NT-GNN: Network Traffic Graph for 5G Mobile IoT Android Malware Detection
Abstract
1. Introduction
- (1)
- A GNN model is used to construct an Android malware detection system to extract the topological data in network traffic. The method’s utilization of network traffic characteristics discovered by dynamic analysis, which enables a more thorough examination of its structure, is one of its main advantages.
- (2)
- The thorough assessment of the suggested framework using actual datasets shows its superiority compared to state-of-the-art techniques.
2. Related Work
2.1. Android Malware Detection Based on Deep Learning
2.2. Android Malware Detection Based on Graph Representation Learning
3. Methods
3.1. Extraction of Network Traffic Graph
3.2. NT-GNN Model
4. Experiment and Results
4.1. Experimental Setup
4.2. Datasets
4.3. Evaluation Metrics
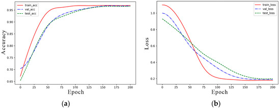
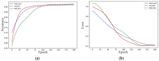
4.4. Experimental Results
5. Discussion and Conclusions
Author Contributions
Funding
Data Availability Statement
Conflicts of Interest
References
- Guan, X.H.; Liu, T.; Liu, J.; Yu, L. Android malware detection: A survey. Sci. Sin. Inform. 2020, 50, 1148–1177. [Google Scholar]
- Fiky, A.H.E.; Elshenawy, A.; Madkour, M.A. Detection of Android Malware using Machine Learning. In Proceedings of the 2021 International Mobile, Intelligent, and Ubiquitous Computing Conference, Cairo, Egypt, 26–27 May 2021. [Google Scholar]
- Almahmoud, M.; Alzu’bi, D.; Yaseen, Q. ReDroidDet: Android malware detection based on recurrent neural network. Proc. Comp. Sci. 2021, 184, 841–846. [Google Scholar] [CrossRef]
- Arvind, M.; Sangal, A.L. MLDroid—Framework for Android malware detection using machine learning techniques. Neural. Comput. Appl. 2021, 33, 5183–5240. [Google Scholar]
- Liu, K.J.; Xu, S.W.; Xu, G.A.; Zhang, M.; Sun, D.W.; Liu, H.F. A review of android malware detection approaches based on machine learning. IEEE Access 2020, 8, 124579–124607. [Google Scholar] [CrossRef]
- Kabakus, A.T. DroidMalwareDetector: A novel Android malware detection framework based on convolutional neural network. Expert Syst. Appl. 2022, 206, 117833. [Google Scholar] [CrossRef]
- Musikawan, P.; Kongsorot, Y.; You, I.; So-In, C. An enhanced deep learning neural network for the detection and identification of Android malware. IEEE Internet Things J. 2022, 1, 1. [Google Scholar] [CrossRef]
- Kim, T.G.; Kang, B.J.; Mina, R.; Sezer, S.; Im, E.G. A multimodal deep learning method for android malware detection using various features. IEEE Trans. Inf. Forensics Secur. 2018, 14, 773–788. [Google Scholar] [CrossRef]
- Li, J.; Sun, L.C.; Yan, Q.B.; Li, Z.Q.; Srisa-An, W.; Ye, H. Significant permission identification for machine-learning-based android malware detection. IEEE Trans. Industr. Inform. 2018, 14, 3216–3225. [Google Scholar] [CrossRef]
- Karbab, E.B.; Debbabi, M.; Derhab, A.; Mouheb, D. MalDozer: Automatic framework for android malware detection using deep learning. Digit. Investig. 2018, 24, S48–S59. [Google Scholar] [CrossRef]
- Abdurrahman, P.; Acarman, T. Deep learning for effective Android malware detection using API call graph embeddings. Soft Comput. 2020, 24, 1027–1043. [Google Scholar]
- Vasileios, S.; Geneiatakis, D. On machine learning effectiveness for malware detection in Android OS using static analysis data. J. Inf. Secur. Appl. 2021, 59, 102794. [Google Scholar]
- Molina-Coronado, B.; Mori, U.; Mendiburu, A.; Miguel-Alonso, J. Towards a fair comparison and realistic evaluation framework of android malware detectors based on static analysis and machine learning. Comput. Secur. 2023, 124, 102996. [Google Scholar] [CrossRef]
- Bai, H.P.; Xie, N.N.; Di, X.Q.; Ye, Q. Famd: A fast multifeature android malware detection framework, design, and implementation. IEEE Access 2020, 8, 194729–194740. [Google Scholar] [CrossRef]
- He, K.; Kim, D.S. Malware detection with malware images using deep learning techniques. In Proceedings of the 2019 18th IEEE International Conference on Trust, Security And Privacy In Computing And Communications, Rotorua, New Zealand, 5–8 August 2019. [Google Scholar]
