Next Article in Journal
PFDCT: An Enhanced Transport Layer Protocol for Precise Flow Control in Data Centers
Previous Article in Journal
Haptic Systems: Trends and Lessons Learned for Haptics in Spacesuits
 
 
Font Type:
Arial Georgia Verdana
Font Size:
Aa Aa Aa
Line Spacing:
Column Width:
Background:
Article

Mismatch-Shaping Switching Scheme for Split-Array Capacitive DACs

Department of Electronic Engineering, Hanyang University, Seoul 04763, Republic of Korea
*
Author to whom correspondence should be addressed.
Electronics 2023, 12(8), 1891; https://doi.org/10.3390/electronics12081891
Submission received: 16 March 2023 / Revised: 14 April 2023 / Accepted: 15 April 2023 / Published: 17 April 2023
(This article belongs to the Section Microelectronics)

Abstract

:
Capacitive DACs (C-DACs) are widely used as stand-alone DACs or in an ADC as auxiliary DACs. An important performance metric of a C-DAC is its energy consumption and the linearity between the digital input and the analog output. In multi-bit C-DACs, the mismatch between the capacitors can degrade linearity, which can be important in high-resolution applications. In this work, we analyze the power consumption and linearity performance of a class of C-DACs called split-array C-DACs. We show that the simple element rotation technique, which is widely used to suppress the mismatch error of DACs, cannot be used with the power-efficient three-level switching scheme to effectively suppress the mismatch error. Then, we propose a switching scheme which can be used with the power efficient three-level switching and can suppress the in-band mismatch error effectively.

1. Introduction

The capacitive digital-to-analog converter (C-DAC) is a popular type of DAC, which produces output voltage through charge redistribution between capacitors. C-DACs are especially widely used as auxiliary DACs in analog-to-digital converters (ADCs) such as delta-sigma ADCs, SAR ADCs, or pipelined ADCs, which require DACs to produce feedback signal which should be compared with the input signal [1,2,3,4,5,6,7,8,9,10,11,12,13,14]. An important characteristic of a C-DAC is the dynamic power consumption associated with the switching of the C-DAC. The switching energy of a C-DAC is dependent on the particular procedure in which capacitors are charged and discharged to produce the desired output requested by the digital code.
The power consumption is especially important for C-DACs employed in SAR ADCs, which require relatively high-resolution C-DACs. Furthermore, the bit-by-bit sequential nature of the switching makes the power efficiency sensitive to the details of the switching procedure. Therefore, there has been extensive research about low-power switching schemes for C-DACs used in SAR ADCs. In the conventional C-DAC reported in [1], high power consumption occurs when a trial capacitor switching is reversed and a new trial switching is carried out with the next capacitor. The split-capacitor array scheme of [2] uses two sub-arrays of capacitors, of which one sub-array is dedicated to raise the output voltage, while the other is used to lower the output voltage. It improves the power efficiency, because it does not need the switching reversal to occur in the conventional C-DAC. When the split-capacitor array scheme is used with a C-DAC with differential output, the common-mode output level can be constant, which is an advantage in many applications [3]. In the monotonic switching scheme of [4], two single-ended outputs of the differential output of the C-DAC monotonically go down, eliminating the need for switching reversal. It can achieve a very good power efficiency; however, the variation of the common-mode output can be a disadvantage. In the VCM-based scheme of [5], three voltage levels—Vref, VCM, and 0—are used to minimize the switching energy. However, the accuracy of VCM level limits the linearity of the C-DAC.
In many C-DACs, the digital input bits to the C-DAC can be applied simultaneously [5,6]. This can improve the power efficiency of the C-DAC, which obviates the need for a complex switching scheme. In those applications, one of the most simple and versatile C-DAC schemes is the split-array C-DAC. With the split-array C-DAC, two switching schemes are used concurrently. They are “two-level switching” and “three-level switching” schemes. In the more conventional two-level switching, every capacitor pair—one from each sub-array—is either up- or down-switched. In the three-level switching, capacitors in one of the sub-arrays are not switched at all, while selected capacitors in the other sub-array are switched.
For a multi-bit C-DAC, another concern is the nonlinear error resulting from mismatches between the capacitors forming the capacitor arrays. When an array of identical elements is used in a DAC, and all the digital input bits are available simultaneously, an effective way to reduce the mismatch error is to use the element rotation technique which is also known as data-weighted averaging (DWA) [15,16]. By shuffling the capacitor array in a systematic way, it shapes the mismatch error in such a way that its low spectral component is suppressed. Therefore, when the element rotation is applied with the oversampling technique, the in-band (i.e., low-frequency) mismatch error is reduced and we can improve the signal-to-distortion ratio (SDR).
In this work, we investigate the power consumption and mismatch error of the split-capacitor C-DAC, where the digital input bits are available simultaneously. We show that for a low-power operation of the C-DAC, a switching scheme called “three-level switching” should be used. We also show that in a C-DAC using the three-level switching scheme, simple application of the element rotation to each array can produce harmonic distortion components in the in-band. Then, we propose to combine the element rotation with the switching of two sub-arrays after each conversion and show that the proposed scheme can move the in-band harmonic distortion components to a high-frequency region where they do not degrade the SDR.
The remainder of this work is organized as follows. In Section 2.1, we start by explaining the operation of a simple C-DAC. In Section 2.2, we discuss the capacitor mismatch error and the element rotation to shape it. In Section 2.3, the split-array C-DAC is described including its power consumption and its mismatch error. In Section 3, we present the proposed switching scheme and its benefits. In Section 4, we discuss the results and, in Section 5, we conclude.

