Student Perceptions of Online Education and Digital Technologies during the COVID-19 Pandemic: A Systematic Review
Abstract
1. Introduction
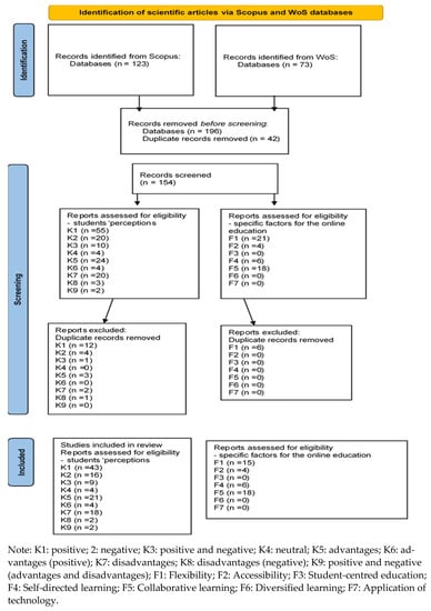
2. Materials and Methods
3. Results
3.1. Framing the Question
3.2. Identifying the Relevant Work
- Select only full versions of English scientific articles.
- Publications should be included and indexed in the Web of Science and Scopus databases.
- All selected papers should respond to the following searched terms: ‘students’ teaching—learning preferences’, ‘students’ perceptions of online education’, ‘online higher education advantages (cost/benefits, pro/cons)’, ‘online higher education disadvantages’, ‘digital learning in higher education’, ‘e-learning in higher education’, ‘emergency remote teaching’, ‘learners’ experience’, ‘self-directed learning’, ‘students digital skills’, ‘interactive teaching methods’, ‘online educational tools’, ‘teachers digital skills’, ‘online assessment’ and ‘virtual learning environments’. For online education, we also used alternative labels, such as virtual education, remote education, and digital education.
- The search criteria were connected to the title, abstract and keywords in both databases.
3.3. Assessing the Selected Quality of the Studies Meant Establishing Both Inclusion and Exclusion Criteria
3.4. Summarizing the Evidence and Interpreting the Findings
- (a)
- Positive related ones: new technologies contribution, flexibility, pedagogical quality, and sense of comfort.
- (b)
- Negative related ones: emotions, accessibility and connectivity, technical problems, unsatisfactory content, lack of social interactions and increased self-learning effort.
- (c)
4. Discussions
4.1. Positive Impacts of Online Education during Pandemics
4.2. Negative Impacts of Online Education during Pandemics
4.3. Teacher Perspectives of Online Education during Pandemics
4.4. Student Perspectives of Online Education during Pandemics
5. Conclusions
Author Contributions
Funding
Institutional Review Board Statement
Informed Consent Statement
Data Availability Statement
Conflicts of Interest
References
- Burcă-Voicu, M.I.; Cramarenco, R.E.; Dabija, D.-C. Investigating Learners’ Teaching Format Preferences during the COVID-19 Pandemic: An Empirical Investigation on an Emerging Market. Int. J. Environ. Res. Public Health 2022, 19, 11563. [Google Scholar] [CrossRef]
- Bizuneh, M.; Geremew, M. Assessing the Impact of COVID-19 Pandemic on Emerging Market Economies’ (EMEs) Sovereign Bond Risk Premium and Fiscal Solvency. East Econ. J. 2021, 47, 519–545. [Google Scholar] [CrossRef]
- Karabulut, G.; Bilgin, M.H.; Demir, E.; Doker, A.C. How pandemics affect tourism: International evidence. Ann. Tour. Res. 2020, 84, 102991. [Google Scholar] [CrossRef]
- WB. Global Economic Prospects. 2021. Available online: https://www.worldbank.org/en/publication/global-economic-prospects (accessed on 25 November 2022).
- UNESCO. Education: From Disruption to Recovery. 2021. Available online: https://en.unesco.org/covid19/educationresponse (accessed on 25 November 2022).
- UNESCO. Hybrid Education, Learning and Assessment. Eight Clues on Hybrid Education. 2021. Available online: http://www.ibe.unesco.org/en/news/hybrid-education-learning-and-assessment-hela (accessed on 15 November 2022).
- Aldhaen, F. The use of artificial intelligence in higher education—Systematic review. In COVID-19 Challenges to University Information Technology Governance; Alaali, M., Ed.; Springer: Cham, Switzerland, 2022. [Google Scholar] [CrossRef]
- WHO. COVID-19 Emergency Situations. World Health Organization. 2022. Available online: https://www.who.int/europe/emergencies/situations/covid-19 (accessed on 12 November 2022).
