DCEC: D2D-Enabled Cost-Aware Cooperative Caching in MEC Networks
Abstract
1. Introduction
- We introduce the DCEC network architecture combining the advantages of the MEC and D2D technologies. Each requested content file can be served cooperatively by the caches at the MDs, by the caches at BSs, or the content library in central cloud servers.
- We propose the average delay cost model for requested content files by MUs and formulated the content caching optimization problem. We proved that this is the problem of maximizing a monotone submodular function under matroid constraints. To solve such a problem, we adopted the proactive cache placement algorithm and reactive cache replacement algorithm, aiming to minimize the average delay cost.
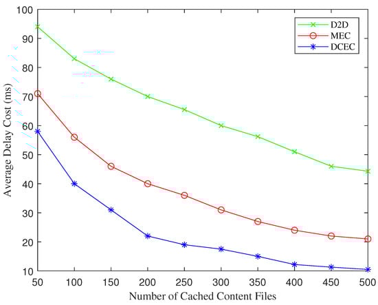
- Extensive simulations compared the DCEC network architecture with the MEC and D2D networks and the caching management scheme with the least-frequently used and the least-recently used scheme. The numerical results verified that the proposed DCEC architecture and scheme were effective at improving the cache hit ratio and reducing the average delay cost.
2. Related Work
3. System Model
3.1. DCEC Network Architecture
3.2. DCEC System Model
3.3. Cooperative Caching Model
- Local caching: The requested content file is already stored in the cache set of MD n, then the request can be served locally. The involved delay cost of obtaining the content file can be regarded as zero.
- D2D caching: When cannot be served locally, MD n would broadcast the request to its neighboring MDs (helpers), and the potential helpers immediately search for the in their own caching spaces . If there is a copy of in a typical MD, then it is transmitted to the requester through direct D2D links.
- Edge caching: Otherwise, the MDs will send the user requests to the serving BS. Once the BS receives the request, it will search for content file in its edge cache space . On the condition that a copy of exists, it is transmitted to the requester through the fronthaul links.
- Cloud server: If none of the above caching nodes store a copy of content file , the request can be further forwarded to the cloud servers. Then, the requester can be served via backhaul links.
- indicates that is served by the neighboring MD m, . It also indicates that the content file can be fetched from the MD itself (e.g., ). Thus, the request can be satisfied locally. Otherwise, .
- indicates that is served by at the BS; otherwise, .
- indicates that is fetched from the content library at the remote cloud servers; otherwise, .
3.4. Delay Cost Model
4. DCEC Cache Management Strategy
4.1. Problem Formulation
4.2. Problem Transformation
4.3. Cache Placement through Maximizing Monotone Submodular Function
- Monotonicity: In an intuitive manner, adding a new content file to the decision set will not weaken the set function [30]. Given a new file , we denote . Due to , It is easy to obtain . As a result, is a monotonic function, .
- Submodularity: For another cache placement decision set , , we denote . Since is monotone, we have
- :For this case, it is easy to see that no value increased when adding a new content file . Then, we can obtain and ; thus,
- :In this case, we can have . Thus, based on the inequality (24), we obtain
- For this one, we can obtain and . Moreover,
4.4. DCEC Cache Management Scheme
| Algorithm 1 Proactive cache placement algorithm. |
1. Initialization: , , , 2. Iteration: while do if then end if end while 3. Output: Content caching decision |
| Algorithm 2 Reactive cache replacement algorithm. |
1. Input: For the requested new content file i: 2. Iteration: for do if then end if end for 3. Output: Content caching decision |
5. Evaluation
5.1. Simulation Settings
5.2. Performance of DCEC Architecture
- D2D networks: In D2D networks, we considered cooperative caching only among neighboring MDs.
- MEC networks: In MEC networks, we only considered caching at the edge servers.
- Cache hit ratio: The parameter cache hit ratio is an important indicator, which is used to measure whether a cache management strategy is efficient. When a content file is requested by an MU, if the content file is found in the caches, it is considered as a cache hit; otherwise, the content file has to be fetched from the content library in the remote cloud servers; this process is a cache miss. Thus, the cache hit ratio can be represented as follows:
- Average delay cost: the average delay cost of fetching content files for all MUs.