2. C-DAC Theory

2.1. Basic C-DAC Operation

Figure 1 shows the schematic diagram of a basic C-DAC. Ck (k = 1,2,…, N) is a capacitor array, V r e f , p and V r e f , n are positive and negative reference voltage, respectively. V r e f , p V r e f , n represents the output swing range. The top plates of the capacitors are connected to Vout and the bottom plates are connected to V r e f , p or V r e f , n depending on the binary control signal bk. During the “reset” phase, the Vout is connected to Vb and the bottom plates are connected to V r e f , n (bk = 0). During the output phase, the reset switch is turned off and the bottom plates of some capacitors are switched to V r e f , p according to bk. Now, the DAC output can be expressed as follows.
V o u t = V b + k = 1 N b k C k k = 1 N C k ( V r e f , p V r e f . n )
(Note that in SAR ADC applications, Vb can be an external input signal Vin and the capacitor array also functions as a sampling capacitor of the input signal.)
The relative size of the capacitors in the array is chosen according to the signaling scheme, which is also related to the format of the control signal bk. The two most widely used schemes are binary coding and thermometer coding. In the binary coding scheme, binary-weighted capacitor arrays are used, where C k = 2 N k + 1 C u . Here, Cu is the unit capacitance. In the thermometer coding scheme, nominal values of all capacitors are identical ( C k = C u ) and the output voltage is simply determined by the number of control bits having a value of “1”. For a given dynamic range requirement of the C-DAC, the thermometer coding has the disadvantage of a larger number of control bits ( N = 2 N b i t ) compared to N = Nbit of binary coding. However, it has the advantage of smaller differential nonlinearity (DNL) than the binary coding, because for an output change corresponding to one least significant bit (LSB), only a single unit capacitor is switched in the thermometer coding. In contrast, in a binary coding scheme, it is possible that all capacitors undergo switching when the control bits are changed from (0111…11) to (100…00). Furthermore, the thermometer coding scheme can be easily used with element rotation, which will be explained shortly. In the remainder of this work, we focus on C-DACs with nominally identical capacitors with thermometer coded control bits.

