Applying Trust Patterns to Model Complex Trustworthiness in the Internet of Things
Abstract
1. Introduction
2. Related Works
3. The IoT Social Scenario
- Expertise, which represents the capability of a smart object to give expert opinions in a specific domain. In other words, different know-how related to different domains can be used as trust aspects. For instance, in an e-commerce scenario, we could denote as the expertise of a smart object to give opinions about finance;
- Honesty as the capability of the SO to provide a truthful behavior, i.e., how much it is not fraudulent or misleading;
- Security as the honesty of an SO in describing how much the smart object confidentially manages private data and does not allow unauthorized access to them;
- Reliability represents a measure of the reliability of the services provided by the SO. In other words, reliability represents the degree of reliance that can be placed on the services provided by the smart object, including effectiveness and efficiency.
4. The T-Pattern Model
4.1. Automatic Rules Application
- Each time the confidence (resp. in the case the T-pattern is associated with an auto-edge) of a trust aspect k has been updated (in consequence of the application of the AR rule (3) or by side effect of other updates), automatically the DR rule (2) is applied to each edge outgoing from the node associated with k in the network , and the update is propagated to each other node outgoing from the now updated nodes, except for the node k.
- For all the edges incoming in the node , the ZR rule (4) is automatically applied such that z will be updated by using a value .
4.2. T-Pattern Network
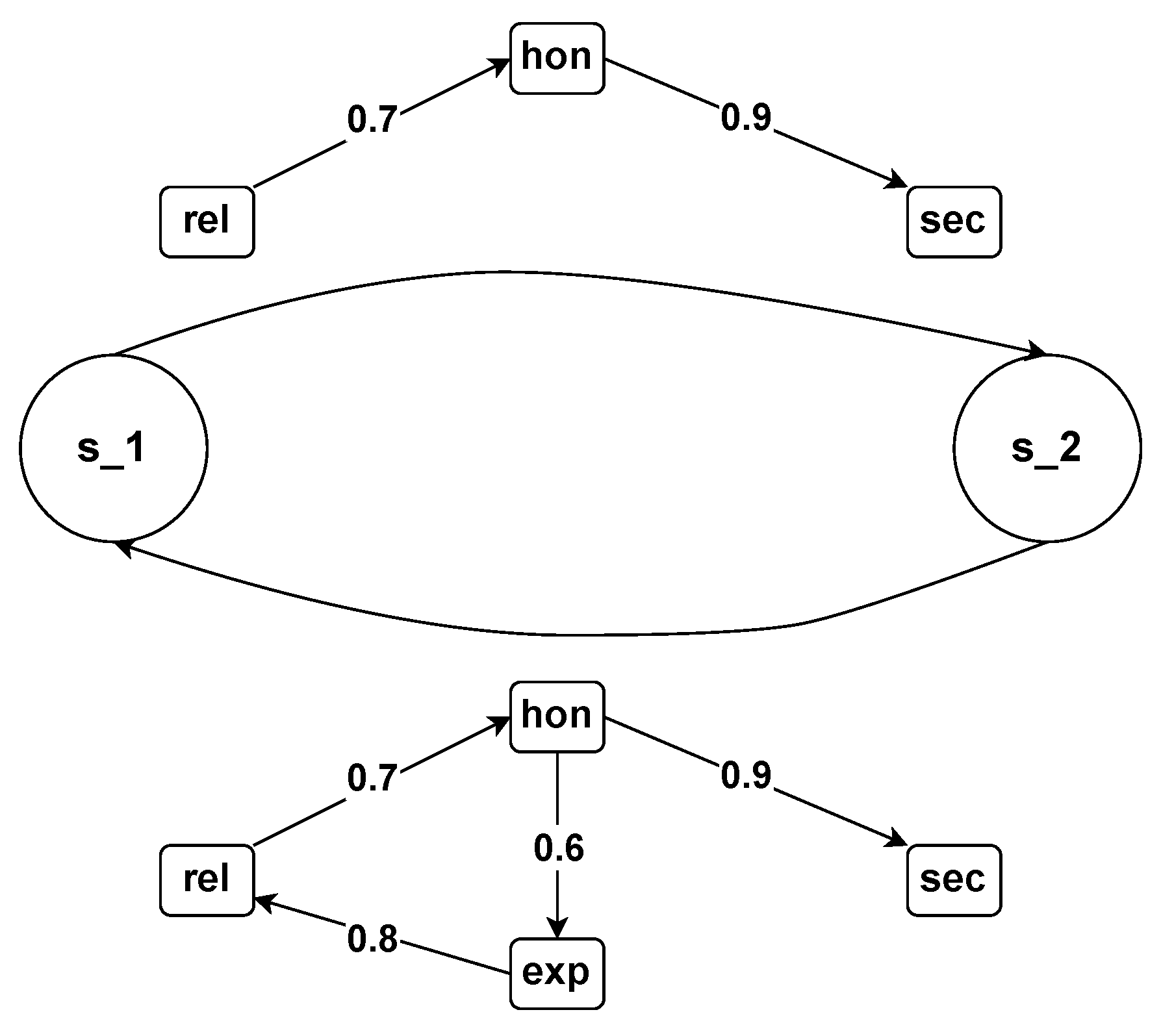
4.3. Practical Example
- is the set of smart objects;
