A Fast Mismatch Calibration Method Based on Frequency Domain Orthogonal Decomposition for Time-Interleaved Analog-to-Digital Converters
Abstract
:1. Introduction
2. TIADC Model and Mismatch Analysis in the Frequency Domain
2.1. Mismatch Model of TIADC
2.2. The Input Signal Component
2.3. The Remaining Frequency Components
2.4. Orthogonal Decomposition of Spur Signal
3. The Proposed Calibration Method and Hardware Structure
3.1. Orthogonal Basis Signals Generation
3.1.1. Principle of Generating Orthogonal Basis Signals
3.1.2. Multi-Phase Structure of Orthogonal Basis Signal Generation
3.2. Estimation Method of Orthogonal Basis Coefficients
3.2.1. Orthogonal Basis Coefficient Estimation Structure
3.2.2. Adaptive Step Adjustment Method
4. Experimental Result
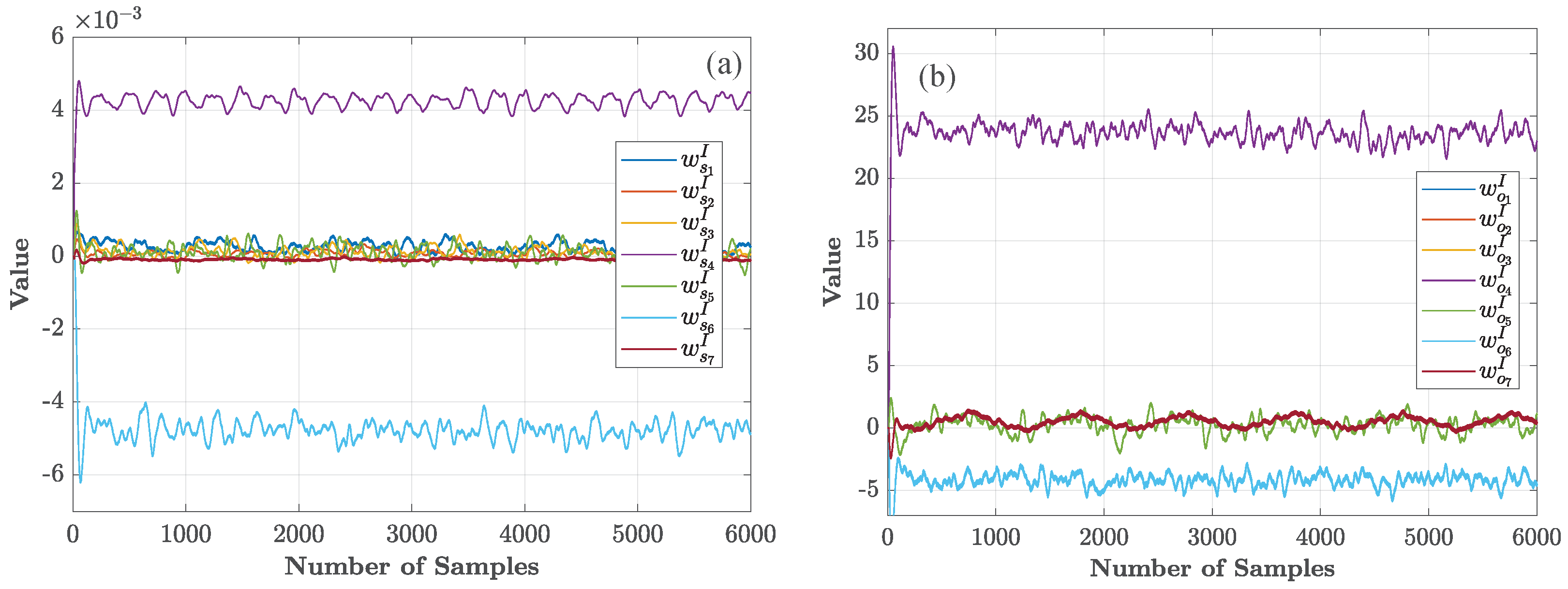
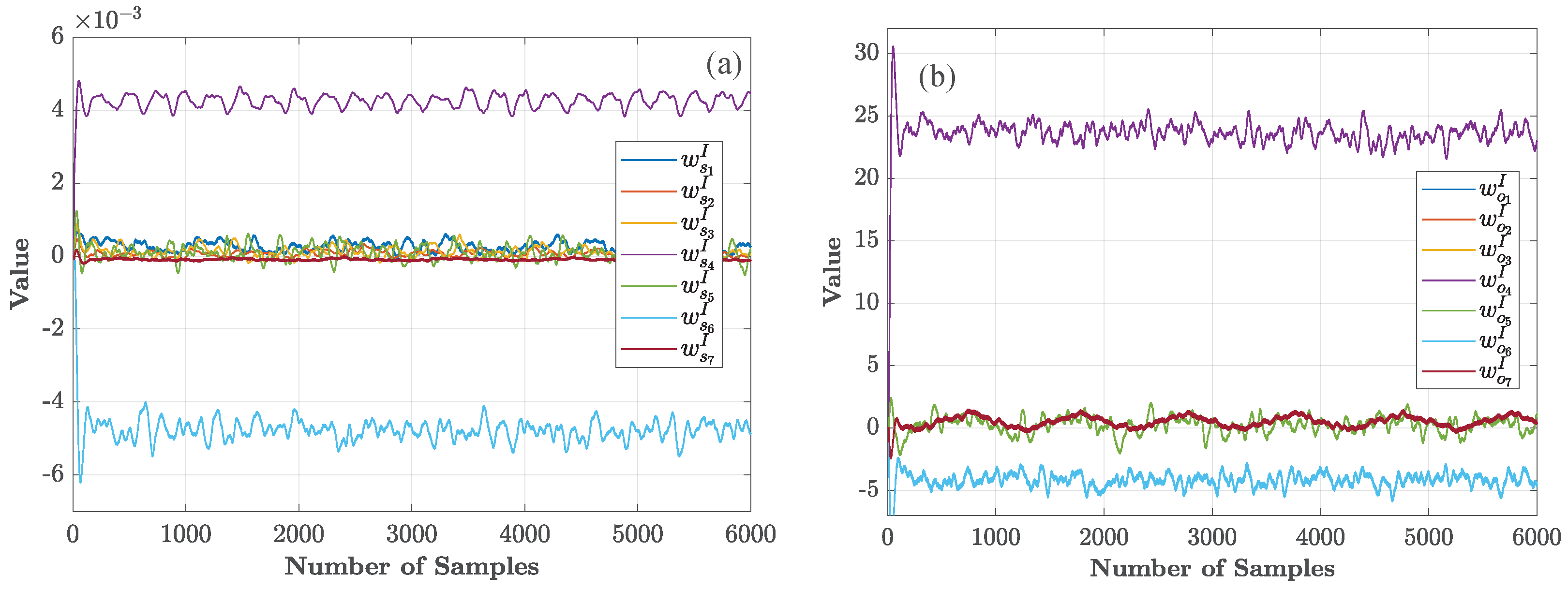
4.1. Simulation Result
4.2. Hardware Implementation and Validation
5. Conclusions
Author Contributions
Funding
Data Availability Statement
Conflicts of Interest
References
- Liu, H.; Sun, J.; Xu, H.; Zhang, L. A 16b 120MS/s Pipelined ADC Using an Auxiliary-Capacitor-Based Calibration Technique Achieving 90.5dB SFDR in 0.18 μm CMOS. IEEE Trans. Circuits Syst. II Express Briefs 2022, 69, 809–813. [Google Scholar] [CrossRef]
- Gao, Y.; Han, J.; Liu, Z.; Liu, Y.; Huang, H. General architecture of centralized unit and distributed unit for new radio. ZTE Commun. 2018, 16, 23–31. [Google Scholar]
- Black, W.; Hodges, D. Time Interleaved Converter Arrays. IEEE J. Solid-State Circuits 1980, 15, 1022–1029. [Google Scholar] [CrossRef]
- Razavi, B. Design Considerations for Interleaved ADCs. IEEE J. Solid-State Circuits 2013, 48, 1806–1817. [Google Scholar] [CrossRef]
- Kurosawa, N.; Kobayashi, H.; Maruyama, K.; Sugawara, H.; Kobayashi, K. Explicit Analysis of Channel Mismatch Effects in Time-Interleaved ADC Systems. IEEE Trans. Circuits Syst. I Fundam. Theory Appl. 2001, 48, 261–271. [Google Scholar] [CrossRef]
- Elbornsson, J.; Gustafsson, F.; Eklund, J.E. Blind Adaptive Equalization of Mismatch Errors in a Time-Interleaved A/D Converter System. IEEE Trans. Circuits Syst. I Regul. Pap. 2004, 51, 151–158. [Google Scholar] [CrossRef]
- Dyer, K.; Fu, D.; Lewis, S.; Hurst, P. An Analog Background Calibration Technique for Time-Interleaved Analog-to-Digital Converters. IEEE J. Solid-State Circuits 1998, 33, 1912–1919. [Google Scholar] [CrossRef]