2.2. Component Mismatch and the Element Rotation

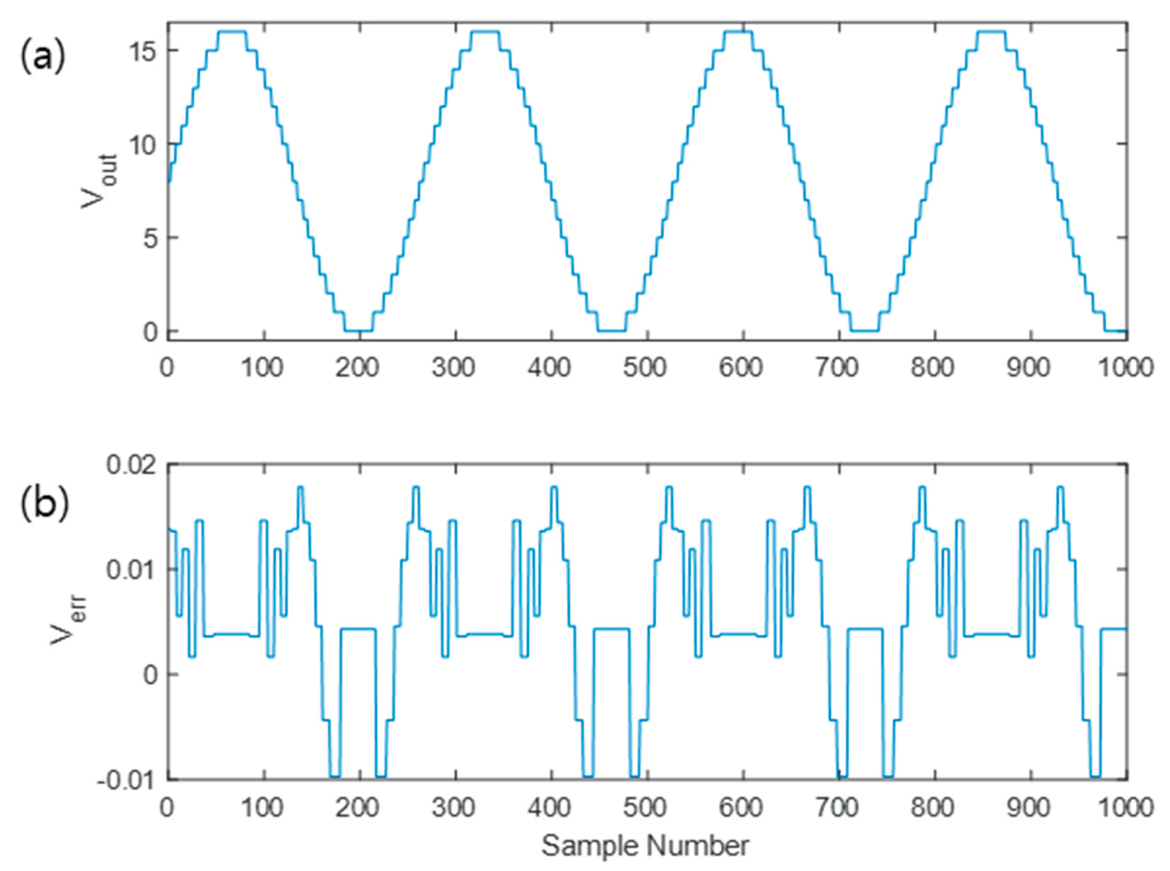
As mentioned above, when using the thermometer coding scheme for the C-DAC of Figure 1, ideally, all the capacitors should be identical. In this case, the C-DAC output is simply determined by the number of bits of bk with a value of “1”. When the number of bits having a value of “1” is M, we can select any M capacitors out of N. Obviously, the simplest choice would be to choose Ck from 1 k M . However, actual fabricated capacitors have mismatches resulting in slightly different capacitance values. Due to the mismatch, the above simple method to choose capacitors results in nonlinear error in the C-DAC output, because a particular mismatch error is associated with each digital input code. Figure 2 shows the MATLAB behavioral simulation results. N = 16 (i.e., 4 bits) and the capacitance distribution was assumed to follow normal distribution with 1% standard deviation. We use this mismatch distribution throughout the rest of this work. Figure 2a shows the sinusoidal output of the C-DAC and Figure 2b shows the output error from the capacitor mismatch. We can observe that the output error is coupled to the output voltage itself. Figure 3a shows the power spectrum of the error signal from the simulation for Figure 2. We can observe strong harmonic distortion at multiples of the input frequency (fsig/fs = 131/8192).
To alleviate the nonlinear distortion from the mismatch, various mismatch-shaping techniques have been investigated, and the element rotation has been found to be one of the simplest and most effective methods [15,16]. In the element rotation, capacitor array elements are used in sequence in successive operations of the C-DAC. For example, if C1 to C3 were used in the n-th conversion and four capacitors were used for the (n + 1)-th conversion, C4 to C7 are selected. It is known that, if element rotation is used, the error power is not concentrated at the harmonics of the input signal and the error spectrum undergoes 1st order shaping, of which the mismatch transfer function (MTF) is 1 z 1 . Therefore, the low-frequency component of the error signal is greatly suppressed. If the element rotation technique is used with the oversampling technique, the total in-band error power can be greatly reduced. Figure 3b shows the power spectrum of the error signal when the element rotation was employed. We can observe the absence of strong harmonic components observed in Figure 3a and the suppression of the low-frequency components by the mismatch shaping clearly. In Figure 3b, the red curve represents the predicted 1st order MTF. We observe good agreement between the MTF and the behavioral simulation results.

