Next Article in Journal
Quality of Service Generalization using Parallel Turing Integration Paradigm to Support Machine Learning
Next Article in Special Issue
Research on Rolling Bearing Fault Diagnosis Based on Variational Modal Decomposition Parameter Optimization and an Improved Support Vector Machine
Previous Article in Journal
A Human-Adaptive Model for User Performance and Fatigue Evaluation during Gaze-Tracking Tasks
Previous Article in Special Issue
Low-Cost Hardware in the Loop for Intelligent Neural Predictive Control of Hybrid Electric Vehicle
 
 
Font Type:
Arial Georgia Verdana
Font Size:
Aa Aa Aa
Line Spacing:
Column Width:
Background:
Article

Global Regulation by Integral Feedback for Lower-Triangular Nonlinear Systems with Actuator Failures and Limited Delays

1
Shandong Artificial Intelligence Institute, School of Mathematics and Statistics, Qilu University of Technology (Shandong Academy of Sciences), Jinan 250353, China
2
Shandong Zhongke Advanced Company, Jinan 250061, China
3
School of Control Science and Engineering, Shandong University, Jinan 250061, China
*
Author to whom correspondence should be addressed.
Electronics 2023, 12(5), 1127; https://doi.org/10.3390/electronics12051127
Submission received: 7 December 2022 / Revised: 27 January 2023 / Accepted: 10 February 2023 / Published: 25 February 2023
(This article belongs to the Special Issue Fault Diagnosis and Control Technology of Electric Vehicle)

Abstract

This paper studies the global asymptotic regulation problem for a class of lower-triangular nonlinear systems with actuator failures and limited delays. New integral controllers consisting of an integral dynamic are constructed to make all system states bounded and asymptotically convergent to zero. First, an integral dynamic is constructed and a novel state transformation is introduced, which ensures that the involved systems with actuator failures are converted into a class of auxiliary nonlinear systems without actuator failures. Second, by introducing the static high-gain technique, the problem of designing integral controllers for auxiliary nonlinear systems is converted into that of designing the gain parameter and determining the limit of the actuator delay. At last, with the help of the Lyapunov stability theorem, the gain parameter and the limit of the actuator delay are determined, and the stabilization of the auxiliary nonlinear systems yields the global asymptotic regulation of the involved systems. A physical system example is given to demonstrate the effectiveness of the proposed integral controllers.

1. Introduction

In decades, asymptotic control problems for nonlinear systems have attracted continued attention [1,2], and as an important research branch, great achievements have also been reported for lower-triangular nonlinear systems such as stabilization control [3,4,5], regulation control [6,7], tracking control [8,9,10], and consensus [11,12].
As we all know, the control signals are applied to practical systems through actuators, and the normal operation of actuators is one of the key factors for guaranteeing system stability. The results mentioned above considered the control problems with the normal operation of actuators. However, in practice, actuators may experience gradual or abrupt failures/faults during system operation, which may lead to a system with bad performance or even instability [13,14]. Therefore, appropriate compensation mechanisms for actuators to ensure their normal operation are of both theoretical and practical importance. To this end, passive methods [15] and many active methods such as fault diagnosis [16], pseudo-inverse method [17], and sliding mode control [18] were proposed to compensate for the actuator failures. Moreover, adaptive failure/fault compensations [19,20] were also proposed recently for the control of lower-triangular nonlinear systems by the backstepping method.
On the other hand, time delay is another primary source of instability and performance degradation, and it makes practical systems hard to control [21,22,23]. To this end, some important results have been obtained for the control of lower-triangular nonlinear systems with time delays, see [24] and the references therein. Specifically, the stabilization problems were considered for lower-triangular nonlinear systems with state delay [11,25,26] and output delay [27]. Recently, [28] investigated the global stabilization problem for lower-triangular nonlinear systems with input delay by the backsteeping method, and it has been shown that the considered input delay is limited. Moreover, in practice, the actuator may be affected by delays and failures simultaneously, which makes practical systems more difficult to control, and as far as we know, there are no results on the control of such systems with actuator failures and delays.
Partly inspired by [29,30] and in this paper, we will address this challenging problem for a class of lower-triangular nonlinear systems with actuator failures and delays simultaneously. First, we will address a unified control strategy for constructing integral controllers to globally and asymptotically regulate the involved systems for the first time, which is obviously different [28] from solving the stabilization control without actuator failures or [29,30] dealing with the regulation control without time delays. Second, a novel state transformation containing a static high-gain parameter is introduced to convert the involved systems with actuator failures into a class of auxiliary nonlinear systems without actuator failures. Under the transformation, the gain parameter is chosen, the limit of the actuator delay is determined, and an integral controller is constructed with a rigorous stability analysis to achieve the globally asymptotic regulation of the involved systems, which is different from fault diagnosis [16], the pseudo-inverse method [17], the sliding-mode control [18], and the adaptive compensation mechanism [19] for tackling actuator failures.

