Kinematic Analysis of a Wheeled-Leg Small Pipeline Robot Turning in Curved Pipes
Abstract
1. Introduction
2. The Mechanical Structure of the Proposed Six-Legged Pipeline Robot
2.1. The Central Framework Mechanism of the Pipeline Robot
2.2. The Locomotion Mechanismof the Pipeline Robot
2.3. The Support Mechanismof the Pipeline Robot
3. Kinematic Analysis of Pipe Robot Turning in Curved Pipes
3.1. Simplification of the Mechanism of the Proposed Pipeline Robot
3.2. The Mathematical Model of the Curved Pipe
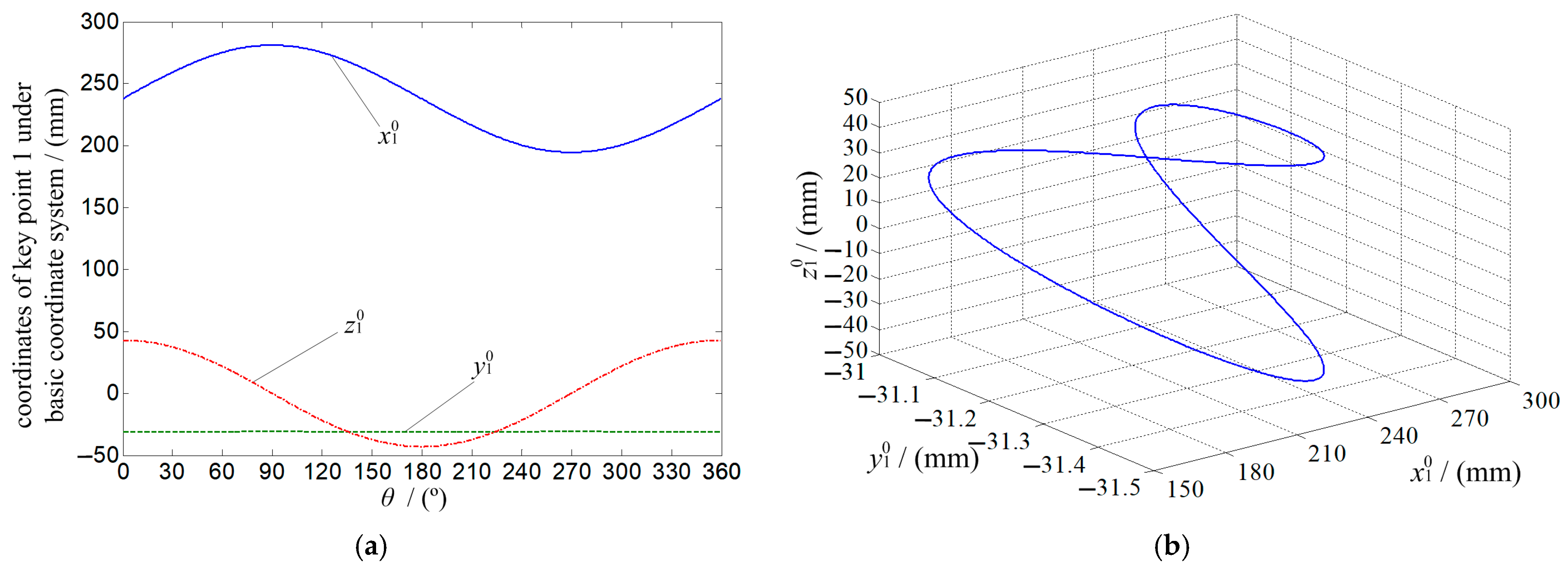
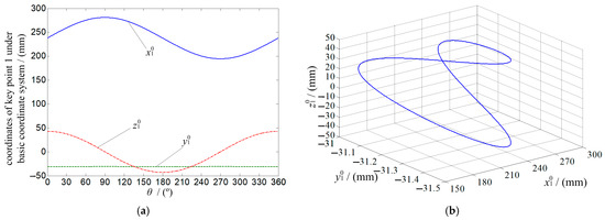
3.3. Homogeneous Coordinate Transformation for the Proposed Pipeline Robot
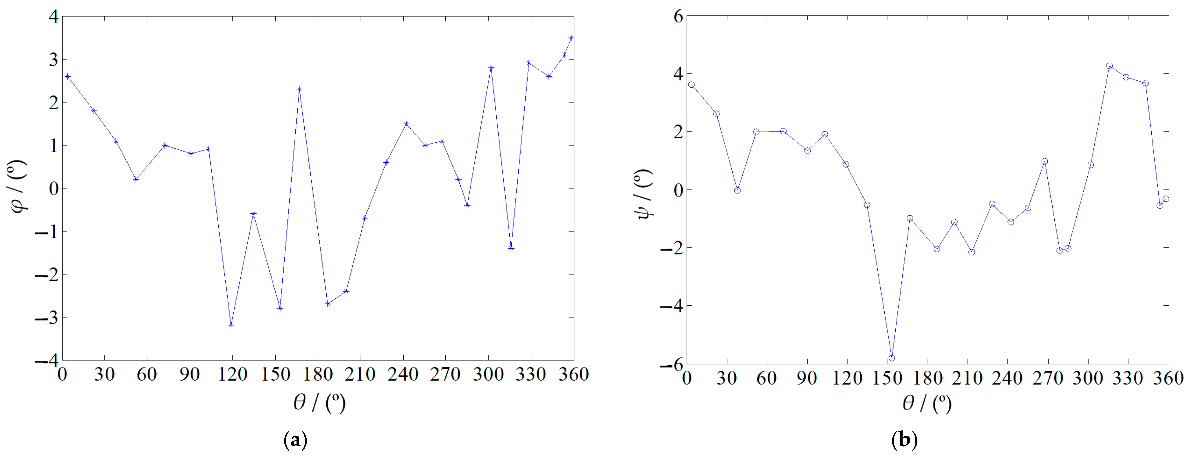
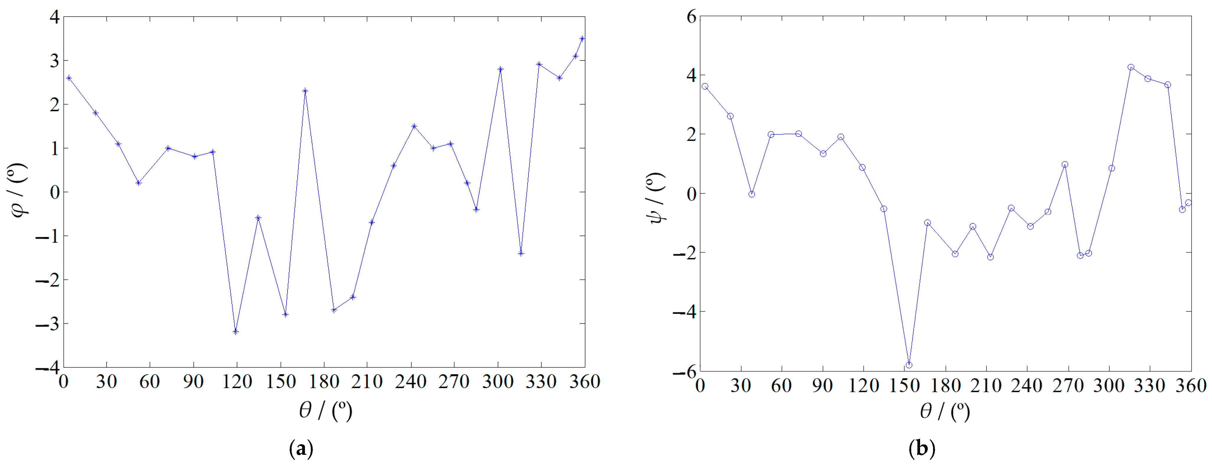
3.4. Inverse Solution of a Kinematic Variable
3.5. Optimization of the Wheel Rotation Speedof Each Leg of the Proposed Pipeline Robot
4. Turning Experiment of Pipeline Robot π-II in the Curved Pipe
5. Conclusions
Author Contributions
Funding
Data Availability Statement
Conflicts of Interest
References
- Farrag, K.; Marean, J.; Stubee, E.; Gauthier, S.; Oleksa, P. Pipeline Safety and Integrity Monitoring Technologies Assessment: Final Project Report; California Energy Commission: Sacramento, CA, USA, 2019. [Google Scholar]
- Han, S.; Ahn, J.; Moon, H. Remotely controlled prehensile locomotion of a two-module 3D pipe-climbing robot. J. Mech. Sci. Technol. 2016, 30, 1875–1882. [Google Scholar] [CrossRef]
- Takemori, T.; Tanaka, M.; Matsuno, F. Adaptive helical rolling of a snake robot to a straight pipe with irregular cross-sectional shape. IEEE Trans. Robot. 2023, 39, 437–451. [Google Scholar] [CrossRef]
- Chen, S.; Teng, K.; Zhang, K.; Wang, X.; Xia, L.; Zhang, M.; Zhang, Y.; Gong, Y. Passability and internode mechanics analysis of a multisection micro pipeline robot. Actuators 2023, 12, 137. [Google Scholar] [CrossRef]
- Jun, C.; Deng, Z.; Jiang, S. Study of locomotion control characteristics for six wheels driven in-pipe robot. In Proceedings of the 2004 IEEE International Conference on Robotics and Biomimetics, Shenyang, China, 22–26 August 2004; pp. 119–124. [Google Scholar] [CrossRef]
- Kim, H.M.; Choi, Y.S.; Lee, Y.G.; Choi, H.R. Novel mechanism for in-pipe robot based on a multiaxial differential gear mechanism. IEEE/ASME Trans. Mechatron. 2017, 22, 227–235. [Google Scholar] [CrossRef]