- Shen, H.; John, D.; Cardiff, B. A Background Calibration for Joint Mismatch in the OFDM System With Time-Interleaved ADC. IEEE Trans. Circuits Syst. II Express Briefs 2022, 69, 3630–3634. [Google Scholar] [CrossRef]
- El-Chammas, M.; Li, X.; Kimura, S.; Maclean, K.; Hu, J.; Weaver, M.; Gindlesperger, M.; Kaylor, S.; Payne, R.; Sestok, C.K.; et al. A 12 Bit 1.6 GS/s BiCMOS 2 × 2 Hierarchical Time-Interleaved Pipeline ADC. IEEE J. Solid-State Circuits 2014, 49, 1876–1885. [Google Scholar] [CrossRef]
- Camarero, D.; Kalaia, K.B.; Naviner, J.F.; Loumeau, P. Mixed-Signal Clock-Skew Calibration Technique for Time-Interleaved ADCs. IEEE Trans. Circuits Syst. I Regul. Pap. 2008, 55, 3676–3687. [Google Scholar] [CrossRef]
- Huang, C.C.; Wang, C.Y.; Wu, J.T. A CMOS 6-Bit 16-GS/s Time-Interleaved ADC Using Digital Background Calibration Techniques. IEEE J. Solid-State Circuits 2011, 46, 848–858. [Google Scholar] [CrossRef]
- Lu, Z.; Tang, H.; Ren, Z.; Hua, R.; Zhuang, H.; Peng, X. A Timing Mismatch Background Calibration Algorithm With Improved Accuracy. IEEE Trans. Very Large Scale Integr. (VLSI) Syst. 2021, 29, 1591–1595. [Google Scholar] [CrossRef]
- Salib, A.; Flanagan, M.F.; Cardiff, B. Time-Skew Estimation for Random Sampling Sequence Time-Interleaved ADCs. IEEE Trans. Circuits Syst. II Express Briefs 2020, 67, 1809–1813. [Google Scholar] [CrossRef]
- Salib, A.; Flanagan, M.F.; Cardiff, B. A High-Precision Time Skew Estimation and Correction Technique for Time-Interleaved ADCs. IEEE Trans. Circuits Syst. I Regul. Pap. 2019, 66, 3747–3760. [Google Scholar] [CrossRef]
- Liu, S.; Zhao, L.; Li, S. A Novel All-Digital Calibration Method for Timing Mismatch in Time-Interleaved ADC Based on Modulation Matrix. IEEE Trans. Circuits Syst. I Regul. Pap. 2022, 69, 2955–2967. [Google Scholar] [CrossRef]
- Li, X.; Wu, J.; Vogel, C. A Background Correlation-Based Timing Skew Estimation Method for Time-Interleaved ADCs. IEEE Access 2021, 9, 45730–45739. [Google Scholar] [CrossRef]
- Yin, M.; Ye, Z. First Order Statistic Based Fast Blind Calibration of Time Skews for Time-Interleaved ADCs. IEEE Trans. Circuits Syst. II Express Briefs 2020, 67, 162–166. [Google Scholar] [CrossRef]
- Xiong, W.; Zhang, Z.; Sun, L.; Liu, Y.; Liu, H.; Lang, L.; Dong, Y. Fast Convergent Background Calibration Technique for Timing Mismatch in M channel Time-Interleaved ADCs. AEU Int. J. Electron. Commun. 2022, 153, 154282. [Google Scholar] [CrossRef]