2. Preliminaries

In this paper, we consider the following time-delay nonlinear system with actuator failures:
x ˙ i ( t ) = x i + 1 ( t τ i + 1 ) + f i ( t , x ( t ) , x ( t d ) , u ( t τ 1 ) ) , i = 1 , 2 , , n 1 , x ˙ n ( t ) = u ( t τ 1 ) + f n ( t , x ( t ) , x ( t d ) , u ( t τ 1 ) ) ,
where x ( t ) = ( x 1 ( t ) , , x n ( t ) ) T R n is the system state and u ( t ) R is the system input. For i = 1 , , n , the real constants d i 0 and τ i 0 represent the time delays and x ( t d ) = ( x 1 ( t d 1 ) , , x n ( t d n ) ) T denotes the delayed state. The initial state x i ( θ ) = χ i ( θ ) C ( [ max { d i , τ i } , 0 ] , R ) , and f i ( · ) is a continuous function with f i ( 0 , 0 , 0 , 0 ) = 0 .
Assumption 1.
For i = 1 , , n , there exist known constants c i such that
| f i ( · ) | j = 1 i c j ( | x j ( t ) | + | x j ( t d j ) | ) .
Assumption 2.
The actuator of interest is modeled as follows:
u ( t ) = v ( t ) + v ¯ ,
where v ( t ) is the input of actuator to be designed and v ¯ is an unknown bias fault.
Remark 1.
It can be seen that system (1) satisfying Assumption 1 is dominated by a lower-triangular model with a known constant growth rate, which was originally studied in [31]. Since then, system (1) satisfying Assumption 1 has been studied widely [32,33,34]. Moreover, in practice, the actuators may encounter failures, and system (1) satisfying Assumption 2 indicates that the actuator has bias faults. Therefore, it is reasonable to consider the global asymptotic regulation problem for system (1) satisfying Assumptions 1 and 2.
With the above preliminaries, the problem to be studied is to propose a control strategy to globally asymptotically regulate system (1) under Assumptions 1 and 2.