- Kwon, Y.S.; Lee, B.; Whang, I.C.; Kim, W.K.; Yi, B.J. A flat pipeline inspection robot with two wheel chains. In Proceedings of the 2011 IEEE International Conferenceon Robotics and Automation, Shanghai, China, 9–13 May 2011; pp. 5141–5146. [Google Scholar] [CrossRef]
- Kwon, Y.S.; Lee, B.; Whang, I.C.; Kim, W.K.; Yi, B.J. A pipeline inspection robot with a linkage type mechanical clutch. In Proceedings of the 2010 IEEE/RSJ International Conference on Intelligent Robots and Systems, Taipei, Taiwan, 18–22 October 2010; pp. 2850–2855. [Google Scholar] [CrossRef]
- Kwon, Y.S.; Yi, B.J. Design and motion planning of a two-module collaborative indoor pipeline inspection robot. IEEE Trans. Robot. 2012, 28, 681–696. [Google Scholar] [CrossRef]
- Zheng, T.; Wang, X.; Li, H.; Zhao, C.; Jiang, Z.; Huang, Q. Design of a robot for inspecting the multishape pipeline systems. IEEE/ASME Trans. Mechatron. 2022, 27, 4608–4618. [Google Scholar] [CrossRef]
- Jang, H.; Kim, T.Y.; Lee, Y.C.; Song, Y.H.; Choi, H.R. Autonomous navigation of in-pipe inspection robot using contact sensor modules. IEEE/ASME Trans. Mechatron. 2022, 27, 4665–4674. [Google Scholar] [CrossRef]
- Vadapalli, R.; Agarwal, S.; Kumar, V.; Suryavanshi, K.; Nagamanikandan, G.; Krishna, K.M. Modular pipe Climber III with three-output open differential. In Proceedings of the 2021 IEEE/RSJ International Conference on Intelligent Robots and Systems, Prague, Czech Republic, 27 September–1 October 2021; pp. 2473–2478. [Google Scholar] [CrossRef]
- Li, T.; Ma, S.; Li, B.; Wang, M.; Wang, Y. Axiomatic design method to design a screw drive in-pipe robot passing through varied curved pipes. Sci. China Technol. Sci. 2016, 59, 191–202. [Google Scholar] [CrossRef]
- Kakogawa, A.; Nishimura, T.; Ma, S. Development of a screw drive in-pipe robot for passing through bent and branch pipes. In Proceedings of the IEEE ISR 2013, Seoul, Republic of Korea, 24–26 October 2013; pp. 1–6. [Google Scholar] [CrossRef]
- Fjerdingen, S.A.; Liljeback, P.; Transeth, A.A. A snake-like robot for internal inspection of complex pipe structures(PIKo). In Proceedings of the 2009 IEEE/RSJ International Conference on Intelligent Robots and Systems, St. Louis, MO, USA, 11–15 October 2009; pp. 5665–5671. [Google Scholar] [CrossRef]
