Analysis of Frequency Regulation Capability and Fatigue Loads of Wind Turbine Based on Over-Speed Control
Abstract
1. Introduction
2. Frequency Regulation Method Based on Over-Speed Control
2.1. Wind Turbine Control
2.2. Over-Speed Control
3. The Small Signal of Wind Turbine Model Based on Over-Speed Control
3.1. Aerodynamics
3.2. Drive Train Based on Dual-Mass Model
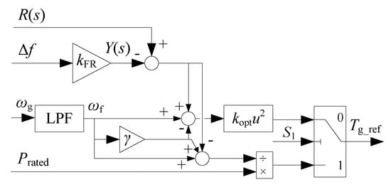
3.3. Wind Turbine Control
3.4. Generator
3.5. The Small Signal Model of Wind Turbine under Different Operating Region
4. Analysis of Stability and Response Characteristics of the Power System Frequency
4.1. Stability Analysis Based on Open-Loop Transfer Function
4.2. Response Analysis Based on Closed-Loop Transfer Function
4.3. Evaluation of Primary Frequency Regulation Capability
5. Analysis of the Fatigue Load Caused by Frequency Regulation
5.1. The Fatigue Load of Low-Speed Shaft Caused by Frequency Regulation
5.2. The Fatigue Load of Tower Bending Moments Caused by Frequency Regulation
5.3. The Fatigue Load of Blade Bending Moments Caused by Frequency Regulation
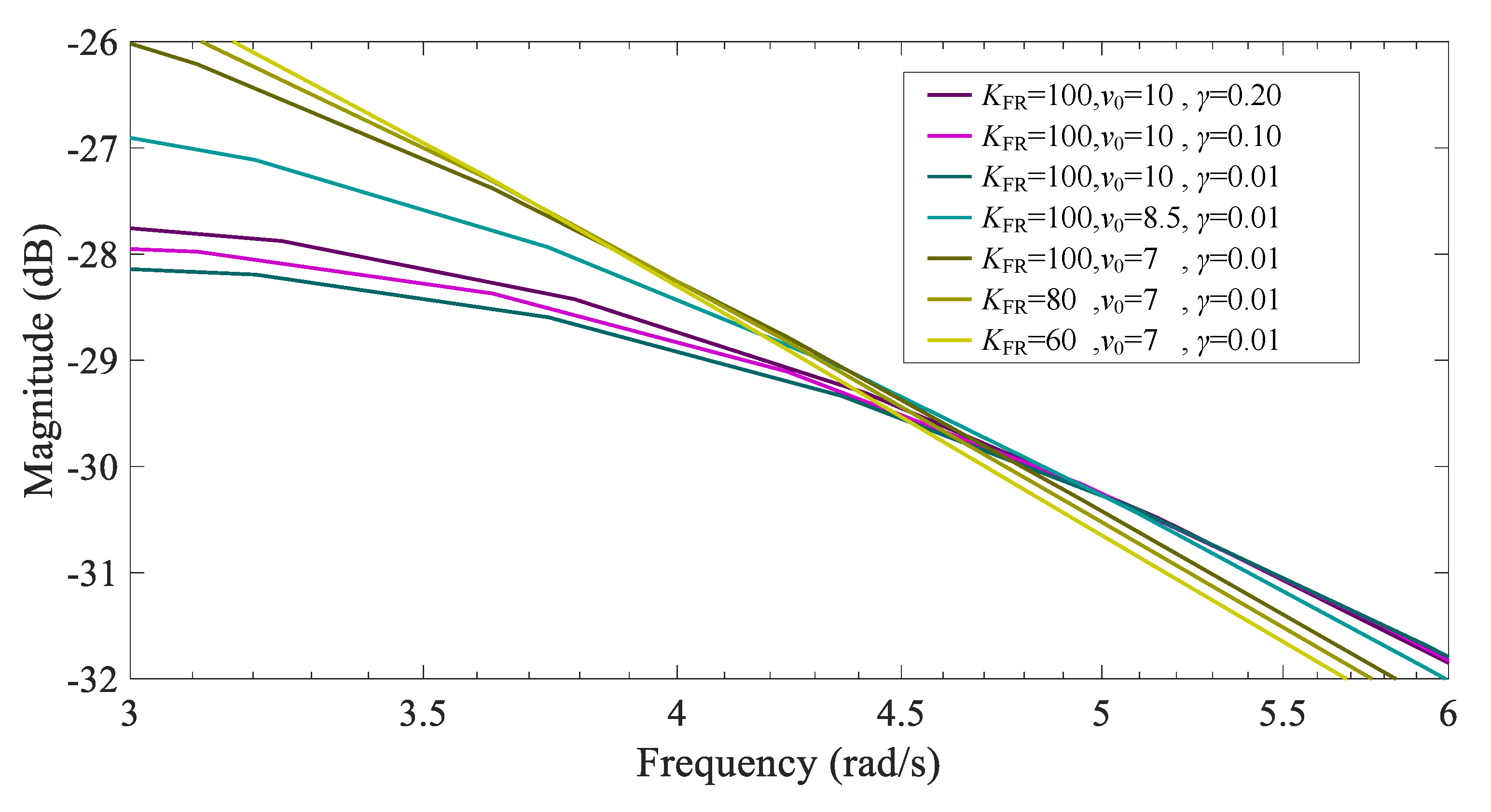
5.4. The Impact of WT Parameters on Fatigue Load under Frequency Response
6. Conclusions and Discussions
Author Contributions
Funding
Data Availability Statement
Conflicts of Interest
References
- Cheng, Y.; Azizipanah-Abarghooee, R.; Azizi, S.; Ding, L.; Terzija, V. Smart frequency control in low inertia energy systems based on frequency response techniques: A review. Appl. Energy 2020, 279, 115798. [Google Scholar] [CrossRef]
- Yao, Q.; Li, S.; He, J.; Cai, W.; Hu, Y. New design of a wind farm frequency control considering output uncertainty and fatigue suppression. Energy Rep. 2023, 9, 1436–1446. [Google Scholar] [CrossRef]
- Guan, M. Scheduled Power Control and Autonomous Energy Control of Grid-Connected Energy Storage System (ESS) With Virtual Synchronous Generator and Primary Frequency Regulation Capabilities. IEEE Trans. Power Syst. 2022, 37, 942–954. [Google Scholar] [CrossRef]
- Björk, J.; Pombo, D.V.; Johansson, K.H. Variable-Speed Wind Turbine Control Designed for Coordinated Fast Frequency Reserves. IEEE Trans. Power Syst. 2022, 37, 1471–1481. [Google Scholar] [CrossRef]
- Zhang, X.; Lin, B.; Xu, K.; Zhang, Y.; Hao, S.; Hu, Q. An Improved Over-Speed Deloading Control of Wind Power Systems for Primary Frequency Regulation Considering Turbulence Characteristics. Energies 2023, 16, 2813. [Google Scholar] [CrossRef]
- Liu, M.; Chen, J.; Milano, F. On-Line Inertia Estimation for Synchronous and Non-Synchronous Devices. IEEE Trans. Power Syst. 2021, 36, 2693–2701. [Google Scholar] [CrossRef]
- Manaz, M.A.M.; Lu, C.N. Design of Resonance Damper for Wind Energy Conversion System Providing Frequency Support Service to Low Inertia Power Systems. IEEE Trans. Power Syst. 2020, 35, 4297–4306. [Google Scholar] [CrossRef]