3. Main Results

In this section, we will solve the global asymptotic regulation of system (1) by the static high-gain technique.
Theorem 1.
Under Assumptions 1 and 2, there are positive constants a i , i = 1 , , n + 1 and r such that system (1) can be globally asymptotically regulated via a state feedback integral controller of the form,
v ( t ) = r n + 1 a 1 x 0 ( t ) + a 2 x 1 ( t ) r + + a n + 1 x n ( t ) r n , x ˙ 0 ( t ) = x 1 ( t ) .
Proof. 
Partly inspired by our previous works [29], we introduce the new state transformation as follows:
ζ 1 ( t ) = x 0 ( t ) v ¯ a 1 r 2 n + 1 , ζ i ( t ) = x i 1 ( t ) r i 1 , i = 2 , , n + 1
for system (1), where ζ ( t ) = ( ζ 1 ( t ) , , ζ n + 1 ( t ) ) T , and a 1 and r 1 will be determined later, then system (1) is converted into
ζ ˙ 1 ( t ) = r ζ 2 ( t τ 0 ) , ζ ˙ i ( t ) = r ζ i + 1 ( t τ i ) + f i 1 ( · ) r i 1 , i = 2 , , n , ζ ˙ n + 1 ( t ) = v ( t τ 1 ) r n + v ¯ r n + f n ( · ) r n ( t ) ,
where τ 0 = 0 . It follows from (3) and (5) that the desired controller (4) for system (1) can be rewritten as follows:
v ( t ) = r n + 1 a 1 ζ 1 ( t ) + v ¯ r 2 n + 1 a 1 + a 2 ζ 2 ( t ) + + a n + 1 ζ n + 1 ( t ) = r n + 1 a 1 ζ 1 ( t ) + + a n + 1 ζ n + 1 ( t ) v ¯ r n ,
and then the dynamics of system (6) under controller (7) can be further rewritten as the following compact form:
ζ ˙ ( t ) = r A ζ ( t ) + Ψ + r Φ ,
where A = Ξ F K a with Ξ being an ( n + 1 ) × ( n + 1 ) matrix of term ϵ i j satisfying ϵ i j = 1 if i = 1 , , n , j = i + 1 and ϵ i j = 0 if j i + 1 , F = ( 0 0 0 1 ) T , K a = ( a 1 , , a n + 1 ) with a i > 0 being the coefficients of the Hurwitz polynomial q ( s ) = s n + 1 + a n + 1 s n + + a 2 s + a 1 [35], Ψ = ( ψ 1 , , ψ n + 1 ) T = ( 0 , f 1 ( · ) / r , , f n ( · ) / r n ) T and Φ = ( ϕ 1 , , ϕ n + 1 ) T = ζ 2 ( t τ 0 ) ζ 2 ( t ) , ζ 3 ( t τ 2 ) ζ 3 ( t ) , , ζ n + 1 ( t τ n ) ζ n + 1 ( t ) , ( v ( t τ 1 ) v ( t ) ) / r n + 1 T .
Thus, the problem of designing a state feedback integral controller for system (1) has been converted into that of designing the gain parameter r and determining the limit of the actuator delay such that system (8) is globally asymptotically stable.
Choose the following Lyapunov function candidate for system (8),
V 1 = ζ ( t ) T P ζ ( t ) ,
where the positive definite matrix P satisfying P A + A T P I . Taking the derivative of V 1 along system (8), we have
V ˙ 1 = r ζ ( t ) T ( A T P + P A ) ζ ( t ) + 2 ζ ( t ) T P Ψ + 2 r ζ ( t ) T P Φ r i = 1 n + 1 ζ i 2 ( t ) + 2 ζ ( t ) T P Ψ + 2 r ζ ( t ) T P Φ .
Next, we will give the estimate of the terms 2 ζ ( t ) T P Ψ and 2 r ζ ( t ) T P Φ , respectively. When t τ ¯ + d ¯ , where
τ ¯ = max 1 i n { τ i } , d ¯ = max 1 i n { d i } ,
it follows from (2) and r 1 that ψ 1 = 0 , and for i = 2 , , n + 1 , we have
| ψ i | = | f i 1 ( · ) | r i 1 1 r i 1 j = 1 i 1 c j ( | x j ( t ) | + | x j ( t d j ) | ) 1 r i 1 j = 1 i 1 c j ( r j | ζ j + 1 ( t ) | + r j | ζ j + 1 ( t d j ) | ) j = 2 i c j 1 ( | ζ j ( t ) | + | ζ j ( t d j ) | ) ,
which indicates
2 ζ ( t ) T P Ψ ρ 1 i = 1 n + 1 ζ i 2 ( t ) + ρ 2 i = 1 n + 1 ζ i 2 ( t d i ) ,
where ρ i , i = 1 , 2 are known positive constants independent of τ ¯ and d ¯ .
Then, for i = 2 , , n 1 , we have
| ϕ i | = | ζ i + 1 ( t τ i ) ζ i + 1 ( t ) | = t τ i t ζ ˙ i + 1 ( s ) d s ,
and it follows from (6), (12) and (14) that we have
| ϕ i | r t 2 τ ¯ t | ζ i + 2 ( s ) | d s + j = 2 i + 1 c j 1 t τ i t | ζ j ( s ) | d s + j = 2 i + 1 c j 1 t τ i t | ζ j ( s d j ) | d s 2 τ ¯ r t 2 τ ¯ t ζ i + 2 2 ( s ) d s 1 2 + τ ¯ j = 2 i + 1 c j 1 t τ ¯ t ζ j 2 ( s ) d s 1 2 + τ ¯ j = 2 i + 1 c j 1 t τ ¯ t ζ j 2 ( s d j ) d s 1 2
and
| ϕ n | 2 τ ¯ r j = 1 n + 1 a j t 2 τ ¯ t ζ j 2 ( s ) d s 1 2 + τ ¯ j = 2 n + 1 c j 1 t τ ¯ t ζ j 2 ( s ) d s 1 2 + τ ¯ j = 2 n + 1 c j 1 t τ ¯ t ζ j 2 ( s d j ) d s 1 2 .
Furthermore, it follows from (6), (7), (12) and (15) that we can easily have
| v ( t τ 1 ) v ( t ) | r n + 1 = 1 r n + 1 t τ 1 t v ˙ ( s ) d s ,
