlinear Disturbance Observer. Electronics, 13(14), 2746. https://doi.org/10.3390/electronics13142746