- Xu, K.; Li, Y.J.; Deng, R.; Chen, K.; Xu, J.Y. Droidevolver: Self-evolving android malware detection system. In Proceedings of the 2019 IEEE European Symposium on Security and Privacy, Stockholm, Sweden, 17–19 June 2019. [Google Scholar]
- Chen, R.; Li, Y.Y.; Fang, W.W. Android malware identification based on traffic analysis. In Proceedings of the International Conference on Artificial Intelligence and Security, New York, NY, USA, 26–28 July 2019. [Google Scholar]
- Wu, Z.H.; Pan, S.R.; Chen, F.W.; Long, G.D.; Zhang, C.Q.; Yuphilip, S. A comprehensive survey on graph neural networks. IEEE Trans. Neural Netw. Learn. Syst. 2020, 32, 4–24. [Google Scholar] [CrossRef]
- Rahali, A.; Lashkari, A.H.; Kaur, G.; Taheri, L.; Gagnon, F.; Massicotte, F. Didroid: Android malware classification and characterization using deep image learning. In Proceedings of the 2020 The 10th International Conference on Communication and Network Security, New York, NY, USA, 27–29 November 2020. [Google Scholar]
- Alzaylaee, M.K.; Suleiman, Y.Y.; Sakir, S. DL-Droid: Deep learning based android malware detection using real devices. Comput. Secur. 2020, 101663. [Google Scholar] [CrossRef]
- Lotfollahi, M.; Siavoshani, M.J.; Zade, R.S.H.; Saberian, M. Deep packet: A novel approach for encrypted traffic classification using deep learning. Soft Comput. 2019, 24, 1999–2012. [Google Scholar] [CrossRef]
- Feng, J.Y.; Shen, L.M.; Chen, Z.; Wang, Y.Y.; Li, H. A two-layer deep learning method for android malware detection using network traffic. IEEE Access 2020, 8, 125786–125796. [Google Scholar] [CrossRef]
- Guo, Y.M.; Zhang, A.X. Classification Method of Android Traffic based on Convolutional Neural Network. Comm. Technol. 2020, 53, 432–437. [Google Scholar]
- Lashkari, A.H.; Kadir, A.F.A.; Laya, T.; Ghorbani, A.A. Toward developing a systematic approach to generate benchmark android malware datasets and classification. In Proceedings of the 2018 International Carnahan Conference on Security Technology, Montreal, QC, Canada, 22–25 October 2018. [Google Scholar]
- Mahshid, G.; Hashemi, S.; Abdi, L. Android malware detection and classification based on network traffic using deep learning. In Proceedings of the 2021 7th International Conference on Web Research, Tehran, Iran, 19–20 May 2021. [Google Scholar]
- Abuthawabeh, M.; Kamel, A.; Khaled, W.M. Android malware detection and categorization based on conversation-level network traffic features. In Proceedings of the 2019 International Arab Conference on Information Technology, Al Ain, United Arab Emirates, 3–5 December 2019. [Google Scholar]
- John, T.S.; Thomas, T.; Emmanuel, S. Graph convolutional networks for android malware detection with system call graphs. In Proceedings of the 2020 Third ISEA Conference on Security and Privacy, Guwahati, India, 27 February 2020–1 March 2020. [Google Scholar]
- Gao, H.; Cheng, S.Y.; Zhang, W.M. GDroid: Android malware detection and classification with graph convolutional network. Comput. Secur. 2021, 106, 102264. [Google Scholar] [CrossRef]
- Hei, Y.M.; Yang, R.Y.; Peng, H.; Wang, L.H.; Xu, J.W.; Liu, H.; Xu, J.; Sun, L.C. Hawk: Rapid android malware detection through heterogeneous graph attention networks. IEEE Trans. Neural Netw. Learn. Syst. 2021, 1–15. [Google Scholar] [CrossRef]
- Lo, W.W.; Layeghy, S.; Sarhan, M.; Gallagher, M.; Portmann, M. Graph Neural Network-based Android Malware Classification with Jumping Knowledge. In Proceedings of the 2022 IEEE Conference on Dependable and Secure Computing (DSC), Edinburgh, UK, 22–24 June 2022. [Google Scholar]
- Xu, P.; Eckert, C.; Zarras, A. hybrid-Flacon: Hybrid Pattern Malware Detection and Categorization with Network Traffic andProgram Code. arXiv 2021, arXiv:2112.100352112. [Google Scholar]
- Busch, J.; Kocheturov, A.; Tresp, V.; Seidl, T. NF-GNN: Network flow graph neural networks for malware detection and classification. In Proceedings of the 33rd International Conference on Scientific and Statistical Database Management, New York, NY, USA, 11 August 2021. [Google Scholar]