which indicates
| v ( t τ 1 ) v ( t ) | r n + 1 2 τ ¯ r j = 1 n + 1 a n + 1 + a j 1 a j a j t 2 τ ¯ t ζ j 2 ( s ) d s 1 2 + τ ¯ j = 1 n + 1 a j h = 1 j c h 1 t τ ¯ t ζ h 2 ( s ) d s 1 2 + τ ¯ j = 1 n + 1 a j h = 1 j c h 1 t τ ¯ t ζ h 2 ( s d h ) d s 1 2
with a 0 = 0 . Thus, it follows from (15), (16) and (18) that we have
2 r ζ t T P Φ τ ¯ r 2 i = 1 n + 1 ζ i 2 ( t ) + ρ 3 i = 1 n + 1 t 2 τ ¯ t ζ i 2 ( s ) d s + ρ 4 i = 1 n + 1 t τ ¯ t ζ i 2 ( s ) d s + ρ 5 i = 1 n + 1 t τ ¯ t ζ i 2 ( s d i ) d s ,
where ρ i , i = 3 , 4 , 5 are known positive constants independent of τ ¯ and d ¯ .
Now, we choose the Lyapunov functional
V = V 1 + V 2 + V 3 + V 4 + V 5 + V 6 ,
where
V 2 = ( ρ 2 + τ ¯ ρ 5 ) i = 1 n + 1 t d i t ζ i 2 ( s ) d s , V 3 = ρ 3 i = 1 n + 1 t 2 τ ¯ t s t ζ i 2 ( μ ) d μ d s , V 4 = ρ 4 i = 1 n + 1 t τ ¯ t s t ζ i 2 ( μ ) d μ d s , V 5 = ρ 5 i = 1 n + 1 t τ ¯ t s t ζ i 2 ( μ d i ) d μ d s ,
and then, taking the derivative of V along system (8) and from (10), (13) and (19), we have
V ˙ r i = 1 n + 1 ζ i 2 ( t ) + ρ 1 i = 1 n + 1 ζ i 2 ( t ) + τ ¯ r 2 i = 1 n + 1 ζ i 2 ( t ) + ρ 2 + τ ¯ ρ 5 i = 1 n + 1 ζ i 2 t + 2 τ ¯ ρ 3 i = 1 n + 1 ζ i 2 t + τ ¯ ρ 4 i = 1 n + 1 ζ i 2 t r i = 1 n + 1 ζ i 2 ( t ) + ( τ ¯ r 2 + τ ¯ ρ 6 + ρ 7 ) i = 1 n + 1 ζ i 2 ( t )
with ρ 6 = ρ 3 + ρ 4 + ρ 5 and ρ 7 = ρ 1 + ρ 2 .
Now, choose the gain parameter r and the allowable actuator delay as follows:
r ρ 6 + ρ 7 + 1 , τ ¯ 1 2 r ,
which makes (22) satisfy
V ˙ i = 1 n + 1 ζ i 2 ( t ) .
It follows from (24) and the Lyapunov–Krasovskii theorem that system (8) is globally asymptotically stable, i.e., ζ i ( t ) 0 as t + for i = 1 , , n + 1 . It should be noted that system (8) is equivalent to system (1) with integral controller (4), and it follows from the state transformation (5) and (23) that x 0 ( t ) v ¯ a 1 r 2 n + 1 and x i ( t ) 0 as t + for i = 1 , , n , which indicates that system (1) with large delays in the state, a limited delay in the input, and actuator failure is globally asymptotically regulated via the integral controller (4) with r determined in (23). □
Remark 2.
It should be noted that the proposed integral-control method has the limitation for the considered fault sizes. Firstly, the proposed integral-control method can deal with the actuator failures satisfying Assumption 2, which indicates that the actuator has bias faults. However, the proposed integral-control method cannot deal with the partial loss of effectiveness of the actuators. Secondly, in Assumption 2, the actuator of interest is modeled as follows u ( t ) = v ( t ) + v ¯ t [ 0 , + ) , where the unknown bias fault v ¯ must be an unknown constant. Moreover, the proposed integral-control method can also deal with the case that u j ( t ) = v ( t ) + v ¯ j , t [ t j 1 , t j ] , j = 1 , 2 , , where v ¯ j is the unknown bias fault and t 0 = 0 , t 1 , , t j , are unknown time series. In this case, we can introduce the following state transformation as follows:
ζ 1 ( t ) = x 0 ( t ) v ¯ j a 1 r 2 n + 1 , ζ i ( t ) = x i 1 ( t ) r i 1 , i = 2 , , n + 1 , t [ t j 1 , t j ] , j = 1 , 2 , ,
for system (1). Then, it follows from (25) and the proof of Theorem 1 that system (1) can be globally asymptotically regulated via the state feedback integral controller (4).
Remark 3.
As we all know, many practical control systems are designed to be asymptotically stable. However, due to the influence of external disturbances, actuator failures, time delays, etc., the asymptotically stable control is hard to achieve. Therefore, the regulation control, as one of the basic problems of control systems, can make system states bounded and asymptotically convergent to zero via feedback controllers, which has attracted the continuous attention of scholars. In this paper, we aim to design new integral controllers to achieve the global asymptotic regulation problem for a class of lower-triangular nonlinear systems with actuator failures and limited delays.

