Abstract
For the all-solution-processed organic light-emitting diode (OLED), manufacturing the cathode and lowering the work function of the cathode are the main problems limiting their commercialization. This paper reports a two-substrate bonding technology using hot roller lamination with improvement points to solve the existing problems. Ag was used to manufacture the cathode because it is less oxidative compared to Al, which has previously been used conventionally. We tried to use polyethylene imine (PEI), which is conventionally used as an electron injection layer (EIL), as an adhesive layer for the bonding, as it has the quality of being sticky. At higher PEI concentrations, the adhesion strength increased, but the electrical properties deteriorated. Therefore, the PEI wt% was decreased and mixed with polyethylene glycol (PEG), which was reported to lower the work function of the metallic surface. The results showed that the mixed solution of PEI and PEG had good adhesion and electrical properties. The device with an interfacial layer consisting of a 0.1 wt% PEI and 0.01 wt% PEG mixture turned on at 6 V and had a maximum luminance of 2700 cd/m2. The mixed solution layer provided a similar luminous characteristic for single- and double-substrate devices, highlighting the potential of fabricating all-solution-processed OLEDs using the two-substrate bonding technology.
1. Introduction
Recently, research attention has focused on developing white organic light-emitting diode (OLED) devices for use in flexible, rollable display devices and low-cost product lighting and the IoT. New challenges must be overcome before large-area flexible OLEDs using low-cost solution processes can replace the conventional expensive processes using evaporation and thin film encapsulation (TFE) in a vacuum. Many studies have evaluated solution processes to manufacture flexible OLEDs [1,2,3,4,5,6,7]. As a deposition technology for the solution process, roll-to-roll coating [1], slit coating [2], and spin coating [8] have attracted significant attention. On the other hand, lamination has garnered interest as an encapsulation technology, and many lamination methods have been proposed [9,10,11,12,13,14,15]. The lamination history began with Yang et al.’s report [9] in 2001 for double-substrate technology and Rogers et al.’s report [10] in 2004 for single-substrate technology. Soboyejo et al. examined the effects of pressure, layer thickness, and the substrate Young’s modulus on OLED fabrication [11]. A common approach to laminating OLEDs is using an Al-coated PET as a cathode substrate combined with the anode substrate. Wu et al. bonded the polymer layer surface of ITO/PEDOT:PSS and the other substrate using a D-sorbitol layer as a bonding layer, showing good mechanical and electrical contacts [12]. Tseng et al. reported a method for vacuum-free cathode deposition with a low work function using a PEG/Al bilayer on soft silicon rubber [13]. Duggal et al. reported OLEDs fabricated using a vacuum-free, direct lamination process of two PET substrates [14]. Naka et al. proposed a double-faced transparent OLED made using the lamination method [15]. Several studies have also been conducted on the interfacial properties of laminated polymer diodes in chemical and mechanical aspects [16,17,18]. Three technical issues must be solved so that the lamination method might be commercialized as a stable manufacturing technology for solution-processed OLEDs.
The first issue is the stable adhesion of the device, particularly over large areas, and several experimental methods for this have been proposed [19,20,21,22,23,24,25], which include a process condition development [19], mixing with some additives [20], and promoting polymer interlayers [21,22,23]. For example, Yang et al. used a PEDOT:PSS solution mixed with a D-sorbitol as an adhesive layer for the lamination [20]. These studies used a PEDOT:PSS layer that is relatively thick for adhesion; but the adhesiveness of the PEDOT:PSS itself is not good. Therefore, they mixed a considerable amount of additives into PEDOT:PSS, resulting in the loss of the electrical characteristics. This paper reports the PEI layer as an adhesive layer [24,25]. The second issue is to lower the work function of the cathode because this can increase the electron injection efficiency between the metallic cathode and the functional organic layers. Parker reported the carrier tunneling and device characteristics in polymer light-emitting diodes in 1994 [26], and Vleggaar examined electron and hole transport in poly (p-phenylene vinylene) devices [27]. Dyakonov et al. reported the SCLC model to explain the thickness and cathode dependence of the J–V characteristics [28]. Recently, Li et al. examined the electron injection characteristics of a cathodic interface for an OLED in a dark injection space-charge-limited current experiment [29]. Based on this theoretical understanding, considerable effort has been made to increase the electron injection efficiency at the cathode surface [8,30,31,32,33,34,35,36,37,38]. Colsmann et al. enhanced electron injection into inverted polymer light-emitting diodes using solution-processed zinc oxide (ZnO)/polyethylene imine (PEI) interlayers [8]. Jenekhe et al. evaluated a PEI cathode buffer layer in high-performance inverted organic photovoltaic devices. They reported that the work function of the indium–tin oxide (ITO)/ZnO cathode was reduced, particularly for the larger molecular weight of PEI [30]. Nathan et al. examined size-tunable ZnO nanoparticles to enhance electron injection in solution-processed QLEDs [31]. Other reports were related to the ZnO layer [32,33,34], PEI layer [35,36,37], and PEG layer [38]. The authors also examined the effect of the additives on the electron injection efficiency [39,40]. The last issue is regarding the cathode electrode patterning. Printing is a priority candidate for solution-processed cathode manufacturing because it has been used widely in the electronic industry for applications such as semiconductor packaging and electrodes for display panels. On the other hand, printing the OLED cathode involves some problems. First of all, when the cathode is printed directly onto the device, the organic vehicles migrate to the emission layer (EML), affecting the long-term reliability of the devices. In addition, the printing process may destroy the underlying organic layers during contact-type printing. Technical issues regarding the cathode still exist when the two substrates are laminated. Current technology uses a pre-coated cathode on the substrate, in which an additional process is required to form a patterned electrode. The material issue is critical for cathode manufacturing. Al is oxidized easily under an atmospheric environment, and the work function is too high for electron injection into the EML [41]. Silver (Ag) has also been evaluated, including evaporation [42], screen printing [43], and inkjet printing [44].