2.3. Split-Array C-DAC

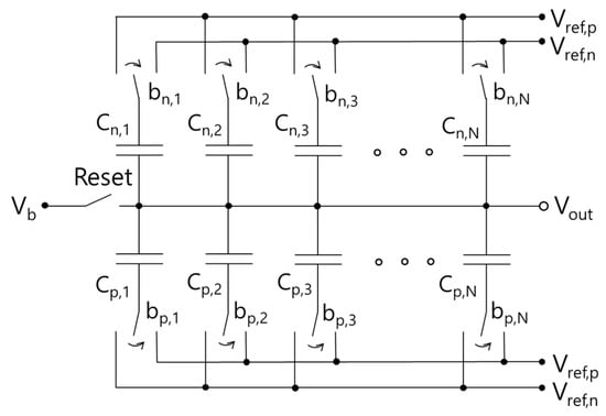
Equation (1) shows that the output voltage of the C-DAC of Figure 1 changes only in one direction from Vb. This is because the bottom plates of every capacitor are connected to Vref,n during the reset phase. However, in many applications, it is preferred that the output change in both directions from Vb. That kind of behavior can be obtained by using the so-called split-array C-DAC, of which the schematic is shown in Figure 4 [2]. Here, a C-DAC consists of two arrays of capacitors: Cp,k and Cn,k. During the reset phase, the bottom plates of Cp,k and Cn,k are connected to Vref,n and Vref,p, respectively. During the output phase, Cp,k and Cn,k are used to raise and lower Vout, respectively.
There are two methods to switch the capacitors of the C-DAC of Figure 4. In the first method, both the Cn,k array and Cp,k array are switched to produce the output. For example, if M out of N capacitors of the Cp,k array are used to raise Vout, then (NM) capacitors of the Cn,k array are used to lower Vout. Then, the output voltage can be expressed by
V o u t = V b + 2 M N 2 N V r e f , p V r e f , n .  
Note that if M < N/2, Vout < Vb, and if M > N/2, Vout > Vb. We can combine Cp,k and Cn,k with the same k to define capacitor pairs. Then, we can say that the whole C-DAC structure of Figure 4 consists of a new array of N such capacitor pairs, and we can say that, in this switching scheme, each element of the array is switched to either “+1” or “−1”. Therefore, we call this switching scheme “two-level switching”. Note that in the two-level switching scheme, N out of 2N capacitors are always switched.
In the second switching method, the number of switched capacitors is smaller. If the desired output is higher than Vb (Vout > Vb), no element of the Cn,k array switches and only the Cp,k array capacitors switch. If M1p out of N elements of the Cp,k array switch and none of the Cn,k array switches, then Vout can be expressed by
V o u t = V b + M 1 p 2 N V r e f , p V r e f , n
Comparing Equations (2) and (3), we observe that if M1p = 2MN, the second switching method would produce the same Vout as the first switching method. If Vout < Vb, by switching M1n capacitors of the Cn,k array, we can obtain the following output.
V o u t = V b M 1 n 2 N V r e f , p V r e f , n
Let us form an array of capacitor pairs as described above. In this switching scheme, the pairs can be classified into three groups: the pairs which switch up (“+1”), those which switch down (“−1”), and those which do not switch (“0”). For example, when Vout > Vb, there are M1p elements switching up, (NM1p) elements not switching, and zero elements switching down. When Vout < Vb, there are M1n elements switching down, (NM1n) elements not switching, and zero elements switching up. Therefore, we call this switching scheme “three-level switching” [13,17].
The three-level switching scheme has an advantage of low switching energy when compared to the two-level scheme because the number of capacitors being switched is smaller. The energy consumption per conversion using three-level and two-level schemes is given as the following.
E 3 l e v e l = C u V r e f , p V r e f , n 2 M 1 p n ( N M 1 p n ) 2 N = C u V r e f , p V r e f , n 2 ( 2 M N ) ( N M ) N , 2 M N C u V r e f , p V r e f , n 2 ( N 2 M ) M N , 2 M < N
and
E 2 l e v e l = 4 C u V r e f , p V r e f , n 2 M ( N M ) N ,
respectively.
Figure 5 shows the switching energy of the C-DAC as functions of the digital input code. If a uniform distribution of the output code is assumed, then the average switching energy of the three-level and two-level schemes for a large N is given as
E 3 l e v e l , a v g 1 12 N C u V r e f , p V r e f , n 2 ,
and
E 2 l e v e l , a v g 2 3 N C u V r e f , p V r e f , n 2 ,
respectively. Comparing Equations (7) and (8), we predict that the power consumption of the three-level switching is only 1/8 of that of two-level switching.

2.4. Mismatch Shaping with Split-Array C-DAC

In terms of the power consumption, the three-level switching of the C-DAC of Figure 4 is superior to the two-level switching. However, the three-level switching scheme has an issue associated with the application of element rotation to suppress the mismatch error. The source of the problem is that the C-DAC of Figure 4 has two sub-arrays: Cp,k and Cn,k, which are used to raise and lower the output voltage, respectively. If we apply the element rotation to these sub-arrays separately, it only shuffles the mismatches between elements of the same sub-arrays and cannot deal with the mismatches between two sub-arrays. The effect of the mismatch between the sub-arrays is different depending on whether the three-level switching or the two-level switching is used. In the two-level switching, the two sub-arrays actually undergo the same element rotation, and there is actually one unified element rotation. In the three-level switching, the element rotations for two sub-arrays are separate from each other. To concentrate on the mismatch between the two sub-arrays, we investigate the case where there is no mismatch within sub-arrays and there is mismatch between sub-arrays only. Then, Cp,k and Cn,k can be represented by C p , k = C u + Δ C / 2 and C n , k = C u Δ C / 2 (1 ≤ kN), where Δ C is the mismatch between the sub-arrays. As Cp,k and Cn,k are constant with regard to k, the element rotations have no effect, and if the two-level switching scheme is used the output is given as
V o u t = V b + M C u + Δ C N M C u Δ C N C u + Δ C + N C u Δ C V r e f , p V r e f , n = V b + 2 M N 2 N V r e f , p V r e f , n + V o s ,
where
V o s = Δ C 2 C u V r e f , p V r e f , n .
In Equations (9) and (10), we observe that the mismatch between Cp,k and Cn,k results in a constant output offset voltage, which does not depend on the input. When the three-level switching is used with the same C-DAC, the output is given as
V o u t = V b + 2 M N 1 + Δ C / C u 2 N V r e f , p V r e f , n , M N / 2 V b + 2 M N 1 Δ C / C u 2 N V r e f , p V r e f , n , M < N / 2
In Equation (11), the input–output characteristic of the C-DAC has different slopes for M > N/2 and M < N/2. This leads to serious nonlinear distortion of the output.
Figure 6 shows the power spectra of the error signals from MATLAB behavioral simulations of the split-array C-DAC employing the element rotation (N = 16). The capacitor mismatch distribution used for the simulations for Figure 3 was used in the simulations (i.e., normal distribution with 1% standard deviation). Figure 6a shows the spectrum when the two-level switching was used. We can observe the mismatch error-shaping from element rotation. We also observe a relatively large dc offset component as predicted by Equation (10). Figure 6b shows the spectrum from simulations with the three-level switching. Here, we observe the signature of a strong mismatch error shaping. However, we also observe strong distortion components at the harmonic frequencies of the input signal.