- Mangas-Vega, A.; Dantas, T.; Merchán Sánchez-Jara, J.; Gómez-Díaz, R. Systematic Literature Reviews in Social Sciences and Humanities: A Case Study. J. Inf. Technol. Res. 2018, 11, 1–17. [Google Scholar] [CrossRef]
- Chapman, K. Characteristics of systematic reviews in the social sciences. J. Acad. Librariansh. 2021, 47, 102396. [Google Scholar] [CrossRef]
- Glass, G.V. Primary, Secondary, and Meta-Analysis of Research. Educ. Res. 1976, 5, 3–8. [Google Scholar] [CrossRef]
- Johnson, B.T.; Eagly, A.H. Meta-Analysis of Social Personality Psychological Research. In Handbook of Research Methods in Social and Personality Psychology, 2nd ed.; Reis, H.T., Judd, C.M., Eds.; Cambridge University Press: London, UK, 2014; pp. 675–707. [Google Scholar] [CrossRef]
- Page, M.J.; McKenzie, J.E.; Bossuyt, P.M.; Boutron, I.; Hoffmann, T.C.; Mulrow, C.D.; Shamseer, L.; Tetzlaff, J.M.; Akl, E.A.; Brennan, S.E.; et al. The PRISMA 2020 statement: An updated guideline for reporting systematic reviews. Syst. Rev. 2021, 10, 89. [Google Scholar] [CrossRef] [PubMed]
- Khan, K.S.; Kunz, R.; Kleijnen, J.; Antes, G. Five Steps to Conducting a Systematic Review. J. R. Soc. Med. 2002, 96, 118–121. [Google Scholar] [CrossRef] [PubMed]
- Sun, A.; Chen, X. Online education and its effective practice: A research review. J. Inf. Technol. Educ. Res. 2016, 15, 157–190. Available online: http://www.informingscience.org/Publications/3502 (accessed on 15 November 2022). [CrossRef]
- Cheung, C.; Cable, J. Eight Principles of Effective Online Teaching: A Decade-Long Lessons Learned in Project Management Education. PM World J. A Glob. Resour. Shar. Knowl. Program Proj. Manag. 2017, VI, 1–16. Available online: http://pmworldjournal.net/article/eight-principles-effective-online-teaching/ (accessed on 15 November 2022).
- Abdelwahed, N.A.A.; Soomro, B.A. Attitudes and intentions towards the adoption of mobile learning during COVID-19: Building an exciting career through vocational education. Educ. Train. 2022. [Google Scholar] [CrossRef]
- Aloreafy, M.; Saaty, N. EFL Students’ Perceptions of Interactive Lesson Slides in Online lessons: A Study in the Saudi Context bright archive. World J. Engl. Lang. 2022, 12, 359–366. [Google Scholar] [CrossRef]
- Anwar, A.; Mansoor, H.; Faisal, D.; Khan, H.S. E-Learning amid the COVID-19 Lockdown: Standpoint of Medical and Dental Undergraduates. Pak. J. Med. Sci. 2021, 37, 217–222. [Google Scholar] [CrossRef] [PubMed]
- Barra, E.; López-Pernas, S.; Alonso, Á.; Sánchez-Rada, J.F.; Gordillo, A.; Quemada, J. Automated Assessment in Programming Courses: A Case Study during the COVID-19 Era. Sustainability 2020, 12, 7451. [Google Scholar] [CrossRef]
- Chen, J.; Huang, H.; Cohn, A.G.; Zhang, D.; Zhou, M. Machine learning-based classification of rock discontinuity trace: SMOTE oversampling integrated with GBT ensemble learning. Int. J. Min. Sci. Technol. 2021, 32, 309–322. [Google Scholar] [CrossRef]
- Dhakal, P.; Creedy, D.K.; Gamble, G.; Newnham, E.; McInnes, R. Effectiveness of an online education intervention to enhance student perceptions of Respectful Maternity Care: A quasi-experimental study. Nurse Educ. Today 2022, 114, 105405. [Google Scholar] [CrossRef]
- Elashhab, S. Attitudes and Perspectives of Saudi Female Medical Students towards Online EFL Education under COVID-19 Circumstances. Arab. World Engl. J. 2022, 2, 104–119. [Google Scholar] [CrossRef]
- Fernandez, C.J.; Ramesh, R.; Manivannan, A.S.R. Synchronous Learning and Asynchronous Learning during COVID-19 Pandemic: A Case Study in India. Asian Assoc. Open Univ. J. 2022, 17, 1–14. [Google Scholar] [CrossRef]
- Hilton, R.; Moos, C.; Barnes, C. A Comparative Analysis of Students’ Perceptions of Learning in Online versus Traditional Courses. e-J. Bus. Educ. Scholarsh. Teach. 2020, 14, 2–11. [Google Scholar]
- Huh, S.; Shen, X.; Wang, D.; Lee, K.-Y. Korean and Chinese University EFL Learners’ Perceptions of and Attitudes toward Online and Face-to-Face Lectures during COVID-19. Engl. Teach. 2022, 77, 67–92. [Google Scholar] [CrossRef]
- İnan-Karagül, B.; Şeker, M. Improving Language Learners’ Use of Self-Regulated Writing Strategies Through Screencast Feedback. SAGE Open 2021, 11. [Google Scholar] [CrossRef]