In this study, the cathode was manufactured using a Ag evaporation method owing to its smooth and stable characteristics. The PEI layer was used as an electron injection and interfacial adhesion layer between the cathode and EML. The adhesion layer should have electrical and mechanical connective characteristics. This study optimized these characteristics through experiments.
2. Materials and Methods
The bottom-emission organic light-emitting diode (BE-OLED) has a transparent anode fabricated on a glass substrate, and a relatively thick metal cathode, such as one made from aluminum. Light is emitted from the transparent anode direction. The most basic polymer OLEDs consist of a single organic layer as an emissive layer (EML). However, in order to improve device efficiency, multilayer OLEDs can be fabricated with functional layers such as a hole injection layer (HIL), a hole transport layer (HTL), an electron transport layer (ETL), and an electron injection layer (EIL). Figure 1 shows the OLED structure of this study, which consists of HIL, EML, and EIL between the anode and the cathode. In this paper, the device was manufactured with a simplified structure without the HTL and ETL. The reason for this is as follows. In this study, we bonded an anode substrate and a cathode substrate through an intermediate adhesive layer in air. The intermediate adhesive layer for this had to satisfy both physical adhesion and electrical conduction characteristics, but when optimizing this, if the number of layers was large, it was difficult to determine which layer had the discontinuous characteristics. Therefore, this paper focused on experiments to optimize the adhesive layer through a simplified structure.
Figure 1.
Comparison of OLED structures manufactured using different processes: (a) Conventional process using a single substrate. (b) Two-substrate bonding process.
We manufactured the OLED in two different ways. Figure 1a is a conventional OLED structure using a single substrate. In contrast, a cathode was fabricated on a separate substrate, seen in Figure 1b, and was laminated with the other substrate which has an anode on it. The other process conditions and materials were the same for the two cases. Figure 2 shows all the procedures and the process conditions used to manufacture the two-substrate structure in Figure 1b. A 25 mm × 25 mm glass substrate coated with ITO was prepared. The ITO layer was formed into an anode using photolithography. PEDOT:PSS was spin coated at 4000 rpm and heat treated at 200 °C for 20 min. The light-emitting material was spin coated on the PEDOT:PSS layer at 1500 RPM and heat treated at 80 °C for 10 min. The light-emitting material used for this study was a Sigma Aldrich product PDY-132, PPV (poly(para-phenylene vinylene)) copolymer known as Super Yellow (SY), which is one of the most widely used conjugated polymers for solution-processable OLEDs. The PEI solution was then spin coated on top of the PDY-132 layer at 2000 RPM for 30 s, followed by soft baking on the hot plate at 100 °C for 10 min to complete the bottom substrate. The PEI material used for this study was a Sigma Aldrich product mixed with water at 50%, which was diluted with propanol and prepared by stirring for six hours on a hot plate kept at 40 °C. The molecular weight (MW) of the PEI was 1500, 6000, and 20,000. The 6000 MW, which produced a stable luminous property, was chosen. PDY-132 has a characteristic of dissolving in non-polar organic solvents like toluene and THF. Compared to this, PEI and PEG are dissolved and used in ethanol. Therefore, it is judged that there is a low probability of PDY-132 being damaged in ethanol, which is a polar solvent. For these reasons, in our experiments, it is found that the spin coating process of PEI and PEG solutions does not damage the previously spin-coated emissive layer.
Figure 2.
Manufacturing process of the OLED for laminating the two substrates.
The top substrate used a colorless PI (CPI) film, and Al or Ag was thermally evaporated on CPI at a deposition rate of 5 Å/s, up to 1000 Å thickness. The PEI solution was then spin coated on top at 2000 RPM and heat treated at 100 °C to complete a top substrate. These two substrates were laminated using a hot roller at 120 °C at a speed of 0.85 m/min. The current density and luminance of the fabricated OLED were measured using an OLED parameter test system (M3000, McScience, Republic of Korea, Suwon, Republic of Korea). For the adhesion test, a shear test was conducted using a force measurement (DS2-200N, IMADA, Japan, Toyohashi), as shown in Figure 3, and the adhesion strength (kgf/cm2) was measured from the force divided by the bonding area.
