Next Article in Journal
A Balanced BPF with Wide Bandwidth and Steep Selectivity Based on Slotline Stub Loaded Resonators (SSLRs)
Previous Article in Journal
Using a Profiling System to Recommend Employees to Carry out a Project
Previous Article in Special Issue
Vehicle-to-Blockchain (V2B) Communication: Integrating Blockchain into V2X and IoT for Next-Generation Transportation Systems
 
 
Font Type:
Arial Georgia Verdana
Font Size:
Aa Aa Aa
Line Spacing:
Column Width:
Background:
Article

Election of MPR Nodes and Detection of Malicious Nodes Based on a Byzantine Fault in the OLSR Protocol Case of a Scale-Free Network

by
Noureddine Idboufker
1,*,
Souhail Mssassi
1,
Chahid Mohamed Alaoui
1 and
Hicham Zougagh
2
1
National School of Applied Sciences, Cadi Ayyad University, Marrakesh 40000, Morocco
2
Faculty of Sciences and Techniques, Moulay Slimane University, Beni Mellal 23000, Morocco
*
Author to whom correspondence should be addressed.
Electronics 2023, 12(16), 3390; https://doi.org/10.3390/electronics12163390
Submission received: 22 June 2023 / Revised: 23 July 2023 / Accepted: 25 July 2023 / Published: 9 August 2023
(This article belongs to the Special Issue Future Generation Wireless Communication)

Abstract

V2X (Vehicle-to-Everything) communications play a crucial role in enabling the efficient and reliable exchange of information among vehicles, infrastructure, and other entities in smart transportation systems. However, the inherent vulnerabilities and dynamic nature of V2X networks present significant challenges for ensuring secure and trustworthy communication. By enhancing the security of the OLSR (Optimized Link State Routing) protocol through secure MultiPoint Relays (MPRs) Selection, this research aims to provide a robust approach that enhances the overall security posture of V2X networks, enabling safe and secure interactions between vehicles and their environment. The proposed method is based on the Byzantine general’s problem, which is the principle used in blockchain. Compared to the classical flooding mechanism, this technique greatly reduces network traffic overhead and improves the efficiency of bandwidth utilization. The results demonstrated that the proposed algorithm performed better than the well-used UM-OLSR implementation. The outcome proved that our MPR election algorithm guarantees a better packet delivery ratio, and it also performs very well in the detection and isolation of malicious nodes, leading to increased security of the OLSR protocol control plane.