3. Proposed Switching Scheme

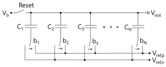
In Section 2, we found that three-level switching of C-DACs of Figure 4 has the advantage of low power consumption while it suffers from nonlinear distortion from the mismatch between the sub-arrays which cannot be suppressed by conventional element rotation. In this work, we propose a switching scheme which is mainly based on the three-level switching but switches the role of the positive and negative sub-arrays in each operation of the DAC.
Figure 7 shows the schematic diagram of a C-DAC employing the proposed switching scheme. bn,k and bp,k are the thermometer coded input. “E-R” represents element rotation. CKoe indicates whether the current conversion is an odd- or even-numbered one. CKoe can be simply produced by dividing the master operation clock by 2. When CKoe = 0 (i.e., even-numbered conversion), bn,k and bp,k are connected to b′n,k and b’p,k, respectively. When CKoe = 1 (i.e., odd-numbered conversion), bn,k is connected to b′p,k and bp,k is connected to b′n,k. The inverters in the “cross-paths” are used to change the role of “down capacitors” and “up capacitors”. Four element rotation processors are used: the positive and negative sub-arrays have two processors each to process the element rotation for direct and cross-connections separately.
Figure 8 shows the spectrum of the error signal obtained from behavioral simulations of the split-array C-DAC using the proposed switching scheme. The same capacitor mismatch distribution as that for Figure 6 was used in the simulations. In Figure 8, we observe that the harmonics of the output signal frequency of fsig resulting from the mismatch between positive and negative sub-arrays have been moved from 2 m × f s i g to f s / 2 2 m × f s i g , where m is an integer. The shift of the harmonic distortion frequency is from the mixing of the switching frequency between the sub-arrays ( = f s / 2 ) with the input signal. If we assume there is no mismatch within each sub-array and focus on the mismatch between two sub-arrays, δ, the DAC output sequence can be represented as
V o u t k = V i n k 1 + 1 k s i g n V i n k δ
where (−1)k represents the switching between the sub-arrays. In Equation (12), the second term in the parenthesis represents the error signal. Let us suppose a sinusoidal input of V i n k = sin 2 π ( f s i g / f s ) k , where fsig and fs are the sampling frequency of the DAC and the signal frequency, respectively, is applied. Then, the error signal can be represented as
V e r r k = δ sin 2 π f s i g f s k cos π k l = 0 a l sin 2 π 2 l + 1 f s i g f s k ,
where the summation represents the Fourier expansion of sign[Vin(k)]. Now, it can be easily shown that Verr(k) contains frequency components at f = f s / 2 ± 2 l f s i g .
As the harmonics are present near the Nyquist frequency, they can be removed by low-pass filtering easily with other out-of-band mismatch error signals. In Figure 8, we also observe that the mismatch error-shaping function is different from that in Figure 3b or Figure 6. As the positive and the negative sub-arrays change the role after each operation, there are two clock delays before a sub-array is used for the same role, and as a result, the MTF is changed from 1 z 1 to 1 z 2 , which is shown in Figure 8 as a red curve. A disadvantage of the new transfer function is the increase in the mismatch error at low frequencies. The MTF at low frequencies can be approximated by
1 z 2 = 1 e 2 j ω 2 j ω ,
where ω is the normalized angular frequency. Therefore, the in-band mismatch error power is expected to increase by factor of 4 (6 dB) compared to that from simple element rotation without exchanging the role of positive and negative arrays.
Figure 9 compares the in-band mismatch error power from various switching schemes. MATLAB behavioral simulations were repeated while varying the input frequency. When no mismatch error shaping is applied, the total in-band distortion is very high (>−67 dB). When the simple element rotation is applied to each sub-array independently, the two-level switching produces very low distortion error, which is around −90 dB at low signal frequencies. When the three-level switching is used with the simple element rotation, it suffers from mismatch between the positive and negative sub-arrays and produces large distortion of about −70 dB. Finally, we observe that the distortion from the three-level switching is drastically suppressed by using the scheme proposed in this work, where the role of the positive and negative sub-arrays is switched per cycle. We can also observe that the in-band distortion from the proposed scheme is still larger by about 3 dB than those from the two-level switching with element rotation, which is actually smaller than predicted from the change in the mismatch transfer function described above.

