Evidence Network Inference Recognition Method Based on Cloud Model
Abstract
1. Introduction
2. Theoretical Foundations of Evidence Network
2.1. DS Evidence Theory
2.2. Evidential Network
3. Structural Modeling of Multi-Level Target Intent Recognition Evidence Network
3.1. Evidence Network Structure Modeling
3.2. Belief Generation Based on a Cloud Model
3.2.1. Gaussian Cloud Model
3.2.2. A Method of Belief Generation Based on Cloud Model
3.3. Construction of Evidence Network Parameters
3.4. The Method of Evidence Network Inference
4. The Illustrative Example
4.1. Constructing Evidence Network
4.2. Cloud Fuzzy Belief Generation
4.3. Conditional Belief Parameter
4.4. Evidence Network Reasoning Based on Conditional Belief Parameters
4.5. Comparative Experimental Analysis
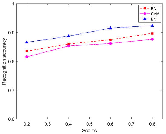
4.5.1. Analysis of Accuracy
4.5.2. Analysis of Sensitivity
5. Conclusions
Author Contributions
Funding
Conflicts of Interest
References
- Xu, X.; Zheng, J.; Yang, J.B.; Xu, D.L.; Chen, Y.W. Data classification using evidence reasoning rule. Knowl. Based Syst. 2017, 116, 144–151. [Google Scholar] [CrossRef]
- Yang, J.B.; Xu, D.L. Evidential reasoning rule for evidence combination. Artif. Intell. 2013, 205, 1–29. [Google Scholar] [CrossRef]
- Deng, X.; Jiang, W. Dependence assessment in human reliability analysis using an evidential network approach extended by belief rules and uncertainty measures. Ann. Nucl. Energy 2018, 117, 183–193. [Google Scholar] [CrossRef]
- Shenoy, P.P. Binary join trees for computing marginals in the Shenoy-Shafer architecture. Int. J. Approx. Reason. 1997, 17, 239–263. [Google Scholar] [CrossRef]
- Rahman, M.; Islam, M.Z. Missing value imputation using a fuzzy clustering-based EM approach. Knowl. Inf. Syst. 2016, 46, 389–422. [Google Scholar] [CrossRef]
- Mi, J.; Lu, N.; Li, Y.F.; Huang, H.Z.; Bai, L. An evidential network-based hierarchical method for system reliability analysis with common cause failures and mixed uncertainties. Reliab. Eng. Syst. Saf. 2022, 220, 108295. [Google Scholar] [CrossRef]
- Zuo, L.; Xiahou, T.; Liu, Y. Reliability assessment of systems subject to interval-valued probabilistic common cause failure by evidential networks. J. Intell. Fuzzy Syst. 2019, 36, 3711–3723. [Google Scholar] [CrossRef]
- Xiao, F. EFMCDM: Evidential fuzzy multicriteria decision making based on belief entropy. IEEE Trans. Fuzzy Syst. 2019, 28, 1477–1491. [Google Scholar] [CrossRef]
- Chang, L.L.; Zhou, Z.J.; Chen, Y.W.; Liao, T.J.; Hu, Y.; Yang, L.H. Belief rule base structure and parameter joint optimization under disjunctive assumption for nonlinear complex system modeling. IEEE Trans. Syst. Man Cybern. Syst. 2017, 48, 1542–1554. [Google Scholar] [CrossRef]
- Zhou, T.; Chen, M.; Wang, Y.; He, J.; Yang, C. Information entropy-based intention prediction of aerial targets under uncertain and incomplete information. Entropy 2020, 22, 279. [Google Scholar] [CrossRef]
- Simon, C.; Weber, P.; Evsukoff, A. Bayesian networks inference algorithm to implement Dempster Shafer theory in reliability analysis. Reliab. Eng. Syst. Saf. 2008, 93, 950–963. [Google Scholar] [CrossRef]
- Simon, C.; Weber, P. Evidential networks for reliability analysis and performance evaluation of systems with imprecise knowledge. IEEE Trans. Reliab. 2009, 58, 69–87. [Google Scholar] [CrossRef]
- Dempster, A.P. Upper and lower probabilities induced by a multivalued mapping. Ann. Math. Stat. 1967, 38, 325–339. [Google Scholar] [CrossRef]
- Shafer, G. A Mathematical Theory of Evidence; Princeton University Press: Princeton, NJ, USA, 1976; Volume 42. [Google Scholar]
- Machot, F.A.; Mayr, H.C.; Ranasinghe, S. A hybrid reasoning approach for activity recognition based on answer set programming and dempster–shafer theory. In Recent Advances in Nonlinear Dynamics and Synchronization; Springer: Cham, Switzerland, 2018; pp. 303–318. [Google Scholar]
- Jiang, W.; Han, D.; Fan, X.; Duanmu, D. Research on Threat Assessment Based on Dempster–Shafer Evidence Theory. In Green Communications and Networks; Springer: Dordrecht, The Netherlands, 2012; pp. 975–984. [Google Scholar]
- Yang, Y.T.; Yang, J.; Li, J.G. Research on air target tactical intention recognition based on EMEBN. Fire Control Command Control 2022, 47, 163–170. [Google Scholar]
- Xu, J.P.; Zhang, L.F.; Han, D.Q. Air target intention recognition based on fuzzy inference. Command. Inf. Syst. Technol. 2020, 11, 44–48. [Google Scholar]
- Li, Z.W.; Li, S.Q.; Peng, M.Y. Air combat intention recognition method of target based on LSTM improved by attention mechanism. Electron. Opt. Control 2022. Available online: https://kns.cnki.net/kcms/detail/41.1227.TN.20220321.1355.002.html (accessed on 3 January 2023).