1. Introduction

In the present era, vehicles are witnessing a surge in connectivity, establishing links among themselves and with the external environment [1]. V2X, an encompassing term denoting “vehicle to everything” encompasses various forms of vehicle communication [2], such as Vehicle-to-Vehicle (V2V), Vehicle-to-Infrastructure (V2I), Vehicle-to-Pedestrian (V2P), and Vehicle-to-Network (V2N). Through these technologies, cars can engage in dialogues with other vehicles, infrastructure elements like parking spaces and traffic lights, mobile applications utilized by pedestrians, and cloud-based services via cellular networks [3]. These advancements hold immense potential for future intelligent transportation systems, as they pave the way for novel ITS (Intelligent Transportation System) services that are currently unavailable [4,5]. The integration of the Internet of Things (IoT) with V2X communications can provide several advantages, including VANET enhancing connectivity [1], localization performance improvement [6], and designing efficient smart city services [7].
V2X and Mobile Ad hoc Networks (MANETs) share concepts and principles. Techniques, protocols, and algorithms developed for MANETs can be adapted and applied to enhance the security, scalability, and efficiency of V2X communication systems. Leveraging the research and advancements in MANETs can contribute to addressing the unique challenges of V2X networks, including routing, resource allocation, and network management, thereby improving the overall performance and reliability of V2X communications.
MANETs consist of a set of mobile nodes connected wirelessly in a self-configured, self-healing network without having a fixed infrastructure. These types of networks offer increased mobility by enabling nodes to move freely and randomly, which makes building a routing table very hard because the network topology varies greatly. Each node behaves as a router in order to forward traffic to other specified network nodes. The basic rules are that a new node, whenever it enters an ad-hoc network, must announce its arrival and presence and should also listen to similar announcement broadcasts made by other mobile nodes.
In the MANET context, mobile nodes are characterized by less memory, power, and lightweight features, preventing the implementation of demanding algorithms. OLSR (Optimized Link State Routing) is a protocol based on the periodic exchange of control information [8]. This exchange allows each node to build topological knowledge, allowing it to build its own routing table. While OLSR can be used in various scenarios, including smart cities, there are some considerations to take into account. Security is one of these aspects.
Thus, securing the OLSR protocol is motivated by the vulnerability of MANETs to security threats, the criticality of MANETs in various applications, the emerging threats and attack vectors, and the need for practical security solutions. Addressing one of these aspects can help ensure MANET’s reliable and secure operation in diverse applications.
The core of the OLSR is the selection of Multipoint Relays (MPRs), used as a component of a flooding mechanism. MPRs distribute control traffic messages within the network while reducing redundancy in the flooding process. An OLSR node selects its MPR set in such a manner that all two-hop neighbors are reachable by the minimum number of MPRs. However, if a node is feeding the network false information to others, refusing to cooperate, or manipulating the MPR election process, the network will fail to build an accurate and reliable topology, leading to an unsecured routing process.
MANETs are prone to security threats that compromise the confidentiality, integrity, and availability of the network and the information. In the case where a node injects false information, refuses to cooperate, or manipulates the Multipoint Relay (MPR) election process, the network will fail to build an accurate and reliable topology, leading to an unsecured routing process. The novelty of the work lies in the use of the Byzantine general’s problem, which is the principle used in blockchain in order to secure the OLSR control plane. Furthermore, we considered the performance evaluation of our solution within a scale-free network. The contributions to the work are the following:
  • Enhancement of OLSR protocol security for V2X Networks: By developing a new approach to enhance the security of the Optimized Link State Routing (OLSR) protocol in V2X (Vehicle-to-Everything) networks.
  • Secure MPR selection: By ensuring secure MPR selection, the performance of OLSR in V2X can be optimized, leading to efficient and reliable routing.
  • Trust-Based model with a decentralized verification system: By introducing a three-step model for securing the MPR selection process.
  • Detection and isolation of malicious nodes: The proposed model performs very well at identifying and isolating malicious nodes in the V2X network.
  • Implementation and performance evaluation: NS-2 was used to implement and evaluate the proposed solution in the case of a scale-free network.
  • Performance improvement over current OLSR implementations: The research findings show that the proposed approach outperformed the widely used UM-OLSR implementation in terms of packet delivery ratio as well as in detecting and handling malicious nodes.
Figure 1 presents the workflow of the proposed approach.
The remainder of the paper is structured as follows: Section 2 provides an overview of the OLSR protocol, discussing the traffic it generates and the default MPR selection process outlined in RFC 3626.
Section 3 examines various attacks that exploit control traffic to disrupt routing processes and network topologies. Section 4 is dedicated to a brief presentation of works related to the performance and security improvement of V2X communications. In Section 5, we present our proposed algorithm, followed by Section 5, where we will conduct a case study analysis. In Section 7, we present simulation results and demonstrate the effectiveness of the proposed approach and the improvements it brings over the UM-OLSR implementation. The final section of this article provides a synthesis of the key contributions and conclusions.