- Ivanec, P.T. The Lack of Academic Social Interactions and Students’ Learning Difficulties during COVID-19 Faculty Lockdowns in Croatia: The Mediating Role of the Perceived Sense of Life Disruption Caused by the Pandemic and the Adjustment to Online Studying. Soc. Sci. 2022, 11, 42. [Google Scholar] [CrossRef]
- Kane, J.; Ventura, A.; Yurchak, C.; Duncan, T. Disaster education for nursing students: A successful partnership with the American Red Cross. J. Prof. Nurs. 2022, 41, 119–122. [Google Scholar] [CrossRef] [PubMed]
- Kaurani, P.; Batra, K.; Rathore Hooja, H.; Banerjee, R.; Jayasinghe, R.M.; Leuke Bandara, D.; Agrawal, N.; Singh, V. Perceptions of Dental Undergraduates Towards Online Education During COVID-19: Assessment from India, Nepal and Sri Lanka. Adv. Med. Educ. Pract. 2021, 11, 1199–1210. [Google Scholar] [CrossRef]
- Kayyali, R.; Wells, J.; Rahmtullah, N.; Tahsin, A.; Gafoor, A.; Harrap, N.; Nabhani-Gebara, S. Development and evaluation of a serious game to support learning among pharmacy and nursing students. Curr. Pharm. Teach. Learn. 2021, 13, 998–1009. [Google Scholar] [CrossRef]
- Khan, M.A.; Kamal, T.; Illiyan, A.; Asif, M. School Students’ Perception and Challenges towards Online Classes during COVID-19 Pandemic in India: An Econometric Analysis. Sustainability 2021, 13, 4786. [Google Scholar] [CrossRef]
- Kim, J.; Merrill, K.; Xu, K.; Sellnow, D.D. My Teacher Is a Machine: Understanding Students’ Perceptions of AI Teaching Assistants in Online Education. Int. J. Hum. -Comput. Interact. 2020, 36, 1902–1911. [Google Scholar] [CrossRef]
- Landrum, B. Examining students’ confidence to learn online, self-regulation skills and perceptions of satisfaction and usefulness of online classes. Online Learn. 2020, 24, 128–146. [Google Scholar] [CrossRef]
- Laurens-Arredondo, L. Mobile augmented reality adapted to the ARCS model of motivation: A case study during the COVID-19 pandemic. Educ. Inf. Technol. 2022, 27, 7927–7946. [Google Scholar] [CrossRef]
- Lebens, M. The Pandemic’s Impact on Underserved Students’ Technology Access and Course Progress: A Case Study. Int. J. Online Pedagog. Course Des. (IJOPCD) 2022, 12, 1–17. [Google Scholar] [CrossRef]
- Mao, H.; Wang, L.; Qin, M.; Wei, J.; Liu, S. Exploring the perceptions of the educational environment in online acupuncture learning during the COVID-19 pandemic. Acupunct. Med. 2022, 40, 186–190. [Google Scholar] [CrossRef]
- Mayordomo, R.M.; Espasa, A.; Guasch, T.; Martínez-Melo, M. Perception of online feedback and its impact on cognitive and emotional engagement with feedback. Educ. Inf. Technol. 2022, 27, 7947–7971. [Google Scholar] [CrossRef]
- Metz, C.J.; Metz, M.J. The benefits of incorporating active learning into online, asynchronous coursework in dental physiology. Adv. Physiol. Educ. 2022, 46, 11–20. [Google Scholar] [CrossRef] [PubMed]
- Moorberg, C.J.; Howe, S.; Donnelly, K.J.; Min, D. Perceptions of education during COVID-19 among agronomy, soil, and environmental science students. Nat. Sci. Educ. 2021, 50, e20055. [Google Scholar] [CrossRef]
- Okyar, H. University-level EFL students’ views on learning English online: A qualitative study. Educ. Inf. Technol. 2022, 1–28. [Google Scholar] [CrossRef] [PubMed]
- Pokryszko-Dragan, A.; Marschollek, K.; Nowakowska-Kotas, M.; Aitken, G. What can we learn from the online learning experiences of medical students in Poland during the SARS-CoV-2 pandemic? BMC Med. Educ. 2021, 21, 450. [Google Scholar] [CrossRef]
- Robson, K.; Mills, A.J. Teaching, Fast and Slow: Student Perceptions of Emergency Remote Education. J. Mark. Educ. 2022, 44, 203–216. [Google Scholar] [CrossRef]
- Ryan, E.J.; Jackson, D.; Woods, C.; Usher, K.J. Pre-registration nursing students’ perceptions and experience of intentional rounding: A cross-sectional study. Nurse Educ. Pract. 2020, 42, 102691. [Google Scholar] [CrossRef] [PubMed]
- Sánchez-Gelabert, A.; Valente, R.; Duart, J.M. Profiles of online students and the impact of their university experience. Int. Rev. Res. Open Distrib. Learn. 2020, 21, 230–249. [Google Scholar] [CrossRef]
- Sarkar, S.S.; Das, P.; Rahman, M.M.; Zobaer, M.S. Perceptions of public university students towards online classes during COVID-19 pandemic in Bangladesh. Front. Educ. 2021, 6, 703723. [Google Scholar] [CrossRef]
- Shawaqfeh, M.S.; Al Bekairy, A.M.; Al-Azayzih, A.; Alkatheri, A.A.; Qandil, A.M.; Obaidat, A.A.; Al Harbi, S.; Muflih, S.M. Pharmacy Students Perceptions of Their Distance Online Learning Experience During the COVID-19 Pandemic: A Cross-Sectional Survey Study. J. Med. Educ. Curric. Dev. 2020, 7, 1–9. [Google Scholar] [CrossRef]