5.3. Performance of DCEC Cache Management Scheme
6. Conclusions
Author Contributions
Funding
Data Availability Statement
Conflicts of Interest
References
- Wu, J.; Zhang, J.; Xiao, Y.; Ji, Y. Cooperative Offloading in D2D-Enabled Three-Tier MEC Networks for IoT. Wirel. Commun. Mob. Comput. 2021, 2021, 9977700:1–9977700:13. [Google Scholar] [CrossRef]
- Jiang, F.; Wang, K.; Dong, L.; Pan, C.; Xu, W.; Yang, K. AI Driven Heterogeneous MEC System with UAV Assistance for Dynamic Environment: Challenges and Solutions. IEEE Netw. 2021, 35, 400–408. [Google Scholar] [CrossRef]
- Liu, D.; Yang, C. Cache-enabled heterogeneous cellular networks: Comparison and tradeoffs. In Proceedings of the ICC 2016, Kuala Lumpur, Malaysia, 22–27 May 2016; pp. 1–6. [Google Scholar]
- Plachy, J.; Becvar, Z.; Strinati, E.C.; di Pietro, N. Dynamic Allocation of Computing and Communication Resources in Multi-Access Edge Computing for Mobile Users. IEEE Trans. Netw. Serv. Manag. 2021, 18, 2089–2106. [Google Scholar] [CrossRef]
- Chen, B.; Yang, C.; Molisch, A.F. Cache-Enabled Device-to-Device Communications: Offloading Gain and Energy Cost. IEEE Trans. Wirel. Commun. 2017, 16, 4519–4536. [Google Scholar] [CrossRef]
- Li, J.; Peng, Z.; Xiao, B.; Hua, Y. Make smartphones last a day: Pre-processing based computer vision application offloading. In Proceedings of the SECON 2015, Seattle, WA, USA, 22–25 June 2015; pp. 462–470. [Google Scholar]
- Hauswald, J.; Manville, T.; Zheng, Q.; Dreslinski, R.G.; Chakrabarti, C.; Mudge, T.N. A hybrid approach to offloading mobile image classification. In Proceedings of the ICASSP 2014, Florence, Italy, 4–9 May 2014; pp. 8375–8379. [Google Scholar]
- Wang, X.; Ji, Y.; Zhang, J.; Bai, L.; Zhang, M. Low-Latency Oriented Network Planning for MEC-Enabled WDM-PON Based Fiber-Wireless Access Networks. IEEE Access 2019, 7, 183383–183395. [Google Scholar] [CrossRef]
- Liu, Z.; Zhang, J.; Wu, J. Joint Optimization of Server Placement and Content Caching in Mobile Edge Computing Networks. In Proceedings of the ICNCC 2019: The 8th International Conference on Networks, Communication and Computing, Luoyang China, 13–15 December 2019. [Google Scholar]
- Ghosh, S.; Agrawal, D.P. A high performance hierarchical caching framework for mobile edge computing environments. In Proceedings of the IEEE Wireless Communications and Networking Conference (WCNC), Nanjing, China, 29 March–1 April 2021; pp. 1–6. [Google Scholar]
- Tran, T.X.; Hajisami, A.; Pandey, P.; Pompili, D. Collaborative Mobile Edge Computing in 5G Networks: New Paradigms, Scenarios, and Challenges. IEEE Commun. Mag. 2017, 55, 54–61. [Google Scholar] [CrossRef]
- Xie, R.; Tang, Q.; Wang, Q.; Liu, X.; Yu, F.R.; Huang, T. Satellite-Terrestrial Integrated Edge Computing Networks: Architecture, Challenges, and Open Issues. IEEE Netw. 2020, 34, 224–231. [Google Scholar] [CrossRef]
- Sang, Z.; Guo, S.; Wang, Y. Collaborative Video Cache Management Strategy in Mobile Edge Computing. In Proceedings of the IEEE Wireless Communications and Networking Conference (WCNC), Nanjing, China, 29 March–1 April 2021; pp. 1–6. [Google Scholar]
- Zhang, X.; Ren, Y.; Lv, T.; Hanzo, L. Caching Scalable Videos in the Edge of Wireless Cellular Networks. IEEE Netw. 2022; early access. [Google Scholar] [CrossRef]
- Ji, M.; Caire, G.; Molisch, A.F. Wireless Device-to-Device Caching Networks: Basic Principles and System Performance. IEEE J. Sel. Areas Commun. 2016, 34, 176–189. [Google Scholar] [CrossRef]
- Yi, C.; Huang, S.; Cai, J. Joint Resource Allocation for Device-to-Device Communication Assisted Fog Computing. IEEE Trans. Mob. Comput. 2021, 20, 1076–1091. [Google Scholar] [CrossRef]