2. Optimized Link State Routing Protocol

The IETF MANET group introduced OLSR as a proactive routing protocol designed for Ad-Hoc networks. In this protocol, optimization of network broadcasting is achieved through the utilization of nodes referred to as Multi-Point Relay (MPR). Each MPR should broadcast topology information and forward messages to destination nodes. The MPR concept aims to minimize message flooding overhead by reducing redundant retransmissions within the same area. Figure 2 shows the different types of messages required by the OLSR protocol to function as described in RFC 3626:
  • HELLO-messages are responsible for link sensing, neighbor detection, and MPR signaling.
  • TC messages are used for topology notification (advertisement of link states).
  • MID-messages notify the presence of multiple interfaces on a node.
Figure 2. OLSR data flow.
Figure 2. OLSR data flow.
Electronics 12 03390 g002
OLSR is designed to work in a completely distributed manner and does not depend on any central entity. The protocol doesn’t require reliable transmission of control messages. Each node sends control messages periodically and can therefore sustain a reasonable loss of any messages. Such losses occur frequently at radio interfaces due to collisions or other transmission issues. Also, it does not require the sequential delivery of messages. Each control message contains a sequence number, which is incremented for each message. Thus, the recipient of a control message can, if required, easily identify which information is more recent.
The OLSR protocol is intended to operate in a fully decentralized manner, with no need for a central authority. It doesn’t require reliable transmission of control messages, as each node sends them periodically and can withstand a certain degree of message loss, which is common in radio interfaces due to collisions or other transmission problems. Additionally, there is no requirement for messages to be delivered in a specific order, as each control message contains a sequence number that is incremented for each message. This allows the recipient of a control message to easily determine which information is the most recent, if necessary.
Thus, nodes control traffic by exchanging two types of messages: HELLO and TC messages. Each one is used to update specific information, as we are going to explain in the next section.

2.1. Hello Messages

Ad hoc networks are characterized by a changing topology over time. Thus, in order to detect these changes and maintain a list of neighbors for each node, OLSR uses HELLO messages. During neighborhood detection, each node regularly transmits HELLO messages to advertise its presence and its links with its neighbors, leading to the update of topology information [8]. We can classify the links between two OLSR nodes into three categories:
  • Asymmetric: If the node receives messages from another that does not contain confirmation that it heard them then the link is asymmetrical.
  • Symmetric: If two connected nodes hear each other, then the link is symmetric.
  • Lost: If the link was considered symmetric or asymmetric and no information was received after a while, then the link is considered lost.
Figure 3 shows a very simplified version of a neighbor discovery session using HELLO messages. These messages consist of important information fields, the meanings of which are as follows:
Hello messages consist of important fields of information, the meanings of which are as follows:
  • Reserved: Should be configured with the value “0.”
  • HTime: Its value represents the HELLO transmission interval used by the node on this specific interface, indicating the time remaining until the next HELLO transmission. This information can be employed for advanced link-sensing purposes.
  • Willingness: Indicates a node’s ability to relay messages to other nodes. A node with a Willingness value of “WILL_NEVER” should never be selected as an MPR by other nodes. In the other case, a node with a Willingness value of “WILL_ALWAYS” should always be chosen as an MPR. In most cases, a node should announce a default Willingness value of “WILL_DEFAULT.”
  • Link Code: Provides information about the link between the sender’s interface and the subsequent list of neighboring interfaces. It also indicates the neighbor’s status.
  • Link Message Size: Determines the link message length, measured in bytes from the “Link Code” field to the next “Link Code.”
  • Neighbor Interface Address: Identifies the neighbor node’s interface address.
The sequence of events unfolds as follows: Firstly, Node A initiates communication by sending an empty HELLO message. Node B receives this message and, since it cannot find its own address in the HELLO message, considers Node A an asymmetric neighbor. In response, Node B sends a HELLO message, designating Node A as an asymmetric neighbor. Upon receiving this message, Node A finds its own address in it and upgrades Node B has a symmetric neighbor. To complete the cycle, Node A includes Node B in the HELLO message it sends, and upon reception, Node B registers Node A as a symmetric neighbor.
HELLO messages have additional applications, being generated and transmitted to all one-hop neighbors for link-sensing, neighbor-sensing, two-hop neighbor-sensing, and MPR selector sensing.