Figure 3.
Concept of the adhesion test using a force measurement. The red circle means that debonding begins at that point.
3. Results
3.1. Cathode Manufacturing
We manufactured OLED devices using a lamination method, as illustrated in Figure 2, in which a cathode electrode was manufactured using three different methods. In the case of Ag printing, we used P-100 (an ELCOAT product), which consists of flake-type Ag powder with a 1 µm average size, acrylic resin, and toluene. After printing, it was cured at 100 °C for 30 min. Figure 4a compares the electrical density, in which evaporated Ag showed the highest value.
Figure 4.
Comparison of OLED device characteristics for the different cathode types: (a) current density; (b) luminance.
Luminance was also the highest for the evaporated Ag case, as shown in Figure 4b. It was noticeable that the Al-evaporated cathode showed stable luminous characteristics for the single-substrate structure of Figure 1a, but extremely unstable for the double-substrate structure of Figure 1b. This means the surface property changed in the latter case. All metals, except for precious metals, will oxidize when exposed to oxygen and atmospheric moisture, resulting in corrosion and the formation of the respective metal oxide on the surface. Aluminum has a very high oxygen affinity. The oxidation rate is dependent on the oxygen arrival rate and its rate of diffusion through the existing oxide layer. Stephen et al. studied the oxidation dynamics of aluminum nanoclusters using variable charge molecular dynamics simulations on parallel computers [41]. They reported that aluminum moves outward and oxygen moves towards the interior of the cluster, with a 60% higher aluminum diffusivity than oxygen. A stable 40 Å thick amorphous oxide layer is formed in nanoseconds. Although the hard aluminum oxide film makes aluminum corrosion resistant against further oxidation, this thin oxide film appears to have a deleterious influence on the electron injection property, increasing the work function of the cathode surface. As mentioned in the introductory section, previous studies used an Al cathode coated via evaporation on a plastic substrate, so the lamination should be conducted under vacuum or a strictly controlled inert gas atmosphere. In contrast, the cathode using Ag showed two different results depending on the manufacturing method. First, the Ag-evaporated cathode exhibited stable characteristics. The single and double substrates showed stable luminous characteristics with similar luminosity. Ag is a precious metal with a low ionization tendency. The surface of the Ag cathode has no oxide layer, so electron injection into the adjacent organic layer proceeds continuously. In comparison, the Ag-printed cathode showed unstable characteristics. Most of the devices were destroyed due to electrical short circuits. Figure 5 presents an AFM image of the cathode electrode surface coated on the glass substrate. In the case of the evaporated cathodes seen in Figure 5a,b, Al and Ag showed similar surface roughness conditions. The rms roughness was observed as 0.5–1 nm overall; in addition, 20–30 nm of roughness was also observed periodically at intervals of microns. It has been reported that the surface roughness of a well-prepared glass substrate is about 0.3 nm, which increases by up to dozens of nm depending on the surface condition. Well-prepared PET has a rms roughness of about 6 nm, which decreases to about 0.4 nm by adding an acrylic coating onto it [45]. They also reported that ITO-coated PET foil has a very similar smooth surface with an rms roughness of about 0.4 nm, which is suitable for OLED fabrication. In comparison, in the case of the Ag-printed cathode in Figure 5c, the roughness was more than 10 times greater compared to the evaporated cases. Considering that the thickness of the organic layers in the OLED device is 10–100 nm, the surface roughness of the printed cathode has a deleterious effect on the interface between the organic layers and cathode electrode. Therefore, a solution is needed for the rough surface to manufacture a Ag electrode through screen printing. Consequently, the cathode was manufactured using a Ag evaporation method because it is less oxidative compared to the Al cathode and has comparably smooth surface compared to the printed Ag.
Figure 5.
AFM images for the surface of the cathodes manufactured using different methods: (a) Al-evaporated; (b) Ag-evaporated; (c) Ag-printed.