- Shree, T.; Juneja, K.; Srivastava, S.; Mahajan, H. Perceptions of Undergraduate Medical Students towards Online Learning in a Medical College in the National Capital Region (NCR), India. Indian J. Community Health 2022, 34, 207–212. [Google Scholar] [CrossRef]
- Suzuki, T.; Murayama, A.; Kotera, Y.; Bhandari, D.; Senoo, Y.; Tani, Y.; Harada, K.; Kawamoto, A.; Sato, S.; Sawano, T.; et al. Cross-Country Student Perceptions about Online Medical Education during the COVID-19 Pandemic. Int. J. Environ. Res. Public Health 2022, 19, 2840. [Google Scholar] [CrossRef] [PubMed]
- Tiedt, J.A.; Owens, J.M.; Boysen, S. The effects of online course duration on graduate nurse educator student engagement in the community of inquiry. Nurse Educ. Pract. 2021, 55, 103164. [Google Scholar] [CrossRef] [PubMed]
- Tóth, T.; Virágh, R.; Hallová, M.; Stuchlý, P.; Hennyeyová, K. Digital Competence of Digital Native Students as Prerequisite for Digital Transformation of Education. Int. J. Emerg. Technol. Learn. 2022, 17, 31791. [Google Scholar] [CrossRef]
- Uspabayeva, A.; Sattarova, A.; Mirza, N.; Kubeeva, M.; Abdualievich, Z.K.; Rysbayeva, G. Evaluation of High School Students’ New Trends in Education: Internet of Things. Int. J. Emerg. Technol. Learn. 2022, 17, 32183. [Google Scholar] [CrossRef]
- Van Wig, A.; Yang, S.; Bollinger, C.B.; Chen, X.; Karkar-Esperat, T.; Pole, K.; Wilson, N. Simplicity is Key: Literacy Graduate Students’ Perceptions of Online Learning. Online Learn. 2022, 26, 2607. [Google Scholar] [CrossRef]
- Wang, C.; Wang, W.; Wu, H. Association between medical students’ prior experiences and perceptions of formal online education developed in response to COVID-19: A cross-sectional study in China. BMJ Open 2020, 10, e041886. [Google Scholar] [CrossRef]
- Williams, L.; Martinasek, M.; Carone, K.; Sanders, S. High school students’ perceptions of traditional and online health and Physical Education courses. J. Sch. Health 2020, 90, 234–244. [Google Scholar] [CrossRef]
- Alnajjar, K.; Al-Qeyam, F.R.; Awwad, A.; Alkhutaba, M. Students’ Perceptions of Online Foreign Language Learning during the Corona Virus. World J. Engl. Lang. 2022, 12, 155–165. [Google Scholar] [CrossRef]
- Mshayisa, V.V. Student perceptions of collaborative and blended learning in food science and technology. Int. J. Food Stud. 2022, 11, 1–18. [Google Scholar] [CrossRef]
- Choi, J.; Bove, L.A.; Tarte, V.; Choi, W.J. Impact of Simulated Electronic Health Records on Informatics Competency of Students in Informatics Course. Healthc. Inform. Res. 2021, 27, 67–72. [Google Scholar] [CrossRef] [PubMed]
- Birtus, M.; Lăzăroiu, G. The Neurobehavioral Economics of the COVID-19 Pandemic: Consumer Cognition, Perception, Sentiment, Choice, and Decision-Making. Anal. Metaphys. 2021, 20, 89–101. [Google Scholar] [CrossRef]
- Rydell, L.; Suler, P. Underlying Values that Motivate Behavioral Intentions and Purchase Decisions: Lessons from the COVID-19 Pandemic. Anal. Metaphys. 2021, 20, 116–129. [Google Scholar] [CrossRef]
- Sârbu, M.A.; Mirea, C.N.; Mihai, M.; Nistoreanu, P.; Dadfar, E. Teachers’ and Professors’ Perception of Telework in Romania. Amfiteatru Econ. 2021, 23, 736–751. [Google Scholar] [CrossRef]
- Pocol, C.B.; Stanca, L.; Dabija, D.-C.; Pop, I.D.; Mișcoiu, S. Knowledge Co-creation and Sustainable Education in the Labor Market-Driven University–Business Environment. Front. Environ. Sci. 2022, 10, 781075. [Google Scholar] [CrossRef]
- Hollnagel, G. The Benefits and Limitations of Using Online Technology in Education: Students’ and Instructors’ Perceptions on Usefulness and Task-technology-fit. Bachelor Thesis, Dresden University of Technology, Dresden, Germany, 2013. [Google Scholar] [CrossRef]
- Su, Y.; Li, M. Applying Technology Acceptance Model in Online Entrepreneurship Education for New Entrepreneurs. Front. Psychol. 2021, 12, 713239. [Google Scholar] [CrossRef] [PubMed]
- Lazrina, C.S.; Lazim-Ismail, N.; Tazilah, M.D. Application of Technology Acceptance Model (Tam) Towards Online Learning During COVID-19 Pandemic: Accounting Students Perspective. Int. J. Bus. Econ. Law 2021, 24, 13–20. Available online: https://www.ijbel.com/wp-content/uploads/2021/02/IJBEL24_507.pdf (accessed on 15 November 2022).