2.2. TC Messages

Each router maintains information concerning the network topology. This information is built by exchanging and analyzing received TC messages [8,9]. Only MPRs send TC messages.
Figure 4 illustrates the format of TC messages. These messages consist of several fields, and the objectives of each one, are as follows:
  • Advertised Neighbor Sequence Number (ANSN): The advertised neighbor set is associated with a sequence number. Whenever a node identifies a modification in its advertised neighbor set, it increments this sequence number. This ANSN value is then transmitted in the ANSN field of each TC message to ensure up-to-date information. Upon receiving a TC message, the recipient node can use the ANSN value to decide whether the received details regarding the advertised neighbors of the originator node are more recent than its existing data.
  • Advertised Neighbor Main Address: Within this field lies the main address of a neighbor node. The TC message includes all the main addresses of the advertised neighbors as provided by the originator node. In the event that the network imposes a maximum message size and there are still advertised neighbor addresses pending to be inserted into the TC message, further TC messages will be generated until the entire advertised neighbor set is effectively sent.
Figure 4. TC Message Format.
Figure 4. TC Message Format.
Electronics 12 03390 g004
TC messages in OLSR are mainly used to establish the routing tables [8]. Each node has a routing table that allows it to route packets to a recipient. These routing tables are calculated using the Dijkstra algorithm based on the information kept by the nodes and also the information provided by the TC control messages. These routing tables are updated at each topology change.

2.3. Multipoint Relaying

OLSR disseminates topology information through packet flooding. In its basic form, flooding means each node retransmits all received packets to its neighbors. To prevent loops, these packets usually carry a sequence number. Thus, destination nodes register this sequence number to ensure that a packet is transmitted only once. If a node receives a packet with a sequence number lower or equal to the last registered retransmitted packet from the sender, the packet is not retransmitted. Figure 5 illustrates a node with neighbors and 2-hop neighbors. To achieve a network-wide broadcast, it is sufficient that a broadcast transmission be done by a subset of neighbors.

2.4. Multi-Point Relays Selection Process

For node A to call node B its neighbor, node B should be able to hear node A (i.e., a link exists between an OLSR interface on node A and an OLSR interface on B). This concerns 1-hop neighbor nodes. The node A 2-hop neighbors represent the nodes heard by the node A neighbors.
MPRs are selected by a node from its one-hop neighbors with "symmetric," meaning bi-directional, links. Consequently, routing via an MPR inherently mitigates issues related to data packet transfer over unidirectional links, such as the absence of link-layer acknowledgments for data packets at each hop. Indeed, a node Ni initially designates as MPRs all its neighbors that are the sole neighbors of a two-hop node from Ni. It then chooses an MPR neighbor with the highest count of covered two-hop nodes. This step is repeated iteratively until all two-hop nodes are covered. Finally, any MPR node Nj that the MPR set, excluding Nj, covers all two-hop nodes is discarded from the final selection.

3. OLSR Attacks

We will explicitly discuss OLSR vulnerabilities; however, these bugs do not occur only in OLSR; they exist in all protocols. Otherwise, vulnerabilities are examples of threats that all constructive routing protocols deal with. Then we’ll discuss the proposed countermeasures to these attacks and their limitations.
The security architecture begins by examining the attack tree associated with the OLSR protocol routing. In Figure 6, we depict an attack tree, which serves as a structured approach to assessing security concerns. Our objective is to develop a methodology that effectively addresses the numerous vulnerabilities identified within this framework. In the subsequent paragraphs, we will elucidate significant mechanisms related to these attacks.

3.1. False Control Information Generation

The OLSR control plane is based on two different types of control traffic: HELLO messages and TC messages. A non-compliant node can affect network connectivity through the incorrect generation of HELLO and/or TC messages. In general, a node can behave badly in two different ways: by generating control traffic by “pretending” to be another node (e.g., impersonation) or by posting incorrect information (links) to control messages (for example, link spoofing). In the upcoming sections, we will discuss various instances where Hello and/or TC messages are exploited to execute attacks targeting the routing control plane.