4. Discussion

From the results of Section 3, we conclude that in order to obtain a high SDR, both the three-level switching scheme and the two-level switching scheme require the element rotation. When a three-level switching is used, additional switching of positive and negative sub-arrays in successive operations is needed to move the harmonic distortion resulting from the mismatch between the sub-arrays from base band to frequencies around the Nyquist frequency. When the proposed scheme is combined with oversampling, the high frequency error component can be removed by low-pass filtering.
As already observed in Section 3 in relation to Figure 9, the total in-band distortion from the proposed scheme is still larger than that from the two-level switching with simple element rotation by about 3 dB. The distortion power from the mismatch is proportional to the relative variance of the unit capacitance ( σ C 2 ), which, in turn, is inversely proportional to the unit capacitance. Therefore, for the proposed scheme to produce the same in-band distortion power as the two-level switching with element rotation, the unit capacitance used by the proposed three-level switching should be two times larger than that used by two-level switching, which implies two times larger switching power consumption. In Figure 5, we observed that, with identical unit capacitance, the three-level switching consumes eight times less power than two-level switching. Now, with three-level switching requiring two times more unit capacitance, it is predicted that the C-DAC switching power saving factor of the proposed scheme will be reduced from eight to four.
The proposed scheme requires more complex digital control logic, which leads to an increase in the power consumption and chip area. The two-level switching scheme requires a single element rotation processor, whereas the proposed three-level switching requires four element rotation processors as shown in Figure 7. (We also need additional switches and multiplexers, however, the power consumption increase from these should be insignificant compared to that from the additional element rotation processor.) A common element rotation processor consists of a digital log2N-bit accumulator and an N-input, log2N-stage shifter. Therefore, the power consumption and area overhead from the additional logic reduce the benefit of using the proposed three-level switching. However, as the CMOS technology scales down, it is expected that the overhead from the additional logic will continue to shrink.
The proposed scheme can be applied to C-DACs with differential output as shown in Figure 10. In this structure, the Cpp,k sub-array switches with the Cpn,k sub-array, and Cnp,k switches with Cnn,k to push the mismatch errors between the sub-arrays to the high-frequency area. It is noted that the differential C-DAC of Figure 10 uses the same control signal as the single-ended output C-DAC of Figure 7. Therefore, the digital logic power does not increase from that of the single-ended one, while the capacitor switching power saving from using the proposed scheme is increased by a factor of two. Therefore, the benefit of the proposed switching scheme should be larger when applied to a differential output C-DAC.

5. Conclusions

In this work, we analyzed the power consumption and the linearity performance of split-array C-DACs. The power consumption of a split-array C-DAC can be reduced by using a three-level switching scheme, where only a part of positive or negative sub-array is switched while the other sub-array does not experience switching. However, the C-DACs using three-level switching can suffer from larger nonlinear distortion resulting from mismatches between capacitors in the array than those using conventional two-level switching. When two-level switching is used, the mismatch error can be effectively shaped out of the signal band to a high-frequency range by using element rotation. However, when three-level switching is used, the mismatch between positive and negative sub-arrays cannot be taken care of by using simple element rotation, which is applied separately to the positive and negative sub-arrays. In this work, we proposed a three-level switching, in which element rotation is combined with the switching of two sub-arrays. In the proposed scheme, the nonlinear distortion from mismatches within sub-arrays is shaped out of the signal band while that from mismatch between the sub-arrays is shifted to a high-frequency area around one half of the sampling frequency. Therefore, by using the proposed scheme, we can exploit the power efficiency of a three-level switching while minimizing the added nonlinear distortion from element mismatch.

Author Contributions

Conceptualization, S.-G.P.; validation, J.-H.N., S.-H.P. and J.-Y.J.; writing—original draft preparation, S.-G.P.; writing—review and editing, J.-H.N., S.-H.P. and J.-Y.J.; funding acquisition, S.-G.P. All authors have read and agreed to the published version of the manuscript.

Funding

This work was supported by the Korea Institute for Advancement of Technology (KIAT) grant funded by the Korean Government (MOTIE) (P0017011, HRD Program for Industrial Innovation). This work was also supported by the National R&D Program through the National Research Foundation of Korea (NRF) funded by the Ministry of Science and ICT (No. 2020M3H2A1076786).

