A Negative Emotion Recognition System with Internet of Things-Based Multimodal Biosignal Data
Abstract
:1. Introduction
2. The Proposed Negative Emotion Recognition System
3. Exploratory Data Analysis and Multiclass SVM Model
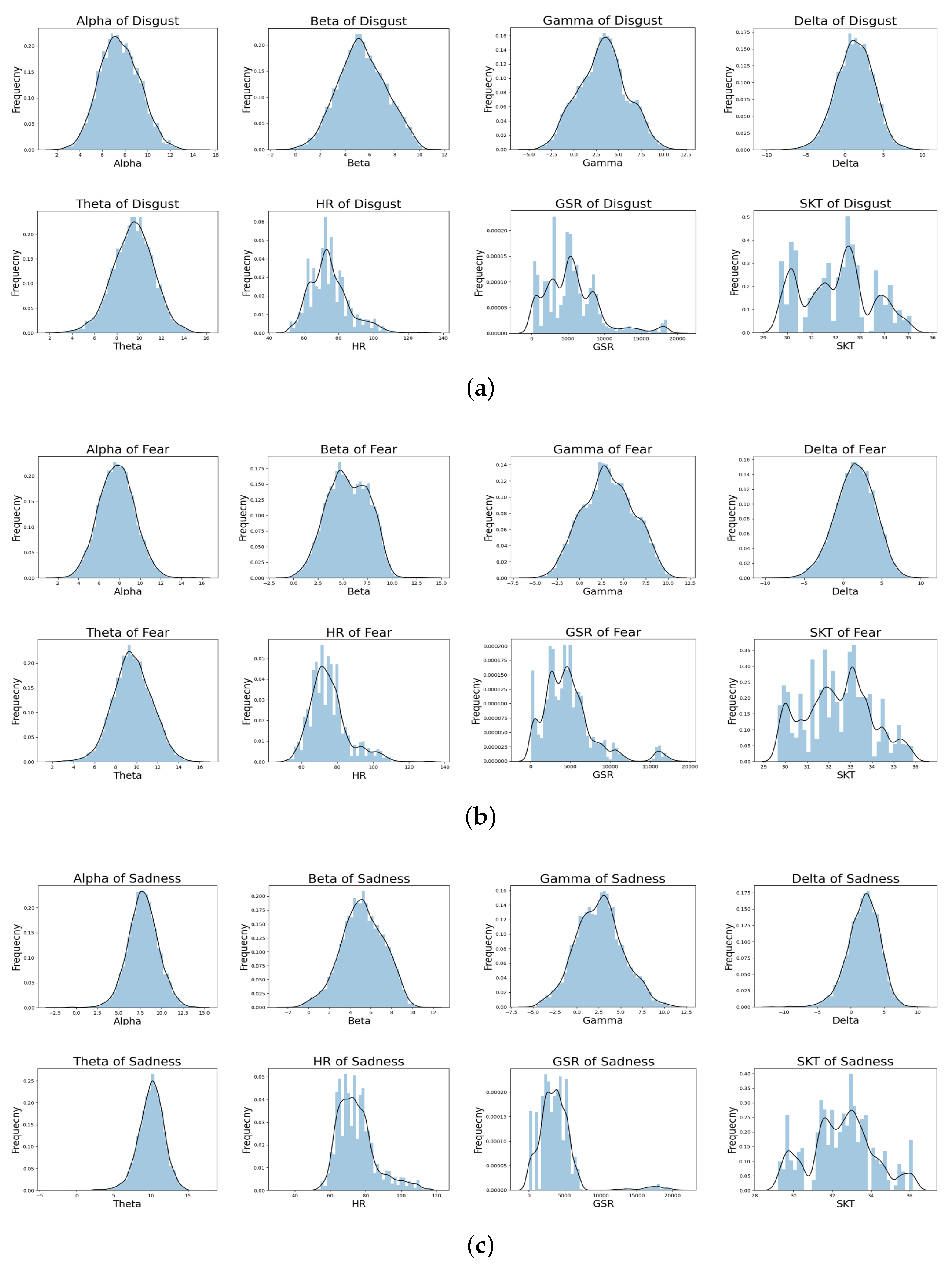
3.1. Exploratory Data Analysis
3.2. Multiclass Nonlinear SVM Model
4. Experimental Results
4.1. Experimental Conditions
4.2. Performance Evaluation
5. Discussion
6. Conclusions
Author Contributions
Funding
Data Availability Statement
Conflicts of Interest
References
- Choi, K.H.; Yang, E.S. A study on the trend of healthcare device technology by biometric signal. J. Korea Entertain. Ind. Assoc. 2020, 14, 165–176. [Google Scholar] [CrossRef]
- Ferreira, J.J.; Fernandes, C.I.; Rammal, H.G.; Veiga, P.M. Wearable technology and consumer interaction: A systematic review and research agenda. Comput. Hum. Behav. 2021, 118, 106710. [Google Scholar] [CrossRef]
- Mahloko, L.; Adebesin, F. A systematic literature review of the factors that influence the accuracy of consumer wearable health device data. In Proceedings of the e-Business, e-Services and e-Society, Skukuza, South Africa, 6–8 April 2020; pp. 96–107. [Google Scholar]
- Singh, B.; Zopf, E.M.; Howden, E.J. Effect and feasibility of wearable physical activity trackers and pedometers for increasing physical activity and improving health outcomes in cancer survivors: A systematic review and meta-analysis. J. Sport Health Sci. 2022, 11, 184–193. [Google Scholar] [CrossRef]
- Kim, G.; Choi, I.; Li, Q.; Kim, J. A CNN-based advertisement recommendation through real-time user face recognition. Appl. Sci. 2021, 11, 9705. [Google Scholar] [CrossRef]
- Zhang, H. Expression-EEG based collaborative multimodal emotion recognition using deep autoencoder. IEEE Access. 2020, 8, 164130–164143. [Google Scholar] [CrossRef]
- Gu, X.; Cai, W.; Gao, M.; Jiang, Y.; Ning, X.; Qian, P. Multi-source domain transfer discriminative dictionary learning modeling for electroencephalogram-based emotion recognition. IEEE Trans. Comput. Soc. Syst. 2022, 9, 1604–1612. [Google Scholar] [CrossRef]
- Liu, Y.; Fu, G. Emotion recognition by deeply learned multi-channel textual and EEG features. Future Gener. Comput. Syst. 2021, 119, 1–6. [Google Scholar] [CrossRef]