- Han, J.H.; Sa, H.J. Acceptance of and satisfaction with online educational classes through the technology acceptance model (TAM): The COVID-19 situation in Korea. Asia Pacific Educ. Rev. 2022, 23, 403–415. [Google Scholar] [CrossRef]
- Tukiran, M.; Sunaryo, W.; Wulandari, D.; Herfina, H. Optimizing Education Processes During the COVID-19 Pandemic Using the Technology Acceptance Model. Front. Educ. 2022, 7, 903572. [Google Scholar] [CrossRef]
- Zuo, M.; Hu, Y.; Luo, H.; Ouyang, H.; Zhang, Y. K-12 students’ online learning motivation in China: An integrated model based on community of inquiry and technology acceptance theory. Educ. Inf. Technol. 2022, 27, 4599–4620. [Google Scholar] [CrossRef]
- Bast, F. Perception of Online Learning Among Students from India Set Against the Pandemic. Front. Educ. 2021, 6, 705013. [Google Scholar] [CrossRef]
- Parrish, C.W.; Guffey, S.K.; Williams, D.S.; Estis, J.M.; Lewis, D. Fostering Cognitive Presence, Social Presence and Teaching Presence with Integrated Online—Team-Based Learning. TechTrends 2021, 65, 473–484. [Google Scholar] [CrossRef]
- Chen, Z.; Jiao, J.; Hu, K. Formative Assessment as an Online Instruction Intervention: Student Engagement, Outcomes, and Perceptions. Int. J. Distance Educ. Technol. 2021, 19, 50–65. [Google Scholar] [CrossRef]
- Van Wart, M.; Ni, A.; Medina, P.; Canelon, J.; Kordrostami, M.; Zhang, J.; Liu, Y. Integrating students’ perspectives about online learning: A hierarchy of factors. Int. J. Educ. Technol. High. Educ. 2020, 17, 1–22. [Google Scholar] [CrossRef] [PubMed]
- Chandra, S.; Ranjan, A.; Chowdhary, N. Online Hospitality and Tourism Education-Issues and Challenges. Tour. Int. Interdiscip. J. 2022, 70, 298–316. [Google Scholar] [CrossRef]
- Almahasees, Z.; Mohsen, K.; Amin, M.O. Faculty’s and Students’ Perceptions of Online Learning During COVID-19. Front. Educ. 2021, 6, 638470. [Google Scholar] [CrossRef]
- Kundu, A.; Bej, T. COVID-19 response: Students’ readiness for shifting classes online. Corp. Gov. 2021, 21, 1250–1270. [Google Scholar] [CrossRef]
- Tekkol, A.; Demirel, M. An Investigation of Self-Directed Learning Skills of Undergraduate Students. Front. Psychol. 2018, 9, 2324. [Google Scholar] [CrossRef] [PubMed]
- Virtanen, P.; Niemi, H.M.; Nevgi, A. Active Learning and Self-Regulation Enhance Student Teachers’ Professional Competences. Aust. J. Teach. Educ. 2017, 42, 1–20. Available online: http://ro.ecu.edu.au/ajte/vol42/iss12/1 (accessed on 10 November 2022). [CrossRef]
- Seal, C.; Boyatziz, R.; Bailey, J. Fostering Emotional and Social Intelligence in Organizations. Organ. Manag. J. 2006, 3, 190–209. [Google Scholar] [CrossRef]
- Alghamdi, S.; Ali, M. Pharmacy Students’ Perceptions and Attitudes towards Online Education during COVID-19 Lockdown in Saudi Arabia. Pharmacy 2021, 9, 169. [Google Scholar] [CrossRef]
- Giannoulas, A.; Stampoltzis, A.; Kounenou, K.; Kalamatianos, A. How Greek Students Experienced Online Education during COVID-19 Pandemic in Order to Adjust to a Post-Lockdown Period. Electron. J. e-Learn. 2021, 19, 222–232. [Google Scholar] [CrossRef]
- Farias Bezerra, H.K.; Passos, K.K.M.; Leonel, A.C.L.D.S.; Ferreti Bonan, P.R.; Martelli-Júnior, H.; Machado, R.A.; Ramos-Perez, F.M.M.; Perez, D.E.D.C. The impact of the COVID-19 pandemic on undergraduate and graduate dental courses in Brazil. Work 2021, 70, 31–39. [Google Scholar] [CrossRef]
- Lăzăroiu, G.; Harrison, A. Internet of Things Sensing Infrastructures and Data-driven Planning Technologies in Smart Sustainable City Governance and Management. Geopolit. Hist. Int. Relat. 2021, 13, 23–36. [Google Scholar] [CrossRef]
- Smith, A.; Machova, V. Consumer Tastes, Sentiments, Attitudes, and Behaviors Related to COVID-19. Anal. Metaphys. 2021, 20, 145–158. [Google Scholar] [CrossRef]
- Mosleh, S.M.; Shudifat, R.M.; Dalky, H.F.; Almalik, M.M.; Alnajar, M.K. Mental health, learning behaviour and perceived fatigue among university students during the COVID-19 outbreak: A cross-sectional multicentric study in the UAE. BMC Psychol. 2022, 10, 47. [Google Scholar] [CrossRef] [PubMed]
- Nemțeanu, S.M.; Dabija, D.C.; Stanca, L. The Influence of Teleworking on Performance and Employee‘s Counterproductive Behaviour. Amfiteatru Econ. 2021, 23, 601–619. [Google Scholar] [CrossRef]
- Castro-Bedriñana, J.; Chirinos-Peinado, D.; Castro-Chirinos, G. Emergency Remote Education Satisfaction during COVID-19 at a Public University in Central Andes, Peru with Low Resources and Little Online Teaching Experience. Educ. Sci. Theory Pract. 2022, 22, 46–61. [Google Scholar] [CrossRef]
- Kang, Y.J.; Kim, D.H. Pre-clerkship students’ perception and learning behavior of online classes during coronavirus disease 2019 pandemic. Korean J. Med. Educ. 2021, 33, 125–131. [Google Scholar] [CrossRef]
- Merkle, A.C.; Ferrell, L.K.; Ferrell, O.C.; Hair, J.F. Evaluating E-Book Effectiveness and the Impact on Student Engagement. J. Mark. Educ. 2022, 44, 54–71. [Google Scholar] [CrossRef]
- Ni, A.Y.; van Wart, M.; Medina, P.; Collins, K.; Silvers, E.; Pei, H. A profile of MPA students’ perceptions of online learning: What MPA students value in online education and what they think would improve online learning experiences. J. Public Aff. Educ. 2021, 27, 50–71. [Google Scholar] [CrossRef]
- Zhao, S. On Digital and Literacy Education of European Universities during the Epidemic Period. 2022. Available online: https://www.shs-conferences.org/articles/shsconf/pdf/2022/10/shsconf_iteme2022_01050.pdf (accessed on 15 November 2022).