Institutional Review Board Statement

Not applicable.

Informed Consent Statement

Not applicable.

Data Availability Statement

Not applicable.

Acknowledgments

The CAD tools were provided by IC Design Center (IDEC), Korea.

Conflicts of Interest

The authors declare no conflict of interest.

References

  1. McCreary, J.L.; Gray, P.R. All-MOS Charge Redistribution Analog-to-Digital Conversion Techniques—Part 1. IEEE J. Solid-State Circuits 1975, SC-10, 371–379. [Google Scholar] [CrossRef]
  2. Ginsburg, B.P.; Chandrakasan, A.P. 500-MS/s 5-bit ADC in 65-nm CMOS with Split Capacitor Array DAC. IEEE J. Solid-State Circuits 2007, 42, 739–747. [Google Scholar] [CrossRef]
  3. Kull, L.; Toifl, T.; Schmatz, M.; Francese, P.A.; Menolfi, C.; Brandli, M.; Kossel, M.; Morf, T.; Andersen, T.M.; Leblebici, Y. A 3.1 mW 8b 1.2GS/s Single-Channel Asynchronous SAR ADC with Alternate Comparators for Enhanced Speed in 32 nm Digital SOI CMOS. IEEE J. Solid-State Circuits 2013, 48, 3049–3058. [Google Scholar] [CrossRef]
  4. Liu, C.; Chang, S.; Huang, G.; Lin, Y. A 10-bit 50-MS/s SAR ADC with a monotonic capacitor switching procedure. IEEE J. Solid-State Circuits 2010, 45, 731–740. [Google Scholar] [CrossRef]
  5. Zhu, Z.; Xiao, Y.; Song, X. Vcm-based monotonic capacitor switching scheme for SAR ADC. Electron. Lett. 2013, 49, 327–329. [Google Scholar] [CrossRef]
  6. Lyu, Y.; Tavernier, F. A 4-GS/s 39.9-dB SNDR 11.7-mW Hybrid Voltage-Time Two-Step ADC with Feedforward Ring Oscillator-Based TDCs. IEEE J. Solid-State Circuits 2020, 55, 1807–1818. [Google Scholar] [CrossRef]
  7. Siragusa, E.; Galton, I. A Digitally Enhanced 1.8-V 15-bit 40-MSample/s CMOS Pipelined ADC. IEEE J. Solid-State Circuits 2004, 39, 2126–2138. [Google Scholar] [CrossRef]
  8. Verma, D.; Shehzad, K.; Khan, D.; Kim, S.J.; Pu, Y.G.; Yoo, S.-S.; Hwang, K.C.; Yang, Y.; Lee, K.-Y. A Design of Low-Power 10-bit 1-MS/s Asynchronous SAR ADC for DSRC Application. Electronics 2020, 9, 1100. [Google Scholar] [CrossRef]
  9. Yuan, C.; Lam, Y. Low-energy and area-efficient tri-level switching scheme for SAR ADC. Electron. Lett. 2012, 48, 482–483. [Google Scholar] [CrossRef]
  10. Chang, Y.-K.; Wang, C.-S.; Wang, C.-K. A 8-bit 500-KS/s Low Power SAR ADC for Bio-Medical Applications. In Proceedings of the 2007 IEEE Asian Solid-State Circuits Conference (A-SSCC), Jeju, Republic of Korea, 12–14 November 2007. [Google Scholar] [CrossRef]
  11. Singh, S.P.; Prabhakar, A.; Bhattacharyya, A.B. C-2C ladder-based D/A Converters for PCM codes. IEEE J. Solid-State Circuits 1987, 22, 1197–1200. [Google Scholar] [CrossRef]
  12. Nam, K.; Lee, S.-M.; Su, D.K.; Wooley, B.A. A Low-Voltage Low-Power Sigma-Delta Modulator for Braodband Analog-to-Digital Conversion. IEEE J. Solid-State Circuits 2005, 40, 1855–1864. [Google Scholar] [CrossRef]
  13. Shu, Y.-S.; Kuo, L.-T.; Lo, T.-Y. An oversampling SAR ADC with DAC mismatch error shaping achieving 105 dB SFDR and 101 dB SNDR over 1 kHz BW in 55 nm CMOS. IEEE J. Solid-State Circuits 2016, 51, 2928–2940. [Google Scholar] [CrossRef]
  14. Lee, C.Y.; Moon, U.-K. A 0.0375 mm2 203.5 μW 108.8 dB DR DT Single-Loop DSM Audio ADC using a single-ended ring amplifier based integrator in 180 nm CMOS. In Proceedings of the 2022 International Conference Solid-State Circuits (ISSCC), San Francisco, CA, USA, 20–26 February 2022. [Google Scholar] [CrossRef]
  15. Baird, R.T.; Fiez, T.S. Improved ΔΣ DAC linearity using data weighted averaging. In Proceedings of the 1995 IEEE International Symposium on Circuits and Systems (ISCAS), Seatle, WA, USA, 30 April–3 May 1995. [Google Scholar] [CrossRef]
  16. Jackson, H.S. Circuit and Method for Cancelling Nonlinearity Error Associated with Component Value Mismatches in a Data Converter. U.S. Patent 5,221,926, 22 June 1993. [Google Scholar]
  17. Nguyen, K.Q.; Schreier, R. System and Method for Tri-Level Logic Data Shuffling for Oversampling Data Conversion. U.S. Patent 7,079,063, 18 July 2006. [Google Scholar]
Figure 1. Schematic of the basic C-DAC.
Figure 1. Schematic of the basic C-DAC.
Electronics 12 01891 g001
Figure 2. (a) DAC output waveform. (b) Waveform of DAC output error from capacitor mismatch without any mismatch error shaping.
Figure 2. (a) DAC output waveform. (b) Waveform of DAC output error from capacitor mismatch without any mismatch error shaping.
Electronics 12 01891 g002
Figure 3. Power spectrum of the error signal from the behavioral simulation of Figure 2. Nfft = 8192. Average of 100 iterations. (a) Simulations without mismatch error shaping, (b) simulations with element rotations.
Figure 3. Power spectrum of the error signal from the behavioral simulation of Figure 2. Nfft = 8192. Average of 100 iterations. (a) Simulations without mismatch error shaping, (b) simulations with element rotations.
Electronics 12 01891 g003
Figure 4. Schematic of a Split-Array C-DAC.
Figure 4. Schematic of a Split-Array C-DAC.
Electronics 12 01891 g004
Figure 5. Normalized switching energy of the 2-level (blue) and 3-level (red) switching schemes (N = 1024).
Figure 5. Normalized switching energy of the 2-level (blue) and 3-level (red) switching schemes (N = 1024).
Electronics 12 01891 g005
Figure 6. Power spectrum of the error signal from the behavioral simulation of the split-array C-DAC of Figure 4 with element rotations applied. Nfft = 8192. Average of 100 iterations. (a) Two-level switching, (b) three-level switching.
Figure 6. Power spectrum of the error signal from the behavioral simulation of the split-array C-DAC of Figure 4 with element rotations applied. Nfft = 8192. Average of 100 iterations. (a) Two-level switching, (b) three-level switching.
Electronics 12 01891 g006
Figure 7. Simplified schematic of the proposed C-DAC.
Figure 7. Simplified schematic of the proposed C-DAC.
Electronics 12 01891 g007
Figure 8. Power spectrum of the error signal from the behavioral simulation of the split-array C-DAC with the proposed switching scheme.
Figure 8. Power spectrum of the error signal from the behavioral simulation of the split-array C-DAC with the proposed switching scheme.
Electronics 12 01891 g008
Figure 9. Total in-band distortion (Nfft = 8192, M = 24, OSR = 10, σC = 1%).
Figure 9. Total in-band distortion (Nfft = 8192, M = 24, OSR = 10, σC = 1%).
Electronics 12 01891 g009
Figure 10. Split-Array C-DAC with differential output.
Figure 10. Split-Array C-DAC with differential output.
Electronics 12 01891 g010
Disclaimer/Publisher’s Note: The statements, opinions and data contained in all publications are solely those of the individual author(s) and contributor(s) and not of MDPI and/or the editor(s). MDPI and/or the editor(s) disclaim responsibility for any injury to people or property resulting from any ideas, methods, instructions or products referred to in the content.