- Xue, J.; Zhu, J.; Xiao, J.; Tong, S.; Huang, L. Panoramic convolutional long short-term memory networks for combat intension recognition of aerial targets. IEEE Access 2020, 8, 183312–183323. [Google Scholar] [CrossRef]
- Chen, Y.M.; Li, C.Y. Simulation of target tactical intention recognition based on knowledge map. Comput. Simul. 2019, 36, 1–4. [Google Scholar]
- Kammouh, O.; Gardoni, P.; Cimellaro, G.P. Probabilistic framework to evaluate the resilience of engineering systems using Bayesian and dynamic Bayesian networks. Reliab. Eng. Syst. Saf. 2020, 198, 106813. [Google Scholar] [CrossRef]
- Bougofa, M.; Taleb-Berrouane, M.; Bouafia, A.; Baziz, A.; Kharzi, R.; Bellaouar, A. Dynamic availability analysis using dynamic Bayesian and evidential networks. Process Saf. Environ. Prot. 2021, 153, 486–499. [Google Scholar] [CrossRef]
- Bougofa, M.; Bouafia, A.; Bellaouar, A. Availability Assessment of Complex Systems under Parameter Uncertainty using Dynamic Evidential Networks. Int. J. Perform. Eng. 2020, 16, 510–519. [Google Scholar] [CrossRef]
- Lin, Z.; Xie, J. Research on improved evidence theory based on multi-sensor information fusion. Sci. Rep. 2021, 11, 9267. [Google Scholar] [CrossRef] [PubMed]
- Xu, H.; Smets, P. Reasoning in evidential networks with conditional belief functions. Int. J. Approx. Reason. 1996, 14, 155–185. [Google Scholar] [CrossRef]
- Benavoli, A.; Ristic, B.; Farina, A.; Oxenham, M.; Chisci, L. An approach to threat assessment based on evidential networks. In Proceedings of the 2007 IEEE 10th International Conference on Information Fusion, Quebec, QC, Canada, 9–12 July 2007; pp. 1–8. [Google Scholar]
- Reshef, D.N.; Reshef, Y.A.; Finucane, H.K.; Grossman, S.R.; McVean, G.; Turnbaugh, P.J.; Sabeti, P.C. Detecting novel associations in large data sets. Science 2011, 334, 1518–1524. [Google Scholar] [CrossRef] [PubMed]
- Wang, H.; Deng, X.; Zhang, Z.; Jiang, W. A new failure mode and effects analysis method based on Dempster–Shafer theory by integrating evidential network. IEEE Access 2019, 7, 79579–79591. [Google Scholar] [CrossRef]
- Pourreza, P.; Saberi, M.; Azadeh, A.; Chang, E.; Hussain, O. Health, safety, environment and ergonomic improvement in energy sector using an integrated fuzzy cognitive map–Bayesian network model. Int. J. Fuzzy Syst. 2018, 20, 1346–1356. [Google Scholar] [CrossRef]
- Zuo, L.; Xiahou, T.; Liu, Y. Evidential network-based failure analysis for systems suffering common cause failure and model parameter uncertainty. Proc. Inst. Mech. Eng. Part C J. Mech. Eng. Sci. 2019, 233, 2225–2235. [Google Scholar] [CrossRef]
- Mi, J.; Li, Y.F.; Peng, W.; Huang, H.Z. Reliability analysis of complex multi-state system with common cause failure based on evidential networks. Reliab. Eng. Syst. Saf. 2018, 174, 71–81. [Google Scholar] [CrossRef]
- Qiu, S.; Sallak, M.; Schön, W.; Ming, H.X. A valuation-based system approach for risk assessment of belief rule-based expert systems. Inf. Sci. 2018, 466, 323–336. [Google Scholar] [CrossRef]
- Jiao, L.; Denoeux, T.; Pan, Q. A hybrid belief rule-based classification system based on uncertain training data and expert knowledge. IEEE Trans. Syst. Man Cybern. Syst. 2015, 46, 1711–1723. [Google Scholar] [CrossRef]