- Chaka, C. Higher education institutions and the use of online instruction and online tools and resources during the COVID-19 outbreak—An online review of selected U.S. and SA’s universities. Res. Sq. 2020; preprint. [Google Scholar] [CrossRef]
- Chakraborty, P.; Mittal, P.; Gupta, M.S.; Yadav, S.; Arora, A. Opinion of students on online education during the COVID-19 pandemic. Hum. Behav. Emerg. Technol. 2020, 3, 357–365. [Google Scholar] [CrossRef]
- Kansal, A.K.; Gautam, J.; Chintalapudi, N.; Jain, S.; Battineni, G. Google Trend Analysis and Paradigm Shift of Online Education Platforms during the COVID-19 Pandemic. Infect. Dis. Rep. 2021, 13, 418–428. [Google Scholar] [CrossRef]
- UNESCO. National Response to COVID-19 of Universities. 2022. Available online: https://en.unesco.org/covid19/educationresponse/nationalresponses (accessed on 30 November 2022).
- Coman, C.; Țîru, L.G.; Meseșan-Schmitz, L.; Stanciu, C.; Bularca, M.C. Online Teaching and Learning in Higher Education during the Coronavirus Pandemic: Students’ Perspective. Sustainability 2020, 12, 10367. [Google Scholar] [CrossRef]
- Konkin, A.; Dronova, S.; Tretyakova, G.; Eduardovich Bermudez-Alekina, A.; Kotenko, V. Prospects of using innovations in post-pandemic higher education. SHS Web Conf. 2021, 127, 01001. [Google Scholar] [CrossRef]
- Prasetyo, A.; Irvan, S.; Atmam, A. Learning Innovations in Physical Education, Sports, and Health During the COVID-19 Pandemic. Indones. J. Res. Educ. Rev. 2022, 1, 269–277. Available online: https://etdci.org/journal/ijrer/article/view/280 (accessed on 18 November 2022).
- Garcia-Morales, V.; Garrido-Moreno, A.; Martin-Rojas, R. The Transformation of Higher Education After the COVID Disruption: Emerging Challenges in an Online Learning Scenario. Front. Psychol. 2021, 12, 616059. [Google Scholar] [CrossRef] [PubMed]
- Reimers, F.; Marmolejo, F. Conclusions: What innovations resulted from university–school collaborations during the COVID-19 pandemic? In University and School Collaboration in Pandemic; Reimers, F., Marmolejo, F., Eds.; Springer: Cham, Switzerland, 2022; pp. 333–357. Available online: https://link.springer.com/chapter/10.1007/978–3-030–82159-3_22 (accessed on 15 November 2022).
- Zahidi, S. We need a global reskilling revolution—Here’s why. 2020. Available online: https://www.weforum.org/agenda/2020/01/reskilling-revolution-jobs-future-skills (accessed on 15 November 2022).
- Hopkins, E.; Potcovaru, A.-M. Consumer Attitudes, Values, Needs, and Expectations Due to COVID-19. Anal. Metaphys. 2021, 20, 202–215. [Google Scholar] [CrossRef]
- Lăzăroiu, G. Is There an Absence of Capability in Sustainable Development in Universities? Educ. Philos. Theory 2017, 49, 1305–1308. [Google Scholar] [CrossRef]
- Chen, J.; Chen, Y.; Cohn, A.G.; Huang, H.; Man, J. A novel image-based approach for interactive characterization of rock fracture spacing in a tunnel face. J. Rock Mech. Geotech. Eng. 2022, 14, 1077–1088. [Google Scholar] [CrossRef]
- Lăzăroiu, G. Besley on Foucault’s Discourse of Education. Educ. Philos. Theory 2013, 45, 821–832. [Google Scholar] [CrossRef]
- Watson, R.; Cug, J. The Impact of the COVID-19 Pandemic on Consumer Satisfaction Judgments, Behavior Patterns, and Purchase Intentions. Anal. Metaphys. 2021, 20, 174–186. [Google Scholar] [CrossRef]
- Kiss, A.; Popp, J.; Oláh, J.; Lakner, Z. The Reform of School Catering in Hungary: Anatomy of a Health-Education Attempt. Nutrients 2019, 11, 716. [Google Scholar] [CrossRef] [PubMed]
- Rubilar Vargas, N.; Oros, L.B. Stress and Burnout in Teachers During Times of Pandemic. Front. Psychol. 2021, 12, 756007. [Google Scholar] [CrossRef]
- Minihan, E.; Adamis, D.; Dunleavy, M.; Martin, A.; Gavin, B.; McNicholas, F. COVID-19 related occupational stress in teachers in Ireland. Int. J. Educ. Res. Open 2022, 3, 100114. [Google Scholar] [CrossRef]
- Butnaru, G.I.; Niță, V.; Anichiti, A.; Brînză, G. The Effectiveness of Online Education during COVID 19 Pandemic—A Comparative Analysis between the Perceptions of Academic Students and High School Students from Romania. Sustainability 2021, 13, 5311. [Google Scholar] [CrossRef]
- Dinu, V.; Câmpian, V.; Vasiliu, C.; Tăchiciu, L.; Dabija, D.C. Ethics and Integrity in the Context of Economic Research Within Doctoral Schools. Amfiteatru Econ. 2022, 24, 912–933. [Google Scholar] [CrossRef]
- Lăzăroiu, G.; Adams, C. Viral Panic and Contagious Fear in Scary Times: The Proliferation of COVID-19 Misinformation and Fake News. Anal. Metaphys. 2020, 19, 80–86. [Google Scholar] [CrossRef]