- Domínguez-Jiménez, J.A.; Campo-Landines, K.C.; Martínez-Santos, J.C.; Delahoz, E.J.; Contreras-Ortiz, S.H. A machine learning model for emotion recognition from physiological signals. Biomed. Signal Process. Control 2020, 55, 101646. [Google Scholar] [CrossRef]
- Liu, Y.; Ding, Y.; Li, C.; Cheng, J.; Song, R.; Wan, F.; Chen, X. Multi-channel EEG-based emotion recognition via a multi-level features guided capsule network. Comput. Biol. Med. 2020, 123, 103927. [Google Scholar] [CrossRef] [PubMed]
- Lee, J.; Yoo, S.K. Recognition of negative emotion using long short-term memory with bio-signal feature compression. Sensors 2020, 20, 573. [Google Scholar] [CrossRef] [PubMed]
- Long, F.; Zhao, S.; Wei, X.; Ng, S.C.; Ni, X.; Chi, A.; Fang, P.; Zeng, W.; Wei, B. Positive and negative emotion classification based on multi-channel. Front. Behav. Neurosci. 2021, 15, 720451. [Google Scholar] [CrossRef] [PubMed]
- Suhaimi, N.S.; Mountstephens, J.; Teo, J. EEG-based emotion recognition: A state-of-the-art review of current trends and opportunities. Comput. Intell. Neurosci. 2020, 2020, 8875426. [Google Scholar] [CrossRef] [PubMed]
- Jo, C.; Jung, H. Multimodal Emotion Recognition System using Face Images and Multidimensional Emotion-based Text. J. Korean Inst. Inf. Technol. 2023, 21, 39–47. [Google Scholar]
- Ancillon, L.; Elgendi, M.; Menon, C. Machine Learning for Anxiety Detection Using Biosignals: A Review. Diagnostics 2022, 12, 1794. [Google Scholar] [CrossRef]
- She, W.; Lv, Z.; Taoi, J.; Niu, M. Micro-expression recognition based on multiple aggregation networks. In Proceedings of the 2020 Asia-Pacific Signal and Information Processing Association Annual Summit and Conference, Auckland, New Zealand, 7–10 December 2020. [Google Scholar]
- Chatterjee, S. Drivers of helpfulness of online hotel reviews: A sentiment and emotion mining approach. Int. J. Hosp. Manag. 2020, 85, 102356. [Google Scholar] [CrossRef]
- Li, J.; Hu, R.; Mukherjee, M. Discriminative Region Transfer Network for Cross-Database Micro-Expression Recognition. In Proceedings of the ICC 2022-IEEE International Conference on Communications, Seoul, Republic of Korea, 16–20 May 2022. [Google Scholar]
- IoTKETI/Mobius: oneM2M IoT Server Platform. Available online: https://github.com/IoTKETI/Mobius (accessed on 21 April 2023).