4. A Simulation Example

In this section, the state feedback integral controller is applied to a controlled pendulum model [36] when considering delays in the state and input, and actuator failures, whose model can be described as follows:
m l θ ¨ ( t ) + k l θ ˙ ( t ) + m g sin θ ( t d 1 ) = u ( t τ 1 ) ,
where θ ( t ) is the acute angle between the rod and the vertical axis; θ ˙ ( t ) is the angular velocity of the rod; u ( t ) is the actuator control voltage with a bias fault v ¯ ; d 1 and τ 1 are the system time delays; m and l are the mass of the bob and the length of the rod, respectively; g is the acceleration of gravity; and k is an constant representing the frictional coefficient.
It follows the transformation x 1 ( t ) = m l θ ( t ) and x 2 ( t ) = m l θ ˙ ( t ) that system (26) can be converted as follows:
x ˙ 1 ( t ) = x 2 ( t ) , x ˙ 2 ( t ) = u ( t τ 1 ) m g sin x 1 ( t d 1 ) m l k m x 2 ( t ) .
It is obvious that system (27) satisfies Assumption 1. By Theorem 1, there is a state feedback integral controller
v ( t ) = r 3 a 1 x 0 ( t ) + a 2 x 1 ( t ) r + a 3 x 2 ( t ) r 2 , x ˙ 0 ( t ) = x 1 ( t )
that globally asymptotically regulates system (27) if the actuator delay is limited and has a bias fault.
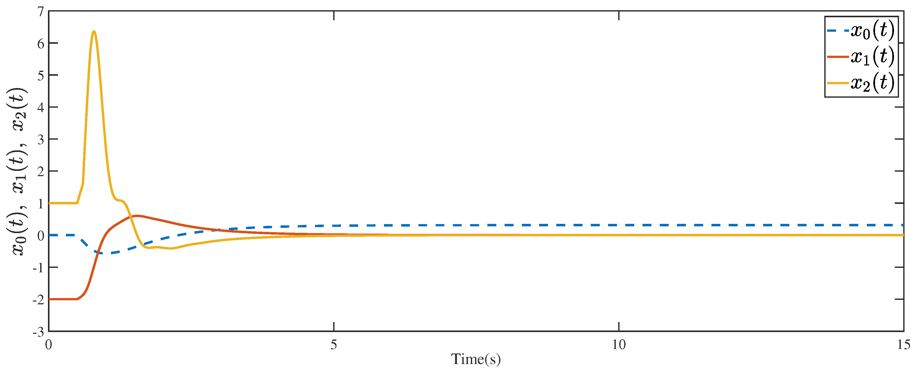
In the simulation, we firstly consider the case where the time delays are d 1 = 0.5 and τ 1 = 0.1 ; the bias fault is v ¯ = 20 ; and the parameters are m = 0.25 , l = 4 , k = 0.25 , g = 10 . Therefore, the Hurwitz polynomial coefficients are chosen as a 1 = 2 , a 2 = 5 and a 3 = 4 [35], and the control gain is chosen as r = 2 . Figure 1 and Figure 2 show the effectiveness of the integral controller (28) when the initial state ( x 0 ( s ) , x 1 ( s ) , x 2 ( s ) ) = ( 0 , 2 , 1 ) for s [ 0.5 , 0 ] . It can be clearly observed from Figure 1 and Figure 2 that the states x 1 ( t ) and x 2 ( t ) are bounded and asymptotically convergent to zero, the integral state x 0 ( t ) is bounded and asymptotically convergent to v ¯ a 1 r 5 , and the state of controller (28) is bounded and asymptotically convergent to v ¯ r 2 . Similar results can also be obtained from Figure 3 and Figure 4, where the parameters d 1 , τ 1 , and v ¯ are reselected as d 1 = 0.4 , τ 1 = 0.1 , and v ¯ = 100 with the same values of other parameters.