- ; in this example, we do not consider any group;
- is a set of trust aspects representing reliability (), honesty (), security (), and expertise ();
- is a mapping representing the confidence values of each smart object with respect to the other smart objects. In this example, we suppose that all the values contained in are equal to null; in other words, we depict an initial situation with no knowledge about the mutual trustworthiness of the smart objects. Moreover, we have omitted, for simplicity, indicating the group , since in this case, the unique group is represented by the whole community.
- P is a set containing two T-patterns, graphically depicted by the two arcs and , respectively, representing the a priori knowledge we have about how the two smart objects perceive the trustworthiness.
5. The T-Pattern Architecture (TPA) to Automatically Manage a TPN
- A smart object level, composed of ntrust manager smart objects , where each is associated with the corresponding smart object of and is capable of updating the trust patterns associated with all the edges outgoing from in . The trust manager will apply some inferential technique to automatically construct and update the trust pattern;
- A group level, composed of lgroup manager smart objects , where each is associated with the corresponding group of and is capable of computing the group reputation for all the smart objects and for all the trust aspects , by applying the automated rules described in Section 4.1 considering only the smart objects ;
- A community level, composed from a community manager smart object , capable of computing the community reputation for all the smart objects and for all the trust aspects by applying the automated rules described in Section 4.1 considering all the smart objects .