3.2. Interfacial Adhesion Layer
The adhesion layer requires good bonding strength and good electrical characteristics because it is an interlayer that plays a role in electrical transport between the anode and cathode. The electrical characteristics of the interlayer require good physical contact with the adjacent layers and a high current density through the layer itself. As mentioned in the introduction, previous studies mainly used a PEDOT:PSS layer as an adhesion layer. The PEDOT:PSS layer is not sticky enough, so they mixed considerable amounts of adhesive additives into PEDOT:PSS, such as D-sorbitol, which resulted in some loss of electrical characteristics. In this study, the adhesion layer was selected as follows. The feasibility of each interfacial layer (HIL, EML, and EIL) as an adhesion layer for lamination was tested. In this experiment, PEDOT:PSS, SY, and PEI were designed to have a thickness of 40, 80, and 10 nm, respectively. PEDOT:PSS was too dilute to achieve bonding characteristics, and SY was not sticky. In comparison, PEI was highly viscous and showed good adhesion characteristics; hence, it was chosen as an adhesion layer for the lamination in this study. On the other hand, the 10 nm thickness was too thin to maintain stable adhesion, so the thickness was changed by increasing the PEI wt%. The thickness increased as the PEI content was increased, and better adhesion characteristics were obtained, but the electrical current density decreased abruptly, as shown in Figure 6. This means the two characteristics cannot be obtained concomitantly using only a PEI layer. In addition, we should consider the electrical characteristics via the adhesion layer. Figure 7 provides an energy diagram for each layer of the OLED device in this study. Considering the anode side, the differences in work function between ITO, PEDOT:PSS, and EML are small and do not impede hole transport. On the other hand, considering the cathode side, there is a large difference between the Super Yellow and Al cathode. The energy level of the lowest unoccupied molecular orbital of SY is approximately −2.7 eV, and the work functions of Al and Ag are −4.2 and −4.6 eV, respectively. Hence, there is a large energy barrier for electron injection. As mentioned in the introductory section, many researchers have used an additional layer on the cathode to reduce the energy barrier at the interface [35,36,37,38]. Frey et al. deposited a PEG film on the anode or cathode and reported improved characteristics [38]. They suggested that dipoles are formed in the solution, which assist in electron injection; but this technology is very sensitive regarding the overall electron injection characteristics, as they are added in the form of a film on the cathode. Koch et al. examined the influence of preparation conditions of PEI films to reduce the work function of electrode materials [46]. They obtained a homogenous PEI film on ZnO by annealing in a vacuum, which produced an improved electron injection due to the lowered work function at the interface. On the other hand, this enhancement was only possible with vacuum annealing. Atmospheric annealing led to the significant diffusion of PEI into the adjacent film, resulting in poor surface coverage with PEI and residual solvent. The multilayered structure was unstable, and the materials were easily mixed at the interface, as is often the case in the solution process. Therefore, this study attempted to mix the solutions to enhance the electron injection characteristics. The mixing of PEG into the PEI solution was modified. Before manufacturing the device, this study investigated the adhesion characteristic of PEG, as shown in Figure 8. PEG was added to 0.01 wt% PEI, which revealed enhanced adhesion characteristics.
Figure 6.
Electrical and adhesive characteristics of the interfacial layer according to the PEI content.
Figure 7.
An energy diagram for each layer of the OLED device in this study.
Figure 8.
The adhesion characteristics of the PEI layer with the addition of PEG.
3.3. Device Characteristics
An OLED device was manufactured using the procedure explained in Figure 2. Its composition of two opposing surfaces is the same, that is, it uses the PEI and PEG mixture. The devices turned on in the range of 4–6 V. Figure 9 compares the electrical characteristics of OLED devices that use different types of the adhesive interlayers, in which the current density showed the highest values of 1600 and 1850 mA/cm2, respectively, for the 0.01 wt% PEI and 0.01 wt% PEG. When we mixed PEI and PEG, the current density was lower than the PEI-only and PEG-only cases; the highest value of 500 mA/cm2 was achieved when the 0.01 wt% PEI and 0.05 wt% PEG was mixed. Figure 10 compares the luminous characteristic of the OLED devices, in which the highest value of 2700 cd/m2 was obtained for the 0.1 wt% PEI and 0.01 wt% PEG mixture. Comparing Figure 9 and Figure 10, it is noticeable that the current density and luminance showed different dependences upon the composition of the adhesive interlayer. The current density was the highest for the minimum content, but luminance was the highest for the lower current density. Many modern OLEDs incorporate a simple bilayer structure, consisting of a conductive layer and an emissive layer. In this case, balanced ambipolar transport is a crucial property required for obtaining efficient OLEDs. It has been reported that Super Yellow has similar mobility properties for both holes and electrons when prepared using the spin coating technique [47]. However, there is still a possibility of imbalance between the number of electrons and holes in the EML. In most conjugated polymers, the hole mobility is usually higher than the electron mobility. Furthermore, there have been reports of enhancing the electron injection at the cathode by providing a more gradual electronic profile [48] or blocking a charge from reaching the anode [49]. In these cases, electron injection is improved and the electron concentration varies continuously in EMLs; however, balancing charge transport within the emissive region becomes an important issue [50]. The mismatches between Figure 9 and Figure 10 are also explained by the unbalancing problem of the charge carriers, which needs to be solved through continuous research.
Figure 9.
Comparison of the electrical characteristics of the adhesive interlayers: (a) PEI only; (b) PEG only; (c) PEI and PEG mixed.
Figure 10.
Comparison of the luminous characteristics of the adhesive interlayers: (a) PEI only; (b) PEG only; (c) PEI and PEG mixed.