- Jiang, J.; Li, X.; Zhou, Z.J.; Xu, D.L.; Chen, Y.W. Weapon system capability assessment under uncertainty based on the evidential reasoning approach. Expert Syst. Appl. 2011, 38, 13773–13784. [Google Scholar] [CrossRef]
- You, Y.; Sun, J.; Ge, B.; Zhao, D.; Jiang, J. A data-driven M2 approach for evidential network structure learning. Knowl. Based Syst. 2020, 187, 104810. [Google Scholar] [CrossRef]
- Wang, G.; Xu, C.; Li, D. Generic normal cloud model. Inf. Sci. 2014, 280, 1–15. [Google Scholar] [CrossRef]








| Feature of Target | Mark of Representation | Identify Frames and Elements | 
|---|---|---|
| Intention of target | TI | {A, C, L} | 
| Activity of entity | PO | {F, Y, P} | 
| Electromagnetic activity | EO | {H, L} | 
| Distance | R | {H, M, L} | 
| Azimuth | A | {H, M, L} | 
| Velocity | V | {H, M, L} | 
| Warning information | W | {N, S, T} | 
| Condition Parameter\Node Variable | PO = F | PO = Y | PO = P | PO = FY | PO = YP | 
|---|---|---|---|---|---|
| R = L, A = H, V = H | m(F) = 1 | m(Y) = 0 | m(P) = 0 | m(FY) = 0 | m(YP) = 0 | 
| R = M, A = M, V = H | m(F) = 0.5513 | m(Y) = 0.1378 | m(P) = 0 | m(FY) = 0.3109 | m(YP) = 0 | 
| R = L, A = M, V = H | m(F) = 0.3491 | m(Y) = 0.2327 | m(P) = 0 | m(FY) = 0.4182 | m(YP) = 0 | 
| R = M, A = L, V = H | m(F) = 0 | m(Y) = 0.3491 | m(P) = 0.2327 | m(FY) = 0 | m(YP) = 0.4182 | 
| Condition Parameter\Node Variable | EO = H | EO = L | EO = HL | 
|---|---|---|---|
| W = N | m(H) = 0.1378 | m(L) = 0.5513 | m(HL) = 0.3109 | 
| W = S | m(H) = 0.3491 | m(L) = 0.2327 | m(HL) = 0.4182 | 
| W = T | m(H) = 1 | m(L) = 0 | m(HL) = 0 | 
| Condition Parameter\Node Variable | TI = A | TI = C | TI = L | TI = AC | TI = CL | 
|---|---|---|---|---|---|
| PO = F, EO = H | m(A) = 1 | m(C) = 0 | m(L) = 0 | m(AC) = 0 | m(CL) = 0 | 
| PO = Y, EO = H | m(A) = 0.5513 | m(C) = 0.1378 | m(L) = 0 | m(AC) = 0.3109 | m(CL) = 0 | 
| PO = P, EO = L | m(A) = 0 | m(C) = 0.1378 | m(L) = 0.5513 | m(AC) = 0 | m(CL) = 0.3109 | 
| Estimation Model | EN Model | BN Model | SVM | 
|---|---|---|---|
| Accuracy rate | 92.36% | 89.72% | 87.59% | 
| Disclaimer/Publisher’s Note: The statements, opinions and data contained in all publications are solely those of the individual author(s) and contributor(s) and not of MDPI and/or the editor(s). MDPI and/or the editor(s) disclaim responsibility for any injury to people or property resulting from any ideas, methods, instructions or products referred to in the content. | 
© 2023 by the authors. Licensee MDPI, Basel, Switzerland. This article is an open access article distributed under the terms and conditions of the Creative Commons Attribution (CC BY) license (https://creativecommons.org/licenses/by/4.0/).
Share and Cite
Wang, H.; Guan, X.; Yi, X. Evidence Network Inference Recognition Method Based on Cloud Model. Electronics 2023, 12, 318. https://doi.org/10.3390/electronics12020318
Wang H, Guan X, Yi X. Evidence Network Inference Recognition Method Based on Cloud Model. Electronics. 2023; 12(2):318. https://doi.org/10.3390/electronics12020318
Chicago/Turabian StyleWang, Haibin, Xin Guan, and Xiao Yi. 2023. "Evidence Network Inference Recognition Method Based on Cloud Model" Electronics 12, no. 2: 318. https://doi.org/10.3390/electronics12020318
APA StyleWang, H., Guan, X., & Yi, X. (2023). Evidence Network Inference Recognition Method Based on Cloud Model. Electronics, 12(2), 318. https://doi.org/10.3390/electronics12020318
 
        

 
       