Computational Evaluation
6. Conclusions
Author Contributions
Funding
Data Availability Statement
Conflicts of Interest
References
- Telang, P.; Singh, M.P.; Yorke-Smith, N. Maintenance of Social Commitments in Multiagent Systems. In Proceedings of the AAAI Conference on Artificial Intelligence, Virtually, 2–9 February 2021; Volume 35, pp. 11369–11377. [Google Scholar]
- Jaques, N.; Lazaridou, A.; Hughes, E.; Gulcehre, C.; Ortega, P.; Strouse, D.; Leibo, J.Z.; De Freitas, N. Social influence as intrinsic motivation for multi-agent deep reinforcement learning. In Proceedings of the International Conference on Machine Learning. PMLR, Long Beach, CA, USA, 9–15 June 2019; pp. 3040–3049. [Google Scholar]
- Esmaeili, A.; Mozayani, N.; Motlagh, M.R.J.; Matson, E.T. A socially-based distributed self-organizing algorithm for holonic multi-agent systems: Case study in a task environment. Cogn. Syst. Res. 2017, 43, 21–44. [Google Scholar] [CrossRef]
- Walczak, S. Society of Agents: A framework for multi-agent collaborative problem solving. In Natural Language Processing: Concepts, Methodologies, Tools, and Applications; IGI Global: Hershey, PA, USA, 2020; pp. 160–183. [Google Scholar]
- Torreño, A.; Onaindia, E.; Komenda, A.; Štolba, M. Cooperative multi-agent planning: A survey. ACM Comput. Surv. (CSUR) 2017, 50, 1–32. [Google Scholar] [CrossRef]
- Khan, W.Z.; Aalsalem, M.Y.; Khan, M.K.; Arshad, Q. When social objects collaborate: Concepts, processing elements, attacks and challenges. Comput. Electr. Eng. 2017, 58, 397–411. [Google Scholar] [CrossRef]
- Jafari, S.; Navidi, H. A game-theoretic approach for modeling competitive diffusion over social networks. Games 2018, 9, 8. [Google Scholar] [CrossRef]
- He, Z.; Han, G.; Cheng, T.; Fan, B.; Dong, J. Evolutionary food quality and location strategies for restaurants in competitive online-to-offline food ordering and delivery markets: An agent-based approach. Int. J. Prod. Econ. 2019, 215, 61–72. [Google Scholar] [CrossRef]
- Kowshalya, A.M.; Valarmathi, M. Trust management for reliable decision making among social objects in the Social Internet of Things. IET Netw. 2017, 6, 75–80. [Google Scholar] [CrossRef]
- Brogan, C.; Smith, J. Trust Agents: Using the Web to buIld Influence, Improve Reputation, and Earn Trust; John Wiley & Sons: Hoboken, NJ, USA, 2020. [Google Scholar]
- Cho, J.H.; Chan, K.; Adali, S. A survey on trust modeling. ACM Comput. Surv. (CSUR) 2015, 48, 1–40. [Google Scholar] [CrossRef]
- Fortino, G.; Fotia, L.; Messina, F.; Rosaci, D.; Sarné, G.M.L. Trust and reputation in the internet of things: State-of-the-art and research challenges. IEEE Access 2020, 8, 60117–60125. [Google Scholar] [CrossRef]
- Hoff, K.A.; Bashir, M. Trust in automation: Integrating empirical evidence on factors that influence trust. Hum. Factors 2015, 57, 407–434. [Google Scholar] [CrossRef]
- Jøsang, A.; Ismail, R.; Boyd, C. A survey of trust and reputation systems for online service provision. Decis. Support Syst. 2007, 43, 618–644. [Google Scholar] [CrossRef]
- Wang, J.; Yan, Z.; Wang, H.; Li, T.; Pedrycz, W. A survey on trust models in heterogeneous networks. IEEE Commun. Surv. Tutor. 2022, 24, 2127–2162. [Google Scholar] [CrossRef]
- Demolombe, R. Reasoning about trust: A formal logical framework. In Proceedings of the International Conference on Trust Management, Oxford, UK, 29 March–1 April 2004; pp. 291–303. [Google Scholar]
- Drawel, N.; Bentahar, J.; Shakshuki, E. Reasoning about trust and time in a system of agents. Procedia Comput. Sci. 2017, 109, 632–639. [Google Scholar] [CrossRef]