- Lee, S.; Kil, W.; Roh, B.H.; Kim, S.J.; Kang, J.S. Novel Architecture of OneM2M-Based Convergence Platform for Mixed Reality and IoT. Comput. Mater. Contin. 2022, 71, 51. [Google Scholar]
- Lee, J.; Gilani, K.; Khatoon, N.; Jeong, S.; Song, J. SEIF: A Semantic-enabled IoT Service Framework for Realizing Interoperable Data and Knowledge Retrieval. IEIE Trans. Smart Process. Comput. 2023, 12, 9–22. [Google Scholar] [CrossRef]
- Mante, S.; Vaddhiparthy, S.S.S.; Ruthwik, M.; Gangadharan, D.; Hussain, A.M.; Vattem, A. A Multi Layer Data Platform Architecture for Smart Cities using oneM2M and IUDX. In Proceedings of the 2022 IEEE 8th WF-IoT, Yokohama, Japan, 26 October–11 November 2022; pp. 1–6. [Google Scholar]
- Peng, L.; Zheng, S.; Zhong, Q.; Chai, X.; Lin, J. A novel bagged tree ensemble regression method with multiple correlation coefficients to predict the train body vibrations using rail inspection data. Mech. Syst. Signal Process. 2023, 182, 109543. [Google Scholar] [CrossRef]
- Šverko, Z.; Vrankić, M.; Vlahinić, S.; Rogelj, P. Complex Pearson Correlation Coefficient for EEG Connectivity Analysis. Sensors 2022, 22, 1477. [Google Scholar] [CrossRef]
- Ning, Z.; Wang, B.; Li, S.; Jia, X.; Xie, S.; Zheng, J. Pipeline risk factors analysis using the Pearson correlation coefficient method and the random forest importance factor method. In Proceedings of the 2023 8th International Conference on Smart and Sustainable Technologies (SpliTech), Split and Bol (Island of Brac), Croatia, 20–23 June 2023; pp. 1–5. [Google Scholar]
- Otchere, D.A.; Ganat, T.O.A.; Gholami, R.; Ridha, S. Application of supervised machine learning paradigms in the prediction of petroleum reservoir properties: Comparative analysis of ANN and SVM models. J. Pet. Sci. Eng. 2021, 200, 108182. [Google Scholar] [CrossRef]
- Choi, J.; Im, S. Leak Detection and Classification of Water Pipeline based on SVM using Leakage Noise Magnitude Spectrum. J. Inst. Electron. Inf. Eng. 2023, 60, 6–14. [Google Scholar]
- Mohammadi, M.; Rashid, T.A.; Karim, S.H.T.; Aldalwie, A.H.M.; Tho, Q.T.; Bidaki, M.; Hosseinzadeh, M. A comprehensive survey and taxonomy of the SVM-based intrusion detection systems. J. Netw. Comput. Appl. 2021, 178, 102983. [Google Scholar] [CrossRef]
- Jebli, I.; Belouadha, F.Z.; Kabbaj, M.I.; Tilioua, A. Prediction of solar energy guided by pearson correlation using machine learning. Energy 2021, 224, 120109. [Google Scholar] [CrossRef]
- Schaefer, A.; Nils, F.; Sanchez, X.; Philippot, P. Assessing the effectiveness of a large database of emotion-eliciting films: A new tool for emotion researchers. Cogn. Emot. 2010, 24, 1153–1172. [Google Scholar] [CrossRef]
- Liu, Y.J.; Yu, M.; Zhao, G.; Song, J.; Ge, Y.; Shi, Y. Real-time movie-induced discrete emotion recognition from EEG signals. IEEE Trans. Affect. Comput. 2017, 9, 550–562. [Google Scholar] [CrossRef]
- Ihmig, F.R.; Neurohr-Parakenings, F.; Schäfer, S.K.; Lass-Hennemann, J.; Michael, T. On-line anxiety level detection from biosignals: Machine learning based on a randomized controlled trial with spider-fearful individuals. PLoS ONE 2020, 15, e0231517. [Google Scholar] [CrossRef]
- Al-Jumaily, A.A.; Matin, N.; Hoshyar, A.N. Machine learning based biosignals mental stress detection. In Proceedings of the Soft Computing in Data Science: 6th International Conference, SCDS 2021, Virtual Event, 2–3 November 2021; pp. 28–41. [Google Scholar]