- Kim, J.; Kim, T.; Hashemi, M.; Brinton, C.G.; Love, D.J. Joint Optimization of Signal Design and Resource Allocation in Wireless D2D Edge Computing. In Proceedings of the INFOCOM 2020, Toronto, ON, Canada, 6–9 July 2020; pp. 2086–2095. [Google Scholar]
- Li, J.; Peng, Z.; Gao, S.; Xiao, B.; Chan, H.C.B. Smartphone-assisted energy efficient data communication for wearable devices. Comput. Commun. 2017, 105, 33–43. [Google Scholar] [CrossRef]
- Tran, T.X.; Hajisami, A.; Pompili, D. Cooperative Hierarchical Caching in 5G Cloud Radio Access Networks (C-RANs). IEEE Netw. 2016, 31, 35–41. [Google Scholar] [CrossRef]
- Wu, D.; Zhou, L.; Cai, Y.; Qian, Y. Collaborative Caching and Matching for D2D Content Sharing. IEEE Wirel. Commun. 2018, 25, 43–49. [Google Scholar] [CrossRef]
- Li, X.; Wang, X.; Wan, P.; Han, Z.; Leung, V.C.M. Hierarchical Edge Caching in Device-to-Device Aided Mobile Networks: Modeling, Optimization, and Design. IEEE J. Sel. Areas Commun. 2018, 36, 1768–1785. [Google Scholar] [CrossRef]
- Yuan, P.; Huang, R. Integrating the device-to-device communication technology into edge computing: A case study. Peer Peer Netw. Appl. 2021, 14, 599–608. [Google Scholar] [CrossRef]
- Sang, Z.; Guo, S.; Wang, Q.; Wang, Y. GCS: Collaborative video cache management strategy in multi-access edge computing. Ad Hoc Netw. 2021, 117, 102516. [Google Scholar] [CrossRef]
- Baccour, E.; Erbad, A.; Mohamed, A.; Guizani, M.; Hamdi, M. CE-D2D: Collaborative and Popularity-aware Proactive Chunks Caching in Edge Networks. In Proceedings of the 16th International Wireless Communications and Mobile Computing Conference (IWCMC), Limassol, Cyprus, 15–19 June 2020; pp. 1770–1776. [Google Scholar]
- Kafiloglu, S.S.; Gür, G.; Alagöz, F. Cooperative Caching and Video Characteristics in D2D Edge Networks. IEEE Commun. Lett. 2020, 24, 2647–2651. [Google Scholar] [CrossRef]
- Zhang, K.; Leng, S.; He, Y.; Maharjan, S.; Zhang, Y. Cooperative Content Caching in 5G Networks with Mobile Edge Computing. IEEE Wirel. Commun. 2018, 25, 80–87. [Google Scholar] [CrossRef]
- Wang, N.; Shao, W.; Bose, S.K.; Shen, G. MixCo: Optimal Cooperative Caching for Mobile Edge Computing in Fiber-Wireless Access Networks. In Proceedings of the 2018 Optical Fiber Communications Conference and Exposition (OFC), San Diego, CA, USA, 11–15 March 2018. [Google Scholar]
- Somesula, M.K.; Rout, R.R.; Somayajulu, D.V.L.N. Cooperative cache update using multi-agent recurrent deep reinforcement learning for mobile edge networks. Comput. Netw. 2022, 209, 108876. [Google Scholar] [CrossRef]
- Somesula, M.K.; Rout, R.R.; Somayajulu, D.V.L.N. Contact duration-aware cooperative cache placement using genetic algorithm for mobile edge networks. Comput. Netw. 2021, 193, 108062. [Google Scholar] [CrossRef]
- Tran, T.X.; Le, D.V.; Yue, G.; Pompili, D. Cooperative Hierarchical Caching and Request Scheduling in a Cloud Radio Access Network. IEEE Trans. Mob. Comput. 2018, 17, 2729–2743. [Google Scholar] [CrossRef]
- Zhao, T.; He, L.; Huang, X.; Li, F. QoE-Driven Secure Video Transmission in Cloud-Edge Collaborative Networks. IEEE Trans. Veh. Technol. 2022, 71, 681–696. [Google Scholar] [CrossRef]
- Tran, T.X.; Pandey, P.; Hajisami, A.; Pompili, D. Collaborative multi-bitrate video caching and processing in Mobile-Edge Computing networks. In Proceedings of the Wireless On-demand Network Systems & Services (WONS), Jackson, WY, USA, 21–24 February 2017; pp. 165–172. [Google Scholar]
- Chiang, Y.; Hsu, C.; Wei, H. Collaborative Social-Aware and QoE-Driven Video Caching and Adaptation in Edge Network. IEEE Trans. Multim. 2021, 23, 4311–4325. [Google Scholar] [CrossRef]
- Bhar, C.; Agrell, E. Energy- and Bandwidth-Efficient, QoS-Aware Edge Caching in Fog-Enhanced Radio Access Networks. IEEE J. Sel. Areas Commun. 2021, 39, 2762–2771. [Google Scholar] [CrossRef]