- Baier, C.; Katoen, J.P. Principles of Model Checking; MIT Press: Cambridge, MA, USA, 2008. [Google Scholar]
- Drawel, N.; Bentahar, J.; Qu, H. Computationally Grounded Quantitative Trust with Time. In Proceedings of the 19th International Conference on Autonomous Agents and MultiAgent Systems, Auckland, New Zealand, 9–13 May 2020; pp. 1837–1839. [Google Scholar]
- Burrell, J. How the machine ‘thinks’: Understanding opacity in machine learning algorithms. Big Data Soc. 2016, 3, 2053951715622512. [Google Scholar] [CrossRef]
- Liu, X.; Datta, A.; Lim, E.P. Computational Trust Models and Machine Learning; CRC Press: Boca Raton, FL, USA, 2014. [Google Scholar]
- Ma, W.; Wang, X.; Hu, M.; Zhou, Q. Machine learning empowered trust evaluation method for IoT devices. IEEE Access 2021, 9, 65066–65077. [Google Scholar] [CrossRef]
- Wang, J.; Jing, X.; Yan, Z.; Fu, Y.; Pedrycz, W.; Yang, L.T. A survey on trust evaluation based on machine learning. ACM Comput. Surv. (CSUR) 2020, 53, 1–36. [Google Scholar] [CrossRef]
- Palmer-Brown, D. Neural Networks for Modal and Virtual Learning. In Proceedings of the Artificial Intelligence Applications and Innovations III, Thessaloniki, Greece, 23–25 April 2009; p. 2. [Google Scholar]
- Rosaci, D. CILIOS: Connectionist inductive learning and inter-ontology similarities for recommending information agents. Inf. Syst. 2007, 32, 793–825. [Google Scholar] [CrossRef]
- Sharma, A.; Pilli, E.S.; Mazumdar, A.P.; Gera, P. Towards trustworthy Internet of Things: A survey on Trust Management applications and schemes. Comput. Commun. 2020, 160, 475–493. [Google Scholar] [CrossRef]
- Hussain, Y.; Zhiqiu, H.; Akbar, M.A.; Alsanad, A.; Alsanad, A.A.A.; Nawaz, A.; Khan, I.A.; Khan, Z.U. Context-aware trust and reputation model for fog-based IoT. IEEE Access 2020, 8, 31622–31632. [Google Scholar] [CrossRef]
- Fortino, G.; Fotia, L.; Messina, F.; Rosaci, D.; Sarné, G.M.L. A meritocratic trust-based group formation in an IoT environment for smart cities. Future Gener. Comput. Syst. 2020, 108, 34–45. [Google Scholar] [CrossRef]
- Wei, L.; Wu, J.; Long, C.; Li, B. On designing context-aware trust model and service delegation for social internet of things. IEEE Internet Things J. 2020, 8, 4775–4787. [Google Scholar] [CrossRef]
- Guo, J.; Liu, Z.; Tian, S.; Huang, F.; Li, J.; Li, X.; Igorevich, K.; TFL-DT, J.M. TFL-DT: A Trust Evaluation Scheme for Federated Learning in Digital Twin for Mobile Networks. IEEE J. Sel. Areas Commun. 2023, 41, 3548–3560. [Google Scholar] [CrossRef]
- Liu, Z.; Weng, J.; Ma, J.; Guo, J.; Feng, B.; Jiang, Z.; Wei, K. TCEMD: A trust cascading-based emergency message dissemination model in VANETs. IEEE Internet Things J. 2019, 7, 4028–4048. [Google Scholar] [CrossRef]
- Chuprov, S.; Viksnin, I.; Kim, I.; Reznikand, L.; Khokhlov, I. Reputation and trust models with data quality metrics for improving autonomous vehicles traffic security and safety. In Proceedings of the 2020 IEEE Systems Security Symposium (SSS), Crystal City, VA, USA, 1 July–1 August 2020; IEEE: Piscataway, NJ, USA, 2020; pp. 1–8. [Google Scholar]
- De Meo, P.; Messina, F.; Postorino, M.N.; Rosaci, D.; Sarné, G.M.L. A reputation framework to share resources into iot-based environments. In Proceedings of the 2017 IEEE 14th International Conference on Networking, Sensing and Control (ICNSC), Calabria, Italy, 16–18 May 2017; pp. 513–518. [Google Scholar]