- Mekruksavanich, S.; Hnoohom, N.; Jitpattanakul, A. A Deep Residual-based Model on Multi-Branch Aggregation for Stress and Emotion Recognition through Biosignals. In Proceedings of the 2022 19th International Conference on Electrical Engineering/Electronics, Computer, Telecommunications and Information Technology (ECTI-CON), Huahin, Thailand, 24–27 May 2022; pp. 1–4. [Google Scholar]
- Xie, S.; Girshick, R.; Dollár, P.; Tu, Z.; He, K. Aggregated residual transformations for deep neural networks. In Proceedings of the IEEE Conference on Computer Vision and Pattern Recognition (CVPR), Honolulu, HI, USA, 21–26 July 2017; pp. 1492–1500. [Google Scholar]












| Precision | Recall | F1 Score | Support | |
|---|---|---|---|---|
| Disgust | 0.97 | 0.97 | 0.97 | 1504 |
| Fear | 0.98 | 0.98 | 0.98 | 2395 |
| Sadness | 0.99 | 0.99 | 0.99 | 1707 |
| Accuracy | 0.98 | 5606 | ||
| Macro average | 0.98 | 0.98 | 0.98 | 5606 |
| Weighted average | 0.98 | 0.98 | 0.98 | 5606 |
| True positive (TP) | A target traffic sign has been predicted to a correct type. |
| True negative (TN) | A non-target traffic sign has been predicted to a correct type. |
| False positive (FP) | A target traffic sign has been predicted to a wrong type. |
| False negative (FN) | A non-target traffic sign has been predicted to a wrong type. |
| Macro-average | Averaging the unweighted mean per label. |
| Weighted average | Averaging the support-weighted mean per label. |
| Study | Year | Emotion | Biosignal | Data Collection Tool | Method |
|---|---|---|---|---|---|
| Ihmig et al. [32] | 2020 | Anxiety | ECG, GSR, RSP | Biofeedback system, BITalino biosignal measurement device, Ag/AgCl electrodes | Bagged trees |
| Lee and Yoo [12] | 2020 | Negative | ECG, GSR, SKT | MP 150TM of BIOPAC | LSTM |
| Al-Jumaily et al. [33] | 2021 | Stress | ECG, EMG | Certain sensors | Gaussian kernel SVM |
| Mekruksavanich et al. [34] | 2022 | Tension | ECG, EMG, GSR | Chest-worn equipment | CNN, ResNeXt |
| Our study | 2023 | Disgust, fear, sadness | HR, GSR, SKT | Microsoft Band 2 | RBF kernel SVM |
Disclaimer/Publisher’s Note: The statements, opinions and data contained in all publications are solely those of the individual author(s) and contributor(s) and not of MDPI and/or the editor(s). MDPI and/or the editor(s) disclaim responsibility for any injury to people or property resulting from any ideas, methods, instructions or products referred to in the content. |
© 2023 by the authors. Licensee MDPI, Basel, Switzerland. This article is an open access article distributed under the terms and conditions of the Creative Commons Attribution (CC BY) license (https://creativecommons.org/licenses/by/4.0/).
Share and Cite
Ham, S.-M.; Lee, H.-M.; Lim, J.-H.; Seo, J. A Negative Emotion Recognition System with Internet of Things-Based Multimodal Biosignal Data. Electronics 2023, 12, 4321. https://doi.org/10.3390/electronics12204321
Ham S-M, Lee H-M, Lim J-H, Seo J. A Negative Emotion Recognition System with Internet of Things-Based Multimodal Biosignal Data. Electronics. 2023; 12(20):4321. https://doi.org/10.3390/electronics12204321
Chicago/Turabian StyleHam, Seung-Mi, Hye-Min Lee, Jae-Hyun Lim, and Jeongwook Seo. 2023. "A Negative Emotion Recognition System with Internet of Things-Based Multimodal Biosignal Data" Electronics 12, no. 20: 4321. https://doi.org/10.3390/electronics12204321
APA StyleHam, S.-M., Lee, H.-M., Lim, J.-H., & Seo, J. (2023). A Negative Emotion Recognition System with Internet of Things-Based Multimodal Biosignal Data. Electronics, 12(20), 4321. https://doi.org/10.3390/electronics12204321