3.1.1. Hello Message Scope

Hello messages are essential for neighbor discovery, link sensing, topology control, and network stability in the OLSR protocol. They facilitate the establishment of communication, monitor link quality, construct network topologies, and enable timely adaptation to network changes, ultimately ensuring efficient and reliable routing within the network. Both Identity Spoofing and Link Spoofing are security threats that can undermine the trust and reliability of the protocol.
  • Identity Spoofing: A node sends HELLO messages while pretending to be another node [11]. For example, Node X sends HELLO messages with Node A’s original address. This could result in the network having conflicting routes to Node A. Specifically, Node X would choose MPRs from its neighbors, and while signaling this selection, it pretends to have the identity of Node A. The MPRs would then notify them that they could provide the “last hop” to Node A in their TC messages.
  • A node sends HELLO messages to an incorrect set of neighbors. It may take either of two forms. If the set is incomplete and certain neighbors are ignored, it can result in the network losing connectivity with those ignored neighbors. On the other hand, a compromised node might falsely advertise a neighbor relationship with non-existent nodes, leading to inaccurate MPR selection. This will lead to a situation where some nodes are not reachable [12].

3.1.2. TC Messages Scope

The significance of TC messages within the OLSR protocol is multifaceted. These messages are indispensable for various key functions, including the distribution of network topology information, efficient path calculation, adaptation to dynamic network conditions, maintenance of loop-free routing, and facilitation of fault detection and recovery. Here too, both Identity Spoofing and Link Spoofing are security threats that can undermine the trust and reliability of the protocol.
  • Identity Spoofing: It is possible for a node to send TC messages while pretending to be another node. In fact, it involves link spoofing. Indeed, a node assuming the identity of another node is effectively advertising incorrect links to the network [11].
  • Link Spoofing: In this attack [12], a node can send TC messages, announcing an incorrect set of links. This can take two forms. If the SET is incomplete, that is, a node “ignores” the links to certain nodes in its SET of MPR selectors, this leads to a network with no connectivity with these “ignored” neighbors, “as well as with neighbors who are accessible only by” ignored “neighbors. In addition, a node can add non-existent links (i.e., links to nodes that are not its neighbors) to a TC message.

3.2. Incorrect Control Traffic Relay

Real-time reception of OLSR-TC messages is essential for maintaining network efficiency, adaptability, fault tolerance, and security. It enables routers to make informed routing decisions, respond quickly to changes, detect failures promptly, and proactively defend against potential attacks. OLSR TC messages can be exploited by attackers to carry out various attacks on the routing control plane. Indeed, if TC messages are not relayed correctly, connectivity will likely be lost. In the same way, when a node is unable to transmit data packets, a loss of connectivity may occur. Blackhole attacks, replay attacks, and wormhole attacks are attacks that can have severe consequences for network performance, security, and reliability.
  • Blackhole Attack: A node (the attacker) can delete received routing messages instead of relaying them. Consequently, the amount of routing information accessible to other nodes diminishes. This is called the “black hole attack” by Yih-Chun et al. [13] and is considered a “passive” and straightforward method to carry out a denial of service attack. When a node fails to forward TC messages, it can result in connectivity problems throughout the network. Figure 7 shows us how this attack is done, and we can see that node C won’t relay the TC messages. Such behavior disturbs the overall functioning of the network because it can lead to long paths and a loss of connectivity between entities [14].
  • Replay Attack: Old control messages, in the case of a topology change, describe a network configuration that no longer exists. Thus, an attacker can force other nodes to update their routing tables with stale routes [15] by advertising to them old control. This attack is generally successful even if control messages are digitally signed without a timestamp. A TC message cannot be replayed “as is,” as it will be rejected due to the ANSN value. Therefore, an attacker must conduct an ANSN attack by increasing the ANSN value of the TC message. Figure 8 illustrates the general operation of this attack.
  • Wormhole attack: It is a quite severe attack [16] and entails capturing traffic from one section of the network and reproducing it “as is” in a separate area. An intruder node X can artificially generate a foreign link between nodes A and B by intercepting control messages exchanged between them, thus creating a wormhole. A more extensive wormhole can be established by two complicit intruders, X and X0. This newly created link falls entirely under the attacker’s control. To exploit the wormhole successfully, the attacker must wait until nodes A and B have exchanged a sufficient number of HELLO messages (through the wormhole) to establish a symmetrical link. Prior to this establishment, other tunneled control messages would be rejected. This situation is caused by the fact that OLSR states that TC/MID/HNA messages will not be treated if the relay node (the “last hop”) is not a symmetric neighbor. Nevertheless, once created, the link connecting Nodes A and B is under the control of the attacker.