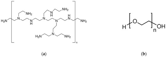
From Figure 10a,c, it can be seen that after adding PEG, the voltage of the OLED increases and the brightness decreases. Figure 11 shows the chemical structures of two different types of surface modifiers, that is, PEI and PEG. PEI is known to change the work function of the metallic cathode via the spontaneous orientation of the ethylamine group within the PEI layer, leading to the formation of permanent dipoles at the interface pointing outwards towards the metallic surface [35]. As shown in Figure 11a, these polymers are composed of amine groups in their backbone and side chains, and can therefore cause strong molecular dipoles not only within the structure but also between an adsorbed PEI molecule and the underlying metallic cathode surface [36]. These strong dipoles can shift the vacuum level and reduce the work function of the cathode, and can reduce the electron injection energy barrier to make electron injection into the emissive layer more efficient. In comparison to this, PEG is a small-molecule surface modifier, as shown in Figure 11b. Self-assembly small-molecule monolayers are widely used to tune the work function based on chemical or physical interactions between the small molecules and target surface [37]. The work function increase or decrease depends on the direction of the dipole moment. For example, when the monolayer of aminopropyltrimethoxysilane (APTES) is deposited on ZnO, APTES chemisorbs onto the ZnO surface due to the Si–O chemical bonding. Besides the self-assembled molecular dipole, doped or self-doped small molecules are used to construct low-work function interfaces. Doping increases the charge carrier concentration and electrical conductivity and shifts up the Fermi level. Electron-donating groups, such as amine, are attached to electron-deficient molecules such as fullerene to form self-doping with a large electron carrier concentration. The reasons explaining why we mixed PEI and PEG in this study are summarized again as follows. In early experiments, we found that a lamination device could light up when only PEI is used as an adhesive layer. However, in this case, the adhesive strength was too weak due to the film thickness being too thin. When we increased the thickness of PEI to increase the adhesive strength, the current density decreased and the device did not light up, which was understood to be characteristic of a non-conjugated polymer surface modifier. That is why we added PEG as a small-molecule surface modifier into the PEI solution. PEG has strong adhesive properties, and when mixed with PEI, it can be found to increase the number of charges by forming independent dipoles within the mixture. This is a different attempt from other studies, which coated PEG with a separate thin layer on the surface. We believe that with an adhesive device like ours, we have been able to obtain results that satisfy both the properties of adhesion and electrical conduction at the same time due to the form of this mixture of PEI and PEG. However, as shown in Figure 10, lowering the work function in a mixed solution of PEI and PEG requires detailed analyses of complex phenomena, such as the directionality of the dipole and the interaction between the PEI and PEG dipoles. In this paper, the results were obtained to confirm the physical adhesion, electrical conduction characteristics, and lighting required for a lamination adhesive device through mixing PEI and PEG, so the subsequent process will be discussed in detail in the next paper.
Figure 11.
Chemical structures of two different types of surface modifiers: (a) PEI; (b) PEG.
4. Discussion
This paper studies a two-substrate bonding technology using hot roller lamination for all-solution-processed OLED manufacturing. The results obtained here require further improvement in two aspects. The first involves cathode formation. In the solution process, Al is generally used as the cathode, but in our experiment, Al was quickly oxidized during the laminating process in the air, so Ag, a noble metal, was used as the cathode. Evaporation and printing were compared as methods for forming the cathode with Ag, but due to problems with surface roughness, the device was manufactured using evaporation. The lamination device made of the silver cathode showed stable characteristics in terms of adhesion, electrical, and optical properties, despite having a higher work function than aluminum. Since it is necessary to screen print Ag for the solution process, we are continuing to conduct experiments to smooth the printing surface and create laminating devices using Ag-printed electrodes. The second thing to discuss concerns the intermediate adhesive layer. In this study, when 0.1 wt% PEI and 0.01 wt% PEG was mixed, the device had a maximum luminance of 2700 cd/m2. It is encouraging that we were able to obtain results that satisfy both the properties of adhesion and electrical conduction at the same time due to the form of this mixture of PEI and PEG. PEG has strong adhesive properties, and when mixed with PEI, we found that it acts to increase the number of charges by forming independent dipoles within the mixture. However, the results of this study revealed many areas for improvement. The electrical and luminous characteristics were insufficient. Lowering the work function in a mixed solution of PEI and PEG requires detailed analyses of complex phenomena in the mixture. The experimental conditions showing the maximum values of current density characteristics and luminance characteristics were different. For now, this inconsistency is inferred to be due to the number of electrons and holes being unbalanced. In future studies, we will create EOD and HOD devices to individually monitor the flow of electrons and holes, and insert an intermediate layer to allow a similar number of electrons and holes to recombine in the emissive layer. In this paper, we omitted the HTL and ETL to reduce experimental errors with a simple structure. However, in the next paper, we will fabricate a proper OLED device including all of the layers and identify detailed optical and electrical characteristics. In addition, since our research uses a Ag cathode, we will conduct research to select an intermediate layer that can reduce the work function difference between Ag and the emissive layer.
Author Contributions
Conceptualization, C.-H.M.; Validation, C.-H.M.; Investigation, C.-H.M.; Writing—original draft, D.-H.Y. and C.-H.M.; Writing—review & editing, D.-H.Y.; Supervision, C.-H.M. All authors have read and agreed to the published version of the manuscript.
Funding
This research was supported by the Korea Institute for Advancement of Technology (KIAT) grant funded by the Korean Government (MOTIE) (P0012453, the Competency Development Program for Industry Specialist).
Data Availability Statement
The data presented in this study are available on request.