5. Conclusions and Future Works

This paper has constructed integral controllers to globally and asymptotically regulate a class of time-delay lower-triangular nonlinear systems with actuator failures. First, by introducing an integral dynamic and a new state transformation, the involved systems with actuator failures are transformed into a class of auxiliary nonlinear systems without actuator failures. Second, the static high-gain technique is applied to achieve the global stabilization of the auxiliary nonlinear systems, which indicates the global regulation of the involved systems. Future potential works aim to design output feedback controllers for the involved systems.

Author Contributions

Conceptualization, J.L. and X.C.; methodology, X.C.; software, D.W. and G.Z.; formal analysis, G.Z.; investigation, X.C. and D.W.; writing—original draft preparation, X.C. and J.L.; visualization, X.C. and G.Z.; supervision, J.L.; and project administration, J.L. All authors have read and agreed to the published version of the manuscript.

Funding

This research was funded by the National Natural Science Foundation of China under Grants 62203243 and 62172243, the National Key R&D Program of China under Grant 2020YFB1710200, the Natural Science Foundation of Shandong Province under Grant ZR201911040226, and the Open Research Projects of Zhejiang Lab under Grant 2022NB0AB06.

Data Availability Statement

Not applicable.

Acknowledgments

The authors would like to thank the School of Control Science and Engineering, Shandong University of Xianfu Zhang for improving the readability of this paper.

Conflicts of Interest

The authors declare no conflict of interest.