- Lashkari, A.H.; Draper-Gil, G.; Mamun, M.; Ghorbani, A.A. Characterization of encrypted and vpn traffic using time-related. In Proceedings of the 2nd International Conference on Information Systems Security and Privacy, Rome, Italy, 19–21 February 2016. [Google Scholar]
- Gilmer, J.; Schoenholz, S.S.; Riley, P.F.; Vinyals, O.; Dahl, G.E. Neural message passing for quantum chemistry. In Proceedings of the 34th International Conference on Machine Learning, Sydney, Australia, 6–11 August 2017; Volume 70, pp. 1263–1272. [Google Scholar]
- Chung, J.Y.; Gulcehre, C.; Cho, K.H.; Bengio, Y. Empirical evaluation of gated recurrent neural networks on sequence modeling. arXiv 2014, arXiv:1412.35551412. [Google Scholar]
- Lashkari, A.H.; Kadir, A.F.A.; Gonzalez, H.; Mbah, K.F.; Ghorbani, A.A. Towards a network-based framework for android malware detection and characterization. In Proceedings of the 2017 15th Annual Conference on Privacy, Security and Trust, Calgary, AB, Canada, 28–30 August 2017. [Google Scholar]
- Zhu, H.J.; Gu, W.; Wang, L.M.; Xu, Z.C.; Sheng, V.S. Android malware detection based on multi-head squeeze-and-excitation residual network. Expert Syst. Appl. 2023, 212, 118705. [Google Scholar] [CrossRef]









| Category | Family Tree | |||||
|---|---|---|---|---|---|---|
| Benign | Benign2015 | Benign2016 | Benign2017 | |||
| Malware | Adware | Dowgin | Ewind | Feiwo | Gooligan | Kemoge |
| koodous | Mobidash | Selfmite | Shuanet | Youmi | ||
| Ransomware | Charger | Jisut | Koler | LockerPin | Simplocker | |
| Pletor | PornDroid | RansomBO | Svpeng | WannaLocker | ||
| Scareware | FakeAV | AndroidSpy | AVpass | AVAndroid | FakeApp | |
| Penetho | VirusShield | FakeJobOffer | FakeTaoBao | FakeAppAL | ||
| AndroidDefender | ||||||
| SMSMalware | BeanBot | Biige | FakeInst | FakeMart | FakeNotify | |
| Jifake | Mazarbot | Zsone | Plankton | SMSsniffer | ||
| Nandrobox | ||||||
| Category | Family Tree | |||
|---|---|---|---|---|
| Benign | Benign2015 | Benign2016 | ||
| Malware | Adware | Airpush | Dowgin | Kemoge |
| Mobidash | Shuanet | |||
| General Malware | AVpass | FakeAV | FakeFlash | |
| GGtracker | Penetho | |||
| Model | Accuracy | Precision | Recall | F1-Score |
|---|---|---|---|---|
| DT | 0.90 | 0.91 | 0.90 | 0.90 |
| RF | 0.92 | 0.91 | 0.91 | 0.91 |
| CNN | 0.94 | 0.93 | 0.94 | 0.93 |
| NT-GNN | 0.97 | 0.98 | 0.97 | 0.97 |
| Model | Accuracy | Precision | Recall | F1-Score |
|---|---|---|---|---|
| DT | 0.85 | 0.86 | 0.86 | 0.85 |
| RF | 0.88 | 0.88 | 0.88 | 0.88 |
| CNN | 0.91 | 0.92 | 0.92 | 0.92 |
| NT-GNN | 0.97 | 0.97 | 0.96 | 0.97 |
Disclaimer/Publisher’s Note: The statements, opinions and data contained in all publications are solely those of the individual author(s) and contributor(s) and not of MDPI and/or the editor(s). MDPI and/or the editor(s) disclaim responsibility for any injury to people or property resulting from any ideas, methods, instructions or products referred to in the content. |
© 2023 by the authors. Licensee MDPI, Basel, Switzerland. This article is an open access article distributed under the terms and conditions of the Creative Commons Attribution (CC BY) license (https://creativecommons.org/licenses/by/4.0/).
Share and Cite
Liu, T.; Li, Z.; Long, H.; Bilal, A. NT-GNN: Network Traffic Graph for 5G Mobile IoT Android Malware Detection. Electronics 2023, 12, 789. https://doi.org/10.3390/electronics12040789
Liu T, Li Z, Long H, Bilal A. NT-GNN: Network Traffic Graph for 5G Mobile IoT Android Malware Detection. Electronics. 2023; 12(4):789. https://doi.org/10.3390/electronics12040789
Chicago/Turabian StyleLiu, Tianyue, Zhenwan Li, Haixia Long, and Anas Bilal. 2023. "NT-GNN: Network Traffic Graph for 5G Mobile IoT Android Malware Detection" Electronics 12, no. 4: 789. https://doi.org/10.3390/electronics12040789
APA StyleLiu, T., Li, Z., Long, H., & Bilal, A. (2023). NT-GNN: Network Traffic Graph for 5G Mobile IoT Android Malware Detection. Electronics, 12(4), 789. https://doi.org/10.3390/electronics12040789