4. Related Works

Over the past few years, there has been a surge in proposals for improving the performance and security of V2X communications. These schemes aim to tackle various network vulnerabilities and assess their impact on performance. However, although certain focus has been directed toward dealing with individual issues related to OLSR contributions to QoS, a few works have focused on addressing OLSR control plane security.
Aljawharah et al. conducted a survey on cyber security challenges and solutions for V2X Communications. They examined existing security solutions for V2X communication technology and conducted a threat analysis for V2X enabling technologies. The paper also identifies future research challenges in this area [17]. In [18], the authors introduce a hash chain of secret keys for a Message Authentication Code for V2X communications in order to improve secure message authentication at a substantially lower cost.
I. Dolnak et al. [19] highlight changes in the communication model and identify the prevalent attack categories on name services infrastructure relevant to the V2X network environment. Ref. [20] suggests incorporating blockchain technology into 5G-based MEC (Multi-access Edge Computing) vehicular networks to enhance security, privacy protection, and content caching. With this proposition, they aim to improve security and management mechanisms for 5G V2X along with MEC.
In [21,22], T. Clausen et al. provide a complete overview of security threats to OLSRv2 and highlight the benefits of addressing security issues to ensure secure and reliable OLSRv2 routing in MANETs. Moreover, in [23], Adjih et al. proposed the concept of signature. The purpose of this signature is to prevent malicious nodes from inserting inaccurate information into the network. A signature is created by each OLSR control message sender and transferred with the control message. Furthermore, a timestamp is coupled with each signature in order to estimate the freshness of a message. The limitation of the proposed solution is that it assumes that network nodes’ integrity is undamaged, i.e., a trusted node is not compromised (i.e., a node of trust behaves properly). Hence, the objective is to ensure that only control traffic from trusted nodes is considered and that the integrity of this control traffic is maintained.
Ahmed et al. proposed in [24] a MANETs Intrusion Detection System (IDS). In order to detect misbehaving nodes, the proposed method initially validates the communication path and subsequently detects and isolates the misbehaving nodes in the invalid paths. The proposed detection system is based on the collaboration of a group of nodes in order to make accurate decisions. The detected node is then added to a blacklist broadcast to all 1-Neighbors, and so on to all nodes in the network. Then all the neighboring nodes receive this list, and it makes another confirmation by sending a Path Validation Message (PVM) to the attacker to make sure that this node is in fact an attacker. The process begins with the periodic sending of PVM to the destination. The destination node must acknowledge the sender with a response PVM to confirm the validity of the path. When the PVM fails to reach the sender before sending the next PVM, the source node increases the number of unsuccessful PVMs. Unsuccessful PVMs indicate an issue in the path, prompting the source node to initiate the attacker’s searching process. The process begins by generating an attacker finder message (AFM) for every node on the path to the destination. Each intermediate node that receives the AFM must do two things. First, it responds to the source node with a message containing information on the number of hops and the next node to the destination. Besides, it sends the AFM to its destination. The node waits for an acknowledgment from intermediate nodes for some time. The node waits for a certain duration to receive acknowledgments from intermediate nodes. The downside is that this algorithm works only if the malicious node drops all packets. So, if the attacker is careful, it will drop all packets except PVM packets. Furthermore, the proposed solution can, in some cases, block honest nodes, leading to an increase in false positives.
In [25], the proposed security approach involves the use of a reputation-based mechanism to prevent and detect OLSR black hole attacks. Each node maintains a reputation score that is updated based on its behavior. Suspicious behaviors that may indicate the presence of a black hole attack, such as an abnormally high drop rate or inconsistency in routing information, are used to determine the reputation score. Nodes with low reputation scores are considered untrustworthy, and their routes are avoided by other nodes.
In [26], Zougagh et al. present a method for mitigating black hole attacks using Intrusion Detection Systems (IDS). The proposed approach involves deploying IDS to monitor network traffic and detect abnormal behaviors that may indicate the presence of a black hole attack. Once detected, the IDS takes appropriate actions to mitigate the attack, such as updating routing tables or informing neighboring nodes.
On the other side, [27] proposes the use of the min-max algorithm and the largest signal range to select MPR. Packet delivery ratio (PDR), throughput, delay, energy consumption, and topology control (TC) were used for performance evaluation. Results show that OLSR performance using the min-max algorithm can improve PDR, decrease packet loss and topology control packets, and reduce energy consumption. However, the computation of the MPR by the standard algorithm RFC3626 [8] presented remains rudimentary and inadequate as it fails to consider all the node and network characteristics.
The present paper focuses on the security of the OLSR control plane. In this context, we propose a new approach for MPR selection based on the principle of ‘Trust no One” and a “Decentralized Verification System” to build a trusted topology and detect and disconnect malicious nodes. Its main goal is to build a trusted topology with the ability to detect and disconnect malicious nodes.