References

  1. Khalil, H. Nonlinear Systems, 3rd ed.; Prentice Hall: Upper Saddle River, NJ, USA, 2005. [Google Scholar]
  2. Sepulchre, R.; Jankovic, M.; Kokotovic, P.V. Constructive Nonlinear Control; Springer: New York, NY, USA, 1997. [Google Scholar]
  3. Lin, W.; Wei, W. Semiglobal asymptotic stabilization of lower triangular systems by digital output feedback. IEEE Trans. Autom. Control 2018, 64, 2135–2141. [Google Scholar] [CrossRef]
  4. Liu, T.; Zhang, P.; Jiang, Z. Event-triggered input-to-state stabilization of nonlinear systems subject to disturbances and dynamic uncertainties. Automatica 2019, 108, 108488. [Google Scholar] [CrossRef]
  5. Qian, C.; Lin, W. A continuous feedback approach to global strong stabilization of nonlinear systems. IEEE Trans. Autom. Control 2001, 46, 1061–1079. [Google Scholar] [CrossRef]
  6. Liu, Y. Global asymptotic regulation via time-varying output feedback for a class of uncertain nonlinear systems. SIAM J. Control. Optim. 2013, 51, 4318–4342. [Google Scholar] [CrossRef]
  7. Yang, J.; Ding, Z. Global output regulation for a class of lower triangular nonlinear systems: A feedback domination approach. Automatica 2017, 76, 65–69. [Google Scholar] [CrossRef]
  8. Liu, Y.; Li, H. Adaptive asymptotic tracking using barrier functions. Automatica 2018, 98, 239–246. [Google Scholar] [CrossRef]
  9. Yu, J.; Zhao, Y.; Wu, Y. Global robust output tracking control for a class of uncertain cascaded nonlinear systems. Automatica 2018, 93, 274–281. [Google Scholar] [CrossRef]
  10. Zhang, X.; Lin, Y. A new approach to global asymptotic tracking for a class of low-triangular nonlinear systems via output feedback. IEEE Trans. Autom. Control 2012, 57, 3192–3196. [Google Scholar] [CrossRef]
  11. Li, K.; Hua, C.; You, X.; Guan, X. Output feedback-based consensus control for nonlinear time delay multiagent systems. Automatica 2020, 111, 108669. [Google Scholar] [CrossRef]
  12. Zhang, X.; Liu, L.; Feng, G. Leader-follower consensus of time-varying nonlinear multi-agent systems. Automatica 2015, 52, 8–14. [Google Scholar] [CrossRef]
  13. Zhang, H.; Liang, Y.; Su, H.; Lin, C. Event-driven guaranteed cost control design for nonlinear systems with actuator faults via reinforcement learning algorithm. IEEE Trans. Syst. Man Cybern. Syst. 2020, 50, 4135–4150. [Google Scholar] [CrossRef]
  14. Zhou, J.; Wen, C. Adaptive Backstepping Control of Uncertain Systems: Nonsmooth Nonlinearities, Interactions or Time-Variations; Springer: Berlin/Heidelberg, Germany, 2008. [Google Scholar]
  15. Benosman, M.; Lum, K. Application of passivity and cascade structure to robust control against loss of actuator effectiveness. Int. J. Robust Nonlinear Control 2010, 20, 673–693. [Google Scholar] [CrossRef]
  16. Vemuri, A.T.; Polycarpou, M.M. Robust nonlinear fault diagnosis in input-output systems. Int. J. Control 1997, 68, 343–360. [Google Scholar] [CrossRef]
  17. Gao, Z.; Antsaklis, P. Stability of the pseudo-inverse method for reconfigurable control systems. Int. J. Control 1991, 53, 717–729. [Google Scholar] [CrossRef]
  18. Corradini, M.; Orlando, G. Actuator failure identification and compensation through sliding modes. IEEE Trans. Control. Syst. Technol. 2007, 15, 184–190. [Google Scholar] [CrossRef]
  19. Wang, W.; Wen, C. Adaptive compensation for infinite number of actuator failures or faults. Automatica 2011, 47, 2197–2210. [Google Scholar] [CrossRef]
  20. Xing, L.; Wen, C.; Liu, Z.; Su, H.; Cai, J. Adaptive compensation for actuator failures with event-triggered input. Automatica 2017, 85, 129–136. [Google Scholar] [CrossRef]
  21. Karafyllis, I.; Krstic, M. Nonlinear stabilization under sampled and delayed measurements, and with inputs subject to delay and zero-order hold. IEEE Trans. Autom. Control 2012, 57, 1141–1154. [Google Scholar] [CrossRef]
  22. Liu, Q.; Zhang, X.; Li, H. Global regulation for feedforward systems with both discrete delaysand distributed delays. Automatica 2020, 113, 108753. [Google Scholar] [CrossRef]
  23. Zhou, B.; Luo, W. Improved Razumikhin and Krasovskii stability criteria for time-varying stochastic time-delay systems. Automatica 2018, 89, 382–391. [Google Scholar] [CrossRef]
  24. Richard, J. Time-delay systems: An overview of some recent advances and open problems. Automatica 2003, 39, 1667–1694. [Google Scholar] [CrossRef]
  25. Mazenc, F.; Niculescu, S.; Bekaik, M. Backstepping for nonlinear systems with delay in the input revisited. SIAM J. Control. Optim. 2011, 49, 2263–2278. [Google Scholar] [CrossRef]
  26. Zhang, X.; Lin, W.; Lin, Y. Nonsmooth feedback control of time-delay nonlinear systems: A dynamic gain based approach. IEEE Trans. Autom. Control 2017, 62, 438–444. [Google Scholar] [CrossRef]
  27. Zhang, X.; Zhang, C.; Cheng, Z. Asymptotic stabilization via output feedback for nonlinear systems with delayed output. Int. J. Syst. Sci. 2006, 37, 599–607. [Google Scholar] [CrossRef]
  28. Zhao, C.; Lin, W. Global stabilization by memoryless feedback for nonlinear systems with a limited input delay and large state delays. IEEE Trans. Autom. Control 2021, 66, 3702–3709. [Google Scholar] [CrossRef]
  29. Chen, X.; Zhang, X.; Chang, Y. Sampled-data integral control of nonholonomic systems with unknown constant disturbances. IEEE Trans. Circuits Syst. Ii: Express Briefs 2022, 69, 2792–2796. [Google Scholar] [CrossRef]
  30. Gu, S.; Qian, C.; Zhang, N. Finite-time integral control for a class of nonlinear planar systems with non-vanishing uncertainties. Automatica 2022, 136, 110036. [Google Scholar] [CrossRef]
  31. Tsinias, J. A theorem on global stabilization of nonlinear systems by linear feedback. Syst. Control Lett. 1991, 17, 357–362. [Google Scholar] [CrossRef]
  32. Chen, C.; Qian, C.; Sun, S.; Liang, Y. Global output feedback stabilization of a class of nonlinear systems with unknown measurement sensitivity. IEEE Trans. Autom. Control 2017, 63, 2212–2217. [Google Scholar] [CrossRef]
  33. Qian, C.; Du, H. Global output feedback stabilization of a class of nonlinear systems via linear sampled-data control. IEEE Trans. Autom. Control 2012, 57, 2934–2939. [Google Scholar] [CrossRef]
  34. Qian, C.; Lin, W. Output feedback control of a class of nonlinear systems: A nonseparation principle paradigm. IEEE Trans. Autom. Control 2002, 47, 1710–1715. [Google Scholar] [CrossRef]
  35. Zhu, J.; Qian, C. A necessary and sufficient condition for local asymptotic stability of a class of nonlinear systems in the critical case. Automatica 2018, 96, 234–239. [Google Scholar] [CrossRef]
  36. Huang, Y.; Liu, Y. Practical tracking via adaptive event-triggered feedback for uncertain nonlinear systems. IEEE Trans. Autom. Control 2019, 64, 3920–3927. [Google Scholar] [CrossRef]
Figure 1. Trajectories of the states of system (27).
Figure 1. Trajectories of the states of system (27).
Electronics 12 01127 g001
Figure 2. Trajectories of the state of controller (28).
Figure 2. Trajectories of the state of controller (28).
Electronics 12 01127 g002
Figure 3. Trajectories of the states of system (27).
Figure 3. Trajectories of the states of system (27).
Electronics 12 01127 g003
Figure 4. Trajectories of the state of controller (28).
Figure 4. Trajectories of the state of controller (28).
Electronics 12 01127 g004
Disclaimer/Publisher’s Note: The statements, opinions and data contained in all publications are solely those of the individual author(s) and contributor(s) and not of MDPI and/or the editor(s). MDPI and/or the editor(s) disclaim responsibility for any injury to people or property resulting from any ideas, methods, instructions or products referred to in the content.