- Sun, L.; Zhang, Z.; Lang, L.; Kang, T.; Xiong, W.; Liu, Y.; Zhong, W.; Dong, Y. An Adaptive and Universal Timing Mismatch Estimation Method for TIADCs. IEEE Trans. Very Large Scale Integr. (VLSI) Syst. 2023, 31, 1614–1618. [Google Scholar] [CrossRef]
- Deng, T.B. Closed-Form Mixed Design of High-Accuracy All-Pass Variable Fractional-Delay Digital Filters. IEEE Trans. Circuits Syst. I Regul. Pap. 2011, 58, 1008–1019. [Google Scholar] [CrossRef]
- Liu, Y.; Zhang, Z.; Xiong, W.; Sun, L.; Lang, L.; Wu, X.; Dong, Y. An Improved Wide-Range, Low-Complexity, Fully-Parallel Digital Background Timing Mismatch Calibration Method for Dual-Channel TIADC Based on Perfect Reconstruction Filter Bank. AEU Int. J. Electron. Commun. 2023, 171, 154910. [Google Scholar] [CrossRef]
- Prendergast, R.; Levy, B.; Hurst, P. Reconstruction of Band-Limited Periodic Nonuniformly Sampled Signals through Multirate Filter Banks. IEEE Trans. Circuits Syst. I Regul. Pap. 2004, 51, 1612–1622. [Google Scholar] [CrossRef]
- Qiu, Y.; Liu, Y.J.; Zhou, J.; Zhang, G.; Chen, D.; Du, N. All-Digital Blind Background Calibration Technique for Any Channel Time-Interleaved ADC. IEEE Trans. Circuits Syst. I Regul. Pap. 2018, 65, 2503–2514. [Google Scholar] [CrossRef]
- Tavares, Y.A.; Lee, M. A Foreground Calibration for M-Channel Time-Interleaved Analog-to-Digital Converters Based on Genetic Algorithm. IEEE Trans. Circuits Syst. I Regul. Pap. 2021, 68, 1444–1457. [Google Scholar] [CrossRef]
- Niu, H.; Yuan, J. A Spectral-Correlation-Based Blind Calibration Method for Time-Interleaved ADCs. IEEE Trans. Circuits Syst. I Regul. Pap. 2020, 67, 5007–5017. [Google Scholar] [CrossRef]
- Qiu, Y.; Zhou, J.; Liu, Y.; He, X.; Xie, N.; Liu, Y. An Adaptive Blind Calibration Technique for Frequency Response Mismatches in M-Channel Time-Interleaved ADCs. IEEE Trans. Circuits Syst. II Express Briefs 2019, 66, 702–706. [Google Scholar] [CrossRef]




























| Input Signal Frequency | |||||
|---|---|---|---|---|---|
| SNR Bef Cali (dBFS) | dB | dB | dB | dB | dB |
| SNR Aft Cali (dBFS) | dB | dB | dB | dB | dB |
| SFDR Bef Cali (dBFS) | dB | dB | dB | dB | dB |
| SFDR Aft Cali (dBFS) | dB | dB | dB | dB | dB |
| Resource | Utilization (4-Channel) | Utilization (8-Channel) | Available |
|---|---|---|---|
| LUT | 527 (0.17%) | 952 (0.31%) | 303,600 |
| FF | 829 (0.14%) | 1113 (0.18%) | 607,200 |