- Lăzăroiu, G.; Horak, J.; Valaskova, K. Scaring Ourselves to Death in the Time of COVID-19: Pandemic Awareness, Virus Anxiety, and Contagious Fear. Linguist. Philos. Investig. 2020, 19, 114–120. [Google Scholar] [CrossRef]
- Stanca, L.; Dabija, D.C.; Voj, E. Community of Practice: Converting IT Graduate Students into Specialists via Professional Knowledge Sharing. Kybernetes 2022, 51, 557–581. [Google Scholar] [CrossRef]







| Inclusion Criteria | Exclusion Criteria |
|---|---|
|
|
| Factors | References |
|---|---|
| K6: advantages (within positive student perceptions of online education) | Abdelwahed et al. [17]; Aloreafy & Saaty [18]; Anwar et al. [19]; Barra et al. [20]; Chen et al. [21]; Dhakal et al. [22]; Elashhab [23]; Fernandez et al. [24]; Hilton et al. [25]; Huh et al. [26]; İnan-Karagül & Şeker [27]; Ivanec [28]—‘benefits and limits’; Kane et al. [29]; Kaurani et al. [30]; Kayyali et al. [31]; Khan et al. [32]; Kim et al. [33]; Landrum [34]; Laurens-Arredondo [35]; Lebens [36]; Mao et al. [37]; Mayordomo et al. [38]; Metz & Metz [39]; Moorberg et al. [40]; Okyar [41]; Pokryszko-Dragan et al. [42]; Robson & Mills [43]; Ryan et al. [44]; Sánchez-Gelabert et al. [45]; Sarkar et al. [46]; Shawaqfeh et al. [47]; Shree et al. [48]; Suzuki et al. [49]; Tiedt et al. [50]; Tóth et al. [51]; Uspabayeva et al. [52]—‘benefits and limits’; Van Wig et al. [53]; Wang et al. [54]; Williams et al. [55]. |
| F1: Flexibility (6.13%) | Alnajjar et al. [56]; Barra et al. [20]; Huh et al. [26]; Kane et al. [29]; Shawaqfeh et al. [47]; Suzuki et al. [49]. |
| F2: Accessibility (3.6%) | Anwar et al. [19]; Khan et al. [32]; Moorberg et al. [40]. |
| F3: Student-centred education (2.4%) | Landrum [34]; Mshayisa [57]. |
| F4 self-directed learning (10.22%) | Abdelwahed et al. [17]; Alnajjar et al. [56]; Fernandez et al. [24]— ‘more autonomy’; Hilton et al. [25]— ‘self-regulated learning’; İnan-Karagül & Şeker [27]— ‘self-regulated learning’; Ivanec [28]— ‘difficulties for self-regulated learning’; Landrum [34]—‘self-regulated learning’; Mayordomo et al. [38]; Mshayisa [57]; Pokryszko-Dragan et al. [42]—‘difficulties for self-regulated learning’. |
| F5 collaborative learning (4.9%) | Kane et al. [29]; Mshayisa [57]; Tiedt et al. [50]; Van Wig et al. [53]. |
| F6 diversified learning (3.7%) | Fernandez et al. [24]— ‘balanced learning’; Mshayisa [57]; Tiedt et al. [50]. |
| F7 Application of technology application (18.39%) | Abdelwahed et al. [17]; Aloreafy & Saaty [18]; Anwar et al. [19]; Barra et al. [20]; Choi et al. [58]; Elashhab [23]; Hilton et al. [25] ‘technical skills, technical support’; Kayyali et al. [31]; Kim et al. [33]; Landrum [34]; Lebens [36]; Metz & Metz [39]; Mshayisa [57]; Okyar [41]; Robson & Mills [43]—‘technical skills, technical support’; Sarkar et al. [46]; Tóth et al. [51]; Van Wig et al. [53]; Wang et al. [54]. |
| Reference/Source | Research Problem/Scope | Qualitative/Quantitative Method | Main Results |
|---|---|---|---|
| Laurens-Arredondo [35] | The relationship between motivation and meaningful learning for university students. | Quantitative | Positive relationship between the participation in Mobile Augmented Reality (mRA) experiences and the meaningful learning, given the high degree of acceptance and stimulation of motivation. |
| Bast [69] | Student perception towards online learning (technology-receptiveness). | Quantitative | Receptiveness towards online learning significantly higher for students from urban areas compared with rural areas. |
| Parrish et al. [70] | Student perceptions of an online team-based learning course design | Quantitative | Both positive (increased learning, efficient teamwork, and instructor’s guidelines) and negative (significant workload, time-consuming activities) perceptions of online tools. |
| Chen [71] | Student engagement, learning outcome and student perceptions of an online courses | Quantitative | Students engaged themselves actively in all the online learning activities and had gained high scores in all tasks, quizzes, and tests. In addition, students held positive perceptions towards the formative assessment. |
| Kim et al. [33] | Student perceptions about artificial intelligence (AI) teaching assistants in higher education by use of an online survey. | Quantitative | Perceived usefulness of an AI teaching assistant and perceived ease of communication with an AI teaching assistant |
| Van Wart et al. [72] | Critical success factors for online learning from the students’ perspective and then determines their hierarchical significance. | Quantitative | Students embracing online courses on their own merits manifested higher relevance for these factors, while students preferring face-to-face manifested lower. |