Conflicts of Interest
The authors declare no conflicts of interest.
References
- Shin, S.; Yang, M.; Guo, L.J.; Youn, H. Roll-to-Roll Cohesive, Coated, Flexible, High-Efficiency Polymer Light-Emitting Diodes Utilizing ITO-Free Polymer Anodes. Small 2013, 9, 4036–4044. [Google Scholar] [CrossRef]
- Youn, H.; Jeon, K.; Shin, S.; Yang, M. All-solution blade–slit coated polymer light-emitting diodes. Org. Electron. 2012, 13, 1470–1478. [Google Scholar] [CrossRef]
- Zheng, H.; Zheng, Y.; Liu, N.; Ai, N.; Wang, Q.; Wu, S.; Zhou, J.; Hu, D.; Yu, S.; Han, S. All-solution processed polymer light-emitting diode displays. Nat. Commun. 2013, 4, 1971. [Google Scholar] [CrossRef]
- Duggal, A.R.; Heller, C.M.; Shiang, J.J.; Liu, J.; Lewis, L.N. Solution-processed organic light-emitting diodes for lighting. J. Disp. Technol. 2007, 3, 184–192. [Google Scholar] [CrossRef]
- Zhong, C.; Duan, C.; Huang, F.; Wu, H.; Cao, Y. Materials and devices toward fully solution processable organic light-emitting diodes. Chem. Mater. 2011, 23, 326–340. [Google Scholar] [CrossRef]
- Cho, D.-H.; Kwon, O.E.; Park, Y.-S.; Yu, B.G.; Lee, J.; Moon, J.; Cho, H.; Lee, H.; Cho, N.S. Flexible integrated OLED substrates prepared by printing and plating process. Org. Electron. 2017, 50, 170–176. [Google Scholar] [CrossRef]
- Zhang, M.; Höfle, S.; Czolk, J.; Mertens, A.; Colsmann, A. All-solution processed transparent organic light emitting diodes. Nanoscale 2015, 7, 20009–20014. [Google Scholar] [CrossRef]
- Höfle, S.; Schienle, A.; Bruns, M.; Lemmer, U.; Colsmann, A. Enhanced electron injection into inverted polymer light-emitting diodes by combined solution-processed zinc oxide/polyethylenimine interlayers. Adv. Mater. 2014, 26, 2750–2754. [Google Scholar] [CrossRef]
- Guo, T.F.; Pyo, S.; Chang, S.C.; Yang, Y. High performance polymer light-emitting diodes fabricated by a low temperature lamination process. Adv. Funct. Mater. 2001, 11, 339–343. [Google Scholar] [CrossRef]
- Bernards, D.A.; Biegala, T.; Samuels, Z.A.; Slinker, J.D.; Malliaras, G.G.; Flores-Torres, S.; Abruna, H.D.; Rogers, J.A. Organic light-emitting devices with laminated top contacts. Appl. Phys. Lett. 2004, 84, 3675–3677. [Google Scholar] [CrossRef]
- Du, J.; Tong, T.; Akande, W.; Tsakiridou, A.; Soboyejo, W. Pressure effects on the lamination of organic light-emitting diodes. J. Disp. Technol. 2013, 9, 601–606. [Google Scholar] [CrossRef]
- Lin, C.-Y.; Hu, N.-W.; Chang, H.-W.; Lu, C.-Y.; Chen, C.-Y.; Wu, C.-C. Efficient transparent small-molecule organic light-emitting devices adopting laminated transparent top electrodes. Org. Electron. 2016, 28, 25–30. [Google Scholar] [CrossRef]
- Chang, Y.-F.; Chen, C.-Y.; Luo, F.-T.; Chao, Y.-C.; Meng, H.-F.; Zan, H.-W.; Lin, H.-W.; Horng, S.-F.; Chao, T.-C.; Yeh, H.-C. Vacuum-free lamination of low work function cathode for efficient solution-processed organic light-emitting diodes. Org. Electron. 2012, 13, 388–393. [Google Scholar] [CrossRef]
- Liu, J.; Lewis, L.N.; Faircloth, T.J.; Duggal, A.R. High performance organic light-emitting diodes fabricated via a vacuum-free lamination process. Appl. Phys. Lett. 2006, 88, 223509. [Google Scholar] [CrossRef]
- Minani, T.; Satoh, R.-i.; Okada, H.; Naka, S. Double-faced organic light-emitting device using laminate method. Japanese. J. Appl. Phys. 2011, 50, 01BC12. [Google Scholar] [CrossRef]
- Ramezani, F.; Simões, B.D.; Carbas, R.J.; Marques, E.A.; da Silva, L.F. Developments in Laminate Modification of Adhesively Bonded Composite Joints. Materials 2023, 16, 568. [Google Scholar] [CrossRef]
- Lee, T.-W.; Zaumseil, J.; Bao, Z.; Hsu, J.W.; Rogers, J.A. Organic light-emitting diodes formed by soft contact lamination. Proc. Natl. Acad. Sci. USA 2004, 101, 429–433. [Google Scholar] [CrossRef]
- Guo, T.-F.; He, G.; Pyo, S.; Yang, Y. Investigation of the interfacial properties of laminated polymer diodes. Appl. Phys. Lett. 2002, 80, 4042–4044. [Google Scholar] [CrossRef]