| DSP | 58 (2.07%) | 177 (6.32%) | 2800 |
| Characteristics | [15] | [25] | [26] | This Work |
|---|---|---|---|---|
| Background | Yes | No | Yes | Yes |
| Methodology | Simplify Matrix Multiplication | Inverse Discrete Fourier Transform | Polynomial Fitting | Orthogonal Decomposition |
| Channels | 4 | 4 | 16 | 4 & 8 |
| Resolution | 12 | 12 | Data | 14 |
| Arbitrary Channel | Yes | Yes | Yes | Yes |
| Matrix operation | Yes | No | No | No |
| Mismatch Type | Timing | Offset, Gain, Timing | Gain, Timing | Offset, Gain, Timing |
| Type-by-Type Calibration | Yes | No | No | No |
| Conve.Time (sample#) | 110k+ | 10 M | 1.2 M | 600 |
| SFDR/SNR (improvement) | 38 dB/25 dB | 22 dB/8dB | 40 dB/- | 36 dB/14 dB |
Disclaimer/Publisher’s Note: The statements, opinions and data contained in all publications are solely those of the individual author(s) and contributor(s) and not of MDPI and/or the editor(s). MDPI and/or the editor(s) disclaim responsibility for any injury to people or property resulting from any ideas, methods, instructions or products referred to in the content. |
© 2023 by the authors. Licensee MDPI, Basel, Switzerland. This article is an open access article distributed under the terms and conditions of the Creative Commons Attribution (CC BY) license (https://creativecommons.org/licenses/by/4.0/).
Share and Cite
Sun, L.; Lang, L.; Zhong, W.; Liu, H.; Dong, Y. A Fast Mismatch Calibration Method Based on Frequency Domain Orthogonal Decomposition for Time-Interleaved Analog-to-Digital Converters. Electronics 2023, 12, 5042. https://doi.org/10.3390/electronics12245042
Sun L, Lang L, Zhong W, Liu H, Dong Y. A Fast Mismatch Calibration Method Based on Frequency Domain Orthogonal Decomposition for Time-Interleaved Analog-to-Digital Converters. Electronics. 2023; 12(24):5042. https://doi.org/10.3390/electronics12245042
Chicago/Turabian StyleSun, Lin, Lili Lang, Wei Zhong, Haijing Liu, and Yemin Dong. 2023. "A Fast Mismatch Calibration Method Based on Frequency Domain Orthogonal Decomposition for Time-Interleaved Analog-to-Digital Converters" Electronics 12, no. 24: 5042. https://doi.org/10.3390/electronics12245042
APA StyleSun, L., Lang, L., Zhong, W., Liu, H., & Dong, Y. (2023). A Fast Mismatch Calibration Method Based on Frequency Domain Orthogonal Decomposition for Time-Interleaved Analog-to-Digital Converters. Electronics, 12(24), 5042. https://doi.org/10.3390/electronics12245042