Share and Cite

MDPI and ACS Style

Chen, X.; Wei, D.; Zhang, G.; Li, J. Global Regulation by Integral Feedback for Lower-Triangular Nonlinear Systems with Actuator Failures and Limited Delays. Electronics 2023, 12, 1127. https://doi.org/10.3390/electronics12051127

AMA Style

Chen X, Wei D, Zhang G, Li J. Global Regulation by Integral Feedback for Lower-Triangular Nonlinear Systems with Actuator Failures and Limited Delays. Electronics. 2023; 12(5):1127. https://doi.org/10.3390/electronics12051127

Chicago/Turabian Style

Chen, Xiandong, Dajun Wei, Guoteng Zhang, and Jinbao Li. 2023. "Global Regulation by Integral Feedback for Lower-Triangular Nonlinear Systems with Actuator Failures and Limited Delays" Electronics 12, no. 5: 1127. https://doi.org/10.3390/electronics12051127

APA Style

Chen, X., Wei, D., Zhang, G., & Li, J. (2023). Global Regulation by Integral Feedback for Lower-Triangular Nonlinear Systems with Actuator Failures and Limited Delays. Electronics, 12(5), 1127. https://doi.org/10.3390/electronics12051127

Note that from the first issue of 2016, this journal uses article numbers instead of page numbers. See further details here.

Article Metrics

Back to TopTop