- Kuwada, A.; Adomi, Y.; Suzumori, K.; Kanda, T.; Wakimoto, S.; Kadowaki, N. Snake-like robot negotiating three-dimensional pipelines. In Proceedings of the 2007 IEEE International Conference on Robotics and Biomimetics, Sanya, China, 15–18 December 2007; pp. 989–994. [Google Scholar] [CrossRef]
- Virgala, I.; Kelemen, M.; Bozek, P.; Bobovsky, Z.; Hagara, M.; Prada, E.; Oscadal, P.; Varga, M. Investigation of snake robot locomotion possibilities in a pipe. Symmetry 2020, 12, 939. [Google Scholar] [CrossRef]
- Ishikawa, R.; Tomita, T.; Yamada, Y.; Nakamura, T. Development of the attachment for the cable of peristaltic crawling robot to reduce friction in elbow pipe. In Proceedings of the Intelligent Robotics and Applications: 9th International Conference, Tokyo, Japan, 22–24 August 2016; pp. 589–595. [Google Scholar] [CrossRef]
- Fang, D.; Jia, G.; Wu, J.; Niu, X.; Li, P.; Wang, R.; Zhang, Y.; Zhang, J. A novel worm-like in-pipe robot with the rigid and soft structure. J. Bionic Eng. 2023, 20, 2559–2569. [Google Scholar] [CrossRef]
- Liu, Y.; Dai, X.; Wang, Z.; Bi, Q.; Song, R.; Zhao, J.; Li, Y. A tensegrity-based inch worm-like robot for crawling in pipes with varying diameters. IEEE Robot. Autom. Lett. 2022, 7, 11553–11560. [Google Scholar] [CrossRef]
- Brown, L.; Carrasco, J.; Watson, S.; Lennox, B. Elbow detection in pipes for autonomous navigation of inspection robots. J. Intell. Robot. Syst. 2019, 95, 527–541. [Google Scholar] [CrossRef]
- Roh, S.; Choi, H.R. Differential-drive in-pipe robot for moving inside urban gas pipelines. IEEE Trans. Robot. 2005, 21, 1–17. [Google Scholar] [CrossRef]
- Kwon, Y.S.; Yi, B.J. The kinematic modeling and optimal paramerization of an omni-directional pipeline robot. In Proceedings of the 2009 IEEE International Conference on Robotics and Automation, Kobe, Japan, 12–17 May 2009; pp. 1389–1394. [Google Scholar] [CrossRef]
- Kakogawa, A.; Ma, S. Mobility of an in-pipe robot with screw drive mechanism inside curved pipes. In Proceedings of the 2010 IEEE International Conference on Robotics and Biomimetics, Tianjin, China, 14–18 December 2010; pp. 1530–1535. [Google Scholar] [CrossRef]
- Yan, H.; Wang, L.; Li, P.; Wang, Z.; Yang, X.; Hou, X. Research on passingability and climbing performance of pipeline plugging robots in curved pipelines. IEEE Access 2020, 8, 173666–173680. [Google Scholar] [CrossRef]