- Miyagawa, M.; Koike, R.; Takahashi, M.; Bessho, H.; Hibino, S.; Tsuchiya, I.; Harano, M.; Endo, M.; Taniguchi, Y. Low work function MgAg-coated poly (ethylene terephthalate) films for organic light-emitting device fabrication with lamination process. Jpn. J. Appl. Phys. 2007, 46, 7483. [Google Scholar] [CrossRef]
- Ouyang, J.; Yang, Y. Conducting polymer as transparent electric glue. Adv. Mater. 2006, 18, 2141–2144. [Google Scholar] [CrossRef]
- Vicca, P.; Steudel, S.; Genoe, J.; Heremans, P. Adhesion promoting polymer interlayers for Ag layers deposited in OLED processing. J. Adhes. Sci. Technol. 2010, 24, 1145–1151. [Google Scholar] [CrossRef]
- Tong, T.; Babatope, B.; Admassie, S.; Meng, J.; Akwogu, O.; Akande, W.; Soboyejo, W. Adhesion in organic electronic structures. J. Appl. Phys. 2009, 106, 083708. [Google Scholar] [CrossRef]
- Li, Z.; Zhang, R.; Moon, K.S.; Liu, Y.; Hansen, K.; Le, T.; Wong, C. Highly conductive, flexible, polyurethane-based adhesives for flexible and printed electronics. Adv. Funct. Mater. 2013, 23, 1459–1465. [Google Scholar] [CrossRef]
- Moon, C.-H. All-Solution-Processed OLEDs Using Printed Ag Electrodes and a PEI Bonding Layer. Korean J. Met. Mater. 2023, 61, 175–182. [Google Scholar] [CrossRef]
- Moon, C.-H. Characteristics of the Adhesion Layer for the Flexible Organic Light Emitting Diodes. J. Adhes. Interface 2023, 24, 86–94. [Google Scholar]
- Parker, I.D. Carrier tunneling and device characteristics in polymer light-emitting diodes. J. Appl. Phys. 1994, 75, 1656–1666. [Google Scholar] [CrossRef]
- Blom, P.W.; De Jong, M.; Vleggaar, J. Electron and hole transport in poly (p-phenylene vinylene) devices. Appl. Phys. Lett. 1996, 68, 3308–3310. [Google Scholar] [CrossRef]
- Bohnenbuck, B.; von Hauff, E.; Parisi, J.; Deibel, C.; Dyakonov, V. Current-limiting mechanisms in polymer diodes. J. Appl. Phys. 2006, 99, 024506. [Google Scholar] [CrossRef]
- Yin, Z.; Zhu, W.; Wan, M.; Liu, D.; Wang, M.; Chen, G.; Li, J. Electron injection characteristics of a cathodic interface for an organic light emitting diode in a dark injection space-charge-limited current experiment. J. Phys. D Appl. Phys. 2019, 52, 345101. [Google Scholar] [CrossRef]
- Courtright, B.A.; Jenekhe, S.A. Polyethylenimine interfacial layers in inverted organic photovoltaic devices: Effects of ethoxylation and molecular weight on efficiency and temporal stability. ACS Appl. Mater. Interfaces 2015, 7, 26167–26175. [Google Scholar] [CrossRef]
- Pan, J.; Chen, J.; Huang, Q.; Khan, Q.; Liu, X.; Tao, Z.; Zhang, Z.; Lei, W.; Nathan, A. Size tunable ZnO nanoparticles to enhance electron injection in solution processed QLEDs. ACS Photonics 2016, 3, 215–222. [Google Scholar] [CrossRef]
- Huang, Y.; Cai, P.; Ren, P.; Zhang, X.; Du, Y.; Zou, Z.; Xiong, J.; Xue, X.; Zhang, J.; Chen, J. Efficient inverted polymer solar cells with ITO cathode modified by zinc oxide and polyethylene oxide bilayers. Phys. Status Solidi A 2018, 215, 1800113. [Google Scholar] [CrossRef]
- Youn, H.; Yang, M. Solution processed polymer light-emitting diodes utilizing a ZnO/organic ionic interlayer with Al cathode. Appl. Phys. Lett. 2010, 97, 243302. [Google Scholar] [CrossRef]
- Yu, J.H.; Heo, S.B.; Shin, J.S.; Kang, S.J. Improvement of the electron transport behavior in quantum-dot light-emitting diodes using a low-temperature processable ZnO. Curr. Appl. Phys. 2020, 20, 366–370. [Google Scholar] [CrossRef]
- Yang, D.; Fu, P.; Zhang, F.; Wang, N.; Zhang, J.; Li, C. High efficiency inverted polymer solar cells with room-temperature titanium oxide/polyethylenimine films as electron transport layers. J. Mater. Chem. A 2014, 2, 17281–17285. [Google Scholar] [CrossRef]
- Kim, Y.H.; Han, T.H.; Cho, H.; Min, S.Y.; Lee, C.L.; Lee, T.W. Polyethylene imine as an ideal interlayer for highly efficient inverted polymer light-emitting diodes. Adv. Funct. Mater. 2014, 24, 3808–3814. [Google Scholar] [CrossRef]