| Landrum [34] | Student confidence regarding their ability to use online learning platforms, utilize self-regulation strategies and their confidence in their ability to learn in online classes | Quantitative | Exploring student purposes and reasons for taking online classes are relevant for assessing evaluations of online classes. |
| Uspabayeva et al. [52] | Student perceptions of the Internet of Things (IoT) in the evaluation of new trends in education. | Qualitative | Positive opinion about the use of IoT applications in education. |
| Chandra et al. [73] | Students’ apprehensions, satisfaction and experience concerning online hospitality and tourism education (HTE) | Combination of qualitative and quantitative | The importance of practical labs and instructions sessions for students; satisfaction level. |
| Almahasees et al. [74] | Factors affecting the adoption of digital technologies in developing countries | Combination of qualitative and quantitative | Adoption related factors: lack of ICT infrastructure, lack of technical and managerial support and lack of computers and e-learning knowledge among facilitators. |
| Kundu & Bej [75] | Indian student perception of readiness for sudden shift to online education | Combination of qualitative and quantitative | Students were neither satisfied nor ready for this sudden shift toward online education rather they felt fear, uncertainties, and several challenges due to digital divide |
| Reference | Positive Related Factors | Negative Related Factors |
|---|---|---|
| Laurens-Arredondo [35] | new technologies | accessibility and connectivity |
| Kim et al. [33] | ||
| Mayordomo et al. [38] | feedback as a learning tool | emotions, reduced feedback |
| Fernandez et al. [24] | feedback related to synchronous and asynchronous activities | |
| Kayyali et al. [31] | feedback | |
| Lebens [36] | technical skills progress | accessing technology |
| Suzuki et al. [49] | time-flexibility upgraded digital skills flexibility | commuting time to school and associated stress accessibility and a lack of digital skills unstandardized teaching skills |
| Pokryszko-Dragan et al. [42] | time flexibility enhanced pedagogical quality a sense of comfort computer competences | accessibility unsatisfactory content lack of social interactions |
| Moorberg et al. [40] | flexible working hours | accessibility and connectivity increased self-learning effort |
| Reference | Synchronous Activities | Asynchronous Activities | Digital Platforms Analysed |
|---|---|---|---|
| Zhao [90] | X Google Hangouts X | X Google Classroom X X | Google, Microsoft Teams, Moodle Skype |
| Chaka [91] | X | Microsoft Teams, Moodle Zoom | |
| Chakraborty et al. [92] | X | Google Meet, Zoom, Microsoft Teams | |
| Kansal et al. [93] | X | Microsoft Teams, Google Classroom, Zoom, WebEx | |
| UNESCO [94] | X | Microsoft Teams, Moodle Zoom |
Disclaimer/Publisher’s Note: The statements, opinions and data contained in all publications are solely those of the individual author(s) and contributor(s) and not of MDPI and/or the editor(s). MDPI and/or the editor(s) disclaim responsibility for any injury to people or property resulting from any ideas, methods, instructions or products referred to in the content. |
© 2023 by the authors. Licensee MDPI, Basel, Switzerland. This article is an open access article distributed under the terms and conditions of the Creative Commons Attribution (CC BY) license (https://creativecommons.org/licenses/by/4.0/).
Share and Cite
Cramarenco, R.E.; Burcă-Voicu, M.I.; Dabija, D.-C. Student Perceptions of Online Education and Digital Technologies during the COVID-19 Pandemic: A Systematic Review. Electronics 2023, 12, 319. https://doi.org/10.3390/electronics12020319
Cramarenco RE, Burcă-Voicu MI, Dabija D-C. Student Perceptions of Online Education and Digital Technologies during the COVID-19 Pandemic: A Systematic Review. Electronics. 2023; 12(2):319. https://doi.org/10.3390/electronics12020319
Chicago/Turabian StyleCramarenco, Romana Emilia, Monica Ioana Burcă-Voicu, and Dan-Cristian Dabija. 2023. "Student Perceptions of Online Education and Digital Technologies during the COVID-19 Pandemic: A Systematic Review" Electronics 12, no. 2: 319. https://doi.org/10.3390/electronics12020319
APA StyleCramarenco, R. E., Burcă-Voicu, M. I., & Dabija, D.-C. (2023). Student Perceptions of Online Education and Digital Technologies during the COVID-19 Pandemic: A Systematic Review. Electronics, 12(2), 319. https://doi.org/10.3390/electronics12020319