- Li, Q.; Shi, W.; Xiao, Y.; Ge, X.; Pandharipande, A. Content Size-Aware Edge Caching: A Size-Weighted Popularity-Based Approach. In Proceedings of the IEEE Global Communications Conference (GLOBECOM 2018), Abu Dhabi, United Arab Emirates, 9–13 December 2018; pp. 206–212. [Google Scholar]
- Miao, F.; Chen, D.; Jin, L. Multi-level PLRU Cache Algorithm for Content Delivery Networks. In Proceedings of the 10th International Symposium on Computational Intelligence and Design (ISCID 2017), Hangzhou, China, 9–10 December 2017; pp. 320–323. [Google Scholar]
- Wang, X.; Li, R.; Wang, C.; Li, X.; Taleb, T.; Leung, V.C.M. Attention-Weighted Federated Deep Reinforcement Learning for Device-to-Device Assisted Heterogeneous Collaborative Edge Caching. IEEE J. Sel. Areas Commun. 2021, 39, 154–169. [Google Scholar] [CrossRef]
- Zhang, X.; Zhu, Q. Collaborative Hierarchical Caching over 5G Edge Computing Mobile Wireless Networks. In Proceedings of the IEEE International Conference on Communications (ICC), Kansas City, MO, USA, 20–24 May 2018; pp. 1–6. [Google Scholar]
- Somesula, M.K.; Rout, R.R.; Somayajulu, D.V.L.N. Deadline-aware caching using echo state network integrated fuzzy logic for mobile edge networks. Wirel. Netw. 2021, 27, 2409–2429. [Google Scholar] [CrossRef]
- Kachris, C.; Tomkos, I. A Survey on Optical Interconnects for Data Centers. IEEE Commun. Surv. Tutor. 2012, 14, 1021–1036. [Google Scholar] [CrossRef]
- Liu, Z.; Jiawei, Z.; Yanan, L.; Lin, B.; Yuefeng, J. Joint Jobs Scheduling and Lightpath Provisioning in Fog Computing Micro Datacenter Networks. J. Opt. Commun. Netw. 2018, 10, B152–B163. [Google Scholar] [CrossRef]
- Ji, Y.; Gu, R.; Yang, Z.; Li, J.; Li, H.; Zhang, M. Artificial intelligence-driven autonomous optical networks: 3S architecture and key technologies. Sci. China Inf. Sci. 2020, 63, 160301. [Google Scholar] [CrossRef]
- Mu, J.; Jing, X.; Zhang, Y.; Gong, Y.; Zhang, R.; Zhang, F. Machine Learning-Based 5G RAN Slicing for Broadcasting Services. IEEE Trans. Broadcast. 2022, 68, 295–304. [Google Scholar] [CrossRef]
- Zhang, P.; Wang, C.; Jiang, C.; Han, Z. Deep Reinforcement Learning Assisted Federated Learning Algorithm for Data Management of IIoT. IEEE Trans. Ind. Inform. 2021, 17, 8475–8484. [Google Scholar] [CrossRef]
- Mu, J.; Gong, Y.; Zhang, F.; Cui, Y.; Zheng, F.; Jing, X. Integrated Sensing and Communication-Enabled Predictive Beamforming With Deep Learning in Vehicular Networks. IEEE Commun. Lett. 2021, 25, 3301–3304. [Google Scholar] [CrossRef]
- Cui, Y.; Jing, X.; Mu, J. Integrated Sensing and Communications Via 5G NR Waveform: Performance Analysis. In Proceedings of the IEEE International Conference on Acoustics, Speech and Signal Processing (ICASSP 2022), Virtual, 23–27 May 2022; pp. 8747–8751. [Google Scholar]
- Zhang, P.; Pang, X.; Kumar, N.; Aujla, G.S.; Cao, H. A Reliable Data-transmission Mechanism using Blockchain in Edge Computing Scenarios. IEEE Internet Things J. 2022, 9, 14228–14236. [Google Scholar] [CrossRef]
- Xu, C.; Pu, L.; Lin, G.; Wu, W.; Di, W. Exploiting Massive D2D Collaboration for Energy-Efficient Mobile Edge Computing. IEEE Wirel. Commun. 2017, 24, 64–71. [Google Scholar]
- Călinescu, G.; Chekuri, C.; Pál, M.; Vondrák, J. Maximizing a Monotone Submodular Function Subject to a Matroid Constraint. SIAM J. Comput. 2011, 40, 1740–1766. [Google Scholar] [CrossRef]
- Yao, Y.; Xiao, B.; Wang, W.; Yang, G.; Zhou, X.; Peng, Z. Real-Time Cache-Aided Route Planning Based on Mobile Edge Computing. IEEE Wirel. Commun. 2020, 27, 155–161. [Google Scholar] [CrossRef]