- Peng, X.; Hu, L.; Qin, F.; Zhou, Y.; Chu, P.K. Low Work Function Surface Modifiers for Solution-Processed Electronics: A Review. Adv. Mater. Interfaces 2018, 5, 1701404. [Google Scholar] [CrossRef]
- Nouzman, L.; Frey, G. Directed migration of additives to form top interlayers in polymer light emitting diodes. J. Mater. Chem. C 2017, 5, 12744–12751. [Google Scholar] [CrossRef]
- Rao, M.V.M.; Moon, C.H. Solution-processed cesium carbonate doped electron transport layer for multilayered polymer light emitting devices. Optoelectron. Adv. Mater. Rapid Commun. 2018, 12, 164–167. [Google Scholar]
- Rao, M.V.M.; Moon, C.H. Solution processed, ionic compound dispersed with small molecular effective interfacial layer for polymer light-emitting devices. J. Optoelectron. Adv. Mater. 2018, 20, 98–101. [Google Scholar]
- Campbell, T.; Kalia, R.K.; Nakano, A.; Vashishta, P.; Ogata, S.; Rodgers, S. Dynamics of oxidation of aluminum nanoclusters using variable charge molecular-dynamics simulations on parallel computers. Phys. Rev. Lett. 1999, 82, 4866. [Google Scholar] [CrossRef]
- Song, M.-G.; Kim, K.-S.; Yang, H.I.; Kim, S.K.; Kim, J.-H.; Han, C.-W.; Choi, H.-C.; Pode, R.; Kwon, J.H. Highly reliable and transparent Al doped Ag cathode fabricated using thermal evaporation for transparent OLED applications. Org. Electron. 2020, 76, 105418. [Google Scholar] [CrossRef]
- Zeng, W.; Wu, H.; Zhang, C.; Huang, F.; Peng, J.; Yang, W.; Cao, Y. Polymer light-emitting diodes with cathodes printed from conducting Ag paste. Adv. Mater. 2007, 19, 810–814. [Google Scholar] [CrossRef]
- Valeton, J.J.; Hermans, K.; Bastiaansen, C.W.; Broer, D.J.; Perelaer, J.; Schubert, U.S.; Crawford, G.P.; Smith, P.J. Room temperature preparation of conductive silver features using spin-coating and inkjet printing. J. Mater. Chem. 2010, 20, 543–546. [Google Scholar] [CrossRef]
- Zhu, F.; Hao, X.-T.; Soo, O.K.; Li, Y.; Tan, L.-W. Toward novel flexible display-top-emitting OLEDs on Al-laminated PET substrates. Proc. IEEE 2005, 93, 1440–1446. [Google Scholar] [CrossRef]
- Bontapalle, S.; Opitz, A.; Schlesinger, R.; Marder, S.R.; Varughese, S.; Koch, N. Electrode Work Function Reduction by Polyethylenimine Interlayers: Choice of Solvent and Residual Solvent Removal for Superior Functionality. Adv. Mater. Interfaces 2020, 7, 2000291. [Google Scholar] [CrossRef]
- Szymański, M.Z.; Łuszczyńska, B.; Ulański, J. Inkjet printing of super yellow: Ink formulation, film optimization, OLEDs fabrication, and transient electroluminescence. Sci. Rep. 2019, 9, 8493. [Google Scholar] [CrossRef]
- Piromreun, P.; Oh, H.; Shen, Y.; Malliaras, G.G.; Scott, J.C.; Brock, P.J. Role of CsF on electron injection into a conjugated polymer. Appl. Phys. Lett. 2000, 77, 2403–2405. [Google Scholar] [CrossRef]
- Ammermann, D.; Böhler, A.; Dirr, S.; Johannes, H.; Kowalsky, W. Multilayer organic light emitting diodes for flat panel displays. Int. J. Electron. Commun. 1996, 50, 327–333. [Google Scholar]
- Seifert, R.; Scholz, S.; Lüssem, B.; Leo, K. Comparison of ultraviolet-and charge-induced degradation phenomena in blue fluorescent organic light emitting diodes. Appl. Phys. Lett. 2010, 97, 013308. [Google Scholar] [CrossRef]
Disclaimer/Publisher’s Note: The statements, opinions and data contained in all publications are solely those of the individual author(s) and contributor(s) and not of MDPI and/or the editor(s). MDPI and/or the editor(s) disclaim responsibility for any injury to people or property resulting from any ideas, methods, instructions or products referred to in the content. |
© 2023 by the authors. Licensee MDPI, Basel, Switzerland. This article is an open access article distributed under the terms and conditions of the Creative Commons Attribution (CC BY) license (https://creativecommons.org/licenses/by/4.0/).