5. Proposed Approach

We propose a new approach for enhancing OLSR protocol security for MANETs through secure multipoint relay selection. Our method is based on the principles of “Trust no One” and a “Decentralized Verification System.” Furthermore, its main goal is to build a trusted topology with the ability to detect malicious nodes.
The proposed method is based on the Byzantine general’s problem, which is the principle used in blockchain. Via this method, we aim to help nodes make their MPR choices in the most secure way based on the correct topology. We focus on the process of building the network topology. More precisely, we are interested in the exchange of information between nodes concerning their links and their neighbors.
We aim to improve this exchange in order to guarantee that no node will lie about the state of its links, and even if it sends false information, it should be detected. The proposed method is executed as follows: Each node broadcasts the list of its neighboring nodes to the network with its own signature. Each node receives the other nodes’ neighbors’ lists. If its neighbors don’t include him in this list, it immediately disconnects from the network. Then, each node broadcasts all its received lists to the whole network, and the “Trusted Topology” is then calculated as the intersection of all the lists. The last step consists of verifying the consistency of the final trusted topology and detecting malicious nodes.
Let B n be the broadcasted neighbors list of the Nth Node. Let C x , n be the neighbor list received by the Nth node via a broadcast from the Xth node. And is the neighbor’s list received and broadcasted by the Xth node. Let’s define Fx as
F x = k = 1 n C k , x   a n d   F x n i s   t h e   n t h   e l e m e n t   i n   k = 1 7 C k , x
Then the Trusted Topology will be calculated as
T = x = 1 n k = 1 C a r d ( F x ) ( x , F x k )
The pseudocodes used to build the network view and the node X view, respectively, are listed below in Algorithms 1 and 2.
Algorithm 1 View of The Network Algorithm.
Function INTERSECTION(SET A, SET B)
         (C, Topology) ← (Empty Set,Empty Set)
          For i= 1 to length(A) do
               If B.contains(i) then B.contains(i)
               Else B.contains(i)
           Return C
// phase 1:
          For I = 0 to n do
              Node(i)→ Broadcast(Neighbors(Node(i)))
                Nodes(i).ListOfNeighborsReceived ← ReceiveFromBrodcast()
// phase 2:
          For I = 0 to n do
              Node(i)→ Broadcast( Nodes(i). ListOfNeighborsReceived)
                Nodes(i).ListOfBrodcastReceived ← ReceiveFromBrodcast()
// phase 3:
          For i= 0 to n do
              setTmp ← Empty Set
                For j = 0 to n² do
                    setTmp ← Nodes(i).ListOfBrodcastReceived[j][i]
                     if not(intersection(setTmp,setTmp.next()==setTmp)) then break
                          if j==ListOfBrodcastReceived.length then Topology.add(setTmp)
Algorithm 2 View of The Node X.
Function INTERSECTION(SET A, SET B)
         (C, Topology) ← (Empty Set,Empty Set)
          For i= 1 to length(A) do
               If B.contains(i) then B.contains(i)
               Else B.contains(i)
           Return C
// phase 1:
        Node(x)→ Broadcast(Neighbors(Node(x)))
         Nodes(x).ListOfNeighborsReceived ← ReceiveFromBrodcast()
// phase 2:
         Node(x)→ Broadcast(Nodes(x). ListOfNeighborsReceived)
          Nodes(x).ListOfBrodcastReceived ← ReceiveFromBrodcast()
// phase 3:
          For i= 0 to n do
              setTmp ← Empty Set
                For j = 0 to n² do
                    setTmp ← Nodes(i).ListOfBrodcastReceived[j][i]
                     if not(intersection(setTmp,setTmp.next()==setTmp)) then break
                          if j==ListOfBrodcastReceived.length then Topology.add(setTmp)