- Hao, T.; Rogers, C.D.F.; Metje, N. Condition assessment of the buried utility service infrastructure. Tunn. Undergr. Space Technol. 2012, 28, 331–344. [Google Scholar] [CrossRef]
- Zhang, X.; Chen, H. Visual servo technique of autonomous mobile robot in bended pipe. In Proceedings of the 2002 IEEE International Conference on Industrial Technology, Bankok, Thailand, 11–14 December 2002; Volume1, pp. 588–593. [Google Scholar] [CrossRef]
- Fu, M.; Liu, J.; Zhang, H.; Lu, S. Multi sensor fusion for magnetic flux leakage defect characterization under information incompletion. IEEE Trans. Ind. Electron. 2021, 68, 4382–4392. [Google Scholar] [CrossRef]















| Parameter | R/(mm) | a/(mm) | r/(mm) | h/(mm) | r1/(mm) | l1/(mm) | l2/(mm) | l3/(mm) |
|---|---|---|---|---|---|---|---|---|
| Value | 60 | 240 | 15 | 31 | 26 | 26 | 97 | 114 |
Disclaimer/Publisher’s Note: The statements, opinions and data contained in all publications are solely those of the individual author(s) and contributor(s) and not of MDPI and/or the editor(s). MDPI and/or the editor(s) disclaim responsibility for any injury to people or property resulting from any ideas, methods, instructions or products referred to in the content. |
© 2024 by the authors. Licensee MDPI, Basel, Switzerland. This article is an open access article distributed under the terms and conditions of the Creative Commons Attribution (CC BY) license (https://creativecommons.org/licenses/by/4.0/).
Share and Cite
Wang, J.; Mo, Z.; Cai, Y.; Wang, S. Kinematic Analysis of a Wheeled-Leg Small Pipeline Robot Turning in Curved Pipes. Electronics 2024, 13, 2170. https://doi.org/10.3390/electronics13112170
Wang J, Mo Z, Cai Y, Wang S. Kinematic Analysis of a Wheeled-Leg Small Pipeline Robot Turning in Curved Pipes. Electronics. 2024; 13(11):2170. https://doi.org/10.3390/electronics13112170
Chicago/Turabian StyleWang, Jian, Zongjian Mo, Yuan Cai, and Songtao Wang. 2024. "Kinematic Analysis of a Wheeled-Leg Small Pipeline Robot Turning in Curved Pipes" Electronics 13, no. 11: 2170. https://doi.org/10.3390/electronics13112170
APA StyleWang, J., Mo, Z., Cai, Y., & Wang, S. (2024). Kinematic Analysis of a Wheeled-Leg Small Pipeline Robot Turning in Curved Pipes. Electronics, 13(11), 2170. https://doi.org/10.3390/electronics13112170