- Lee, G.S.; Kwon, D.H.; Moon, S.I.; Hwang, P.I. A Coordinated Control Strategy for LCC HVDC Systems for Frequency Support with Suppression of AC Voltage Fluctuations. IEEE Trans. Power Syst. 2020, 35, 2804–2815. [Google Scholar] [CrossRef]
- Ortega, A.; Milano, F. A Method for Evaluating Frequency Regulation in an Electrical Grid—Part II: Applications to Non-Synchronous Devices. IEEE Trans. Power Syst. 2021, 36, 194–203. [Google Scholar] [CrossRef]
- Zhao, J.; Lyu, X.; Fu, Y.; Hu, X.; Li, F. Coordinated Microgrid Frequency Regulation Based on DFIG Variable Coefficient Using Virtual Inertia and Primary Frequency Control. IEEE Trans. Energy Convers. 2016, 31, 833–845. [Google Scholar] [CrossRef]
- Arani, M.F.M.; Mohamed, Y.A.R.I. Analysis and Mitigation of Undesirable Impacts of Implementing Frequency Support Controllers in Wind Power Generation. IEEE Trans. Energy Convers. 2016, 31, 174–186. [Google Scholar] [CrossRef]
- Arani, M.F.M.; Mohamed, Y.A.R.I. Analysis and Damping of Mechanical Resonance of Wind Power Generators Contributing to Frequency Regulation. IEEE Trans. Power Syst. 2017, 32, 3195–3204. [Google Scholar] [CrossRef]
- Fleming, P.A.; Aho, J.; Buckspan, A.; Ela, E.; Zhang, Y.; Gevorgian, V.; Scholbrock, A.; Pao, L.; Damiani, R. Effects of power reserve control on wind turbine structural loading. Wind. Energy 2016, 19, 453–469. [Google Scholar] [CrossRef]
- Attya, A.B.T.; Dominguez-García, J.L. Insights on the Provision of Frequency Support by Wind Power and the Impact on Energy Systems. IEEE Trans. Sustain. Energy 2018, 9, 719–728. [Google Scholar] [CrossRef]
- You, R.; Barahona, B.; Chai, J.; Cutululis, N.A. Frequency support capability of variable speed wind turbine based on electromagnetic coupler. Renew. Energy 2015, 74, 681–688. [Google Scholar] [CrossRef]
- Barahona Garzón, B.; You, R.; Hansen, A.D.; Cutululis, N.A.; Sørensen, P.E. Assessment of the impact of frequency support on DFIG wind turbine loads. In Proceedings of the 12th International Workshop on Large-Scale Integration of Wind Power into Power Systems as well as on Transmission Networks for Offshore Wind Power Plants, London, UK, 22–24 October 2013; pp. 1–7. [Google Scholar]
- Guo, F.; Schlipf, D. A Spectral Model of Grid Frequency for Assessing the Impact of Inertia Response on Wind Turbine Dynamics. Energies 2021, 14, 2492. [Google Scholar] [CrossRef]
- Zhang, X.; He, W.; Hu, J. Impact of Inertia Control of DFIG-Based WT on Torsional Vibration in Drivetrain. IEEE Trans. Sustain. Energy 2020, 11, 2525–2534. [Google Scholar] [CrossRef]
- Wang, Y.; Guo, Y.; Zhang, D. Optimal ancillary control for frequency regulation of wind turbine generator based on improved fatigue load sensitivity. Int. J. Electr. Power Energy Syst. 2022, 137, 107751. [Google Scholar] [CrossRef]