- He, Y.; Ren, J.; Yu, G.; Cai, Y. D2D Communications Meet Mobile Edge Computing for Enhanced Computation Capacity in Cellular Networks. IEEE Trans. Wireless Commun. 2019, 18, 1750–1763. [Google Scholar] [CrossRef]
- Pham, X.; Nguyen, T.; Nguyen, V.; Huh, E. Joint Service Caching and Task Offloading in Multi-Access Edge Computing: A QoE-Based Utility Optimization Approach. IEEE Commun. Lett. 2021, 25, 965–969. [Google Scholar] [CrossRef]
- Li, X.; Wang, X.; Xiao, S.; Leung, V.C.M. Delay performance analysis of cooperative cell caching in future mobile networks. In Proceedings of the 2015 IEEE International Conference on Communications (ICC 2015), London, UK, 8–12 June 2015; pp. 5652–5657. [Google Scholar]
- Balasubramanian, V.; Aloqaily, M.; Reisslein, M.; Scaglione, A. Intelligent Resource Management at the Edge for Ubiquitous IoT: An SDN-Based Federated Learning Approach. IEEE Netw. Mag. Comput. Commun. 2021, 35, 114–121. [Google Scholar] [CrossRef]









| Notation | Definition |
|---|---|
| N | the number of MDs |
| the set of MDs | |
| n | the index of MD |
| I | the maximum index of requested content file |
| the set of indexes of requested content files | |
| i | the index of requested content file |
| the content file i requested by MD n | |
| the delay cost of fetching | |
| the popularity of content file i cached in MD n | |
| the popularity of content file i | |
| the user with MD n who requests | |
| the user who holds MD n | |
| the set of MUs that may initiate a content request | |
| the maximum delay tolerance | |
| the storage capacity of MDs | |
| the feasible cache placement decision set of MDs | |
| the storage capacity of BS | |
| the cache set of BS | |
| the cache placement basic set | |
| the cache placement subset at MD n | |
| the cache placement subset at BS | |
| the content file i cached in cache | |
| the content file i cached in BS | |
| indicator variable for whether content file i is cached in cache | |
| indicator variable for whether content file i is cached in BS | |
| the delay cost from cloud servers to MD n | |
| the delay cost from cloud servers to BS | |
| the delay cost from BS to MD n | |
| the transmission delay from MD n to MD m | |
| the delay cost of fetching | |
| the average delay cost of MU |
| Parameter | Value |
|---|---|
| Radius of BS | 500 |
| The maximum D2D range | 50 |
| The square region | 2000 × 2000 [54] |
| MD caching capacity | 0.05 GB |
| Edge caching capacity | 4 GB |
Disclaimer/Publisher’s Note: The statements, opinions and data contained in all publications are solely those of the individual author(s) and contributor(s) and not of MDPI and/or the editor(s). MDPI and/or the editor(s) disclaim responsibility for any injury to people or property resulting from any ideas, methods, instructions or products referred to in the content. |
© 2023 by the authors. Licensee MDPI, Basel, Switzerland. This article is an open access article distributed under the terms and conditions of the Creative Commons Attribution (CC BY) license (https://creativecommons.org/licenses/by/4.0/).
Share and Cite
Wu, J.; Zhang, J.; Ji, Y. DCEC: D2D-Enabled Cost-Aware Cooperative Caching in MEC Networks. Electronics 2023, 12, 1974. https://doi.org/10.3390/electronics12091974
Wu J, Zhang J, Ji Y. DCEC: D2D-Enabled Cost-Aware Cooperative Caching in MEC Networks. Electronics. 2023; 12(9):1974. https://doi.org/10.3390/electronics12091974
Chicago/Turabian StyleWu, Jingyan, Jiawei Zhang, and Yuefeng Ji. 2023. "DCEC: D2D-Enabled Cost-Aware Cooperative Caching in MEC Networks" Electronics 12, no. 9: 1974. https://doi.org/10.3390/electronics12091974
APA StyleWu, J., Zhang, J., & Ji, Y. (2023). DCEC: D2D-Enabled Cost-Aware Cooperative Caching in MEC Networks. Electronics, 12(9), 1974. https://doi.org/10.3390/electronics12091974