- Andrade, R.; Pinto, T.; Praça, I. Trust model for a multi-agent based simulation of local energy markets. In Proceedings of the International Conference on Practical Applications of Agents and Multi-Agent Systems, L’Aquila, Italy, 16–19 June 2020; pp. 183–194. [Google Scholar]
- Van Kooten, O.; Nevejan, C.; Brazier, F.; Oey, M.; Hubers, C. SamenMarkt®, a Proposal for Restoring Trust in the Horticultural Fresh Food Market by Using Multi-Agent System Technology. In Agricultural Value Chain; IntechOpen: London, UK, 2018; pp. 19–36. [Google Scholar]
- Fortino, G.; Messina, F.; Rosaci, D.; Sarné, G.M.L. Using blockchain in a reputation-based model for grouping agents in the Internet of Things. IEEE Trans. Eng. Manag. 2019, 67, 1231–1243. [Google Scholar] [CrossRef]
- Su, Z.; Liu, L.; Li, M.; Fan, X.; Zhou, Y. Reliable and resilient trust management in distributed service provision networks. ACM Trans. Web (TWEB) 2015, 9, 1–37. [Google Scholar] [CrossRef]
- Das, A.; Islam, M.M. SecuredTrust: A dynamic trust computation model for secured communication in multiagent systems. IEEE Trans. Dependable Secur. Comput. 2011, 9, 261–274. [Google Scholar] [CrossRef]
- Liu, Z.; Wan, L.; Guo, J.; Huang, F.; Feng, X.; Wang, L.; Ma, J. PPRU: A privacy-preserving reputation updating scheme for cloud-assisted vehicular networks. IEEE Trans. Veh. Technol. 2023, 1–16. [Google Scholar] [CrossRef]
- Liu, Z.; Weng, J.; Guo, J.; Ma, J.; Huang, F.; Sun, H.; Cheng, Y. PPTM: A privacy-preserving trust management scheme for emergency message dissemination in space–air–ground-integrated vehicular networks. IEEE Internet Things J. 2021, 9, 5943–5956. [Google Scholar] [CrossRef]


| Symbol | Meaning |
|---|---|
| K | a set of trust aspects |
| a specific trust aspect | |
| S | a set of smart objects |
| a specific smart object | |
| a group of smart objects | |
| the confidence of for with respect to within the group | |
| the confidence of the group for with respect to | |
| a weighted directed graph representing trust relationships | |
| a mapping on a confidence which gives a value belonging in | |
| a T-pattern over two smart objects and , a trust network within a group |
Disclaimer/Publisher’s Note: The statements, opinions and data contained in all publications are solely those of the individual author(s) and contributor(s) and not of MDPI and/or the editor(s). MDPI and/or the editor(s) disclaim responsibility for any injury to people or property resulting from any ideas, methods, instructions or products referred to in the content. |
© 2024 by the authors. Licensee MDPI, Basel, Switzerland. This article is an open access article distributed under the terms and conditions of the Creative Commons Attribution (CC BY) license (https://creativecommons.org/licenses/by/4.0/).
Share and Cite
Messina, F.; Rosaci, D.; Sarnè, G.M.L. Applying Trust Patterns to Model Complex Trustworthiness in the Internet of Things. Electronics 2024, 13, 2107. https://doi.org/10.3390/electronics13112107
Messina F, Rosaci D, Sarnè GML. Applying Trust Patterns to Model Complex Trustworthiness in the Internet of Things. Electronics. 2024; 13(11):2107. https://doi.org/10.3390/electronics13112107
Chicago/Turabian StyleMessina, Fabrizio, Domenico Rosaci, and Giuseppe M. L. Sarnè. 2024. "Applying Trust Patterns to Model Complex Trustworthiness in the Internet of Things" Electronics 13, no. 11: 2107. https://doi.org/10.3390/electronics13112107
APA StyleMessina, F., Rosaci, D., & Sarnè, G. M. L. (2024). Applying Trust Patterns to Model Complex Trustworthiness in the Internet of Things. Electronics, 13(11), 2107. https://doi.org/10.3390/electronics13112107