- Zhao, H.; Wu, Q.; Guo, Q.; Sun, H.; Xue, Y. Distributed Model Predictive Control of a Wind Farm for Optimal Active Power ControlPart I: Clustering-Based Wind Turbine Model Linearization. IEEE Trans. Sustain. Energy 2015, 6, 831–839. [Google Scholar] [CrossRef]
- Buhl, M.L. MCrunch User’s Guide for Version 1.00; National Renewable Energy Laboratory: Denver, CO, USA, 2008.

































| Ref. | Component | Method | |||||
|---|---|---|---|---|---|---|---|
| LSS | Tower | Blade | TDA | Field Test | SA | SSA | |
| [11] | * | * | * | ||||
| [12] | * | * | * | ||||
| [13] | * | * | * | * | |||
| [14] | * | * | * | ||||
| [15] | * | * | * | ||||
| [16] | * | * | * | ||||
| [17] | * | * | |||||
| [18] | * | * | |||||
| This paper | * | * | * | * | * | ||
| Parameter | Value |
|---|---|
| rotor inertia | |
| generator inertia | |
| gear box ratio | 97 |
| generator rated speed | 122.91 (rad/s) |
| LSS viscous friction coefficient | |
| LSS spring constant coefficient | |
| air density | |
| length of the blade | 63 (m) |
| tower height | 87.6 (m) |
| cut-in wind speed | 3 (m/s) |
| rated wind speed | 11.4 (m/s) |
| rated power | 5 (MW) |
Disclaimer/Publisher’s Note: The statements, opinions and data contained in all publications are solely those of the individual author(s) and contributor(s) and not of MDPI and/or the editor(s). MDPI and/or the editor(s) disclaim responsibility for any injury to people or property resulting from any ideas, methods, instructions or products referred to in the content. |
© 2023 by the authors. Licensee MDPI, Basel, Switzerland. This article is an open access article distributed under the terms and conditions of the Creative Commons Attribution (CC BY) license (https://creativecommons.org/licenses/by/4.0/).
Share and Cite
Wang, Y.; Guo, Y.; Chen, Y.; Xu, W. Analysis of Frequency Regulation Capability and Fatigue Loads of Wind Turbine Based on Over-Speed Control. Electronics 2023, 12, 2009. https://doi.org/10.3390/electronics12092009
Wang Y, Guo Y, Chen Y, Xu W. Analysis of Frequency Regulation Capability and Fatigue Loads of Wind Turbine Based on Over-Speed Control. Electronics. 2023; 12(9):2009. https://doi.org/10.3390/electronics12092009
Chicago/Turabian StyleWang, Yingwei, Yufeng Guo, Yuheng Chen, and Weimao Xu. 2023. "Analysis of Frequency Regulation Capability and Fatigue Loads of Wind Turbine Based on Over-Speed Control" Electronics 12, no. 9: 2009. https://doi.org/10.3390/electronics12092009
APA StyleWang, Y., Guo, Y., Chen, Y., & Xu, W. (2023). Analysis of Frequency Regulation Capability and Fatigue Loads of Wind Turbine Based on Over-Speed Control. Electronics, 12(9), 2009. https://doi.org/10.3390/electronics12092009