Share and Cite

MDPI and ACS Style

Nam, J.-H.; Park, S.-H.; Jang, J.-Y.; Park, S.-G. Mismatch-Shaping Switching Scheme for Split-Array Capacitive DACs. Electronics 2023, 12, 1891. https://doi.org/10.3390/electronics12081891

AMA Style

Nam J-H, Park S-H, Jang J-Y, Park S-G. Mismatch-Shaping Switching Scheme for Split-Array Capacitive DACs. Electronics. 2023; 12(8):1891. https://doi.org/10.3390/electronics12081891

Chicago/Turabian Style

Nam, Jae-Hyeon, Sung-Hyun Park, Jin-Yeop Jang, and Sang-Gyu Park. 2023. "Mismatch-Shaping Switching Scheme for Split-Array Capacitive DACs" Electronics 12, no. 8: 1891. https://doi.org/10.3390/electronics12081891

APA Style

Nam, J.-H., Park, S.-H., Jang, J.-Y., & Park, S.-G. (2023). Mismatch-Shaping Switching Scheme for Split-Array Capacitive DACs. Electronics, 12(8), 1891. https://doi.org/10.3390/electronics12081891

Note that from the first issue of 2016, this journal uses article numbers instead of page numbers. See further details here.

Article Metrics

Back to TopTop