5.1. Algorithm Complexity

The proposed algorithm, when applied to a Node, has a time complexity of N2, but in space, it should save all the lists and also the final topology. The proposed algorithm uses data within the already transmitted Hello and TC messages used for topology discovery. Thus, the impact on network performance is minimal for relatively small to medium networks due to the time spent by the algorithm to process the data and extract the information. In order to enhance the efficient utilization of resources, we proposed to trigger the algorithm via topology changes. However, for highly dynamic topologies, we may notice some performance issues.

5.2. Algorithm Optimization

Furthermore, we can minimize the cost of space complexity by adding a centralized server that will work as a database for storing the trusted topology. Keep in mind that this type of network is generally used where there’s no pre-established infrastructure. Thus, it is mainly designed to be set on the fly due to the node’s mobility.
On the other side, nodes should Hash the trusted topology, and, thereby, they can delete their topology table. When a node wants to verify or perform calculations based on the topology table, it queries the server. Additionally, it can first validate the integrity of the topology table by calculating the Hash and comparing it to the Hash already stored in its memory. An exchange scenario in the case of topology-based hashing is illustrated in Figure 9.

6. Case Study

In this paper, for demonstration and visualization purposes, we chose the Scale-Free topology over other topologies. Scale-free networks are a type of complex network architecture that has become increasingly popular in recent years due to their ability to model many real-world systems, such as social networks [28], biological systems, and transportation networks [29,30,31,32]. The defining characteristic of scale-free networks is their degree distribution, which follows a power-law distribution. This means that a few highly connected nodes, known as “hubs,” exist alongside many sparsely connected nodes. This property is observed in many real-world networks, lending support to the saying that “many real-world networks are Scale-Free.” Regardless of the application context, many structures display a common statistical property. That is, the probability distribution for the degree is a power law [28]. In other words, we can write
P(k) ∝ k − γ
It follows the “rich get richer” principle, where well-connected nodes attract more connections. Our choice is supported by the fact that many real-world networks are Scale-Free.
While the “rich get richer” algorithm can provide some inherent security benefits by promoting redundancy, it also introduces a potential weakness that requires careful consideration and appropriate security measures to protect the highly connected nodes and ensure the overall security of the Scale-Free topology.

6.1. Case of Honest Nodes

To demonstrate the functioning of the proposed algorithm, we have chosen a topology composed of 7 interconnected nodes, as shown in Figure 10, and we will start with the case where every network node is honest. Indeed, our algorithm will proceed as follows:
  • Step 1: Each node Broadcasts the list of his neighbor’s nodes to the Network. Let B n be the neighbor’s list broadcasted by the nth node. For example, suppose that Node_3 is an honest node. Then, this node will broadcast B 3 = { 2,4 , 5,7 } to the whole network. As a result of this step, every network node will have the following information:
  • { B 1 , B 2 , B 3 , B 4 , B 5 , B 6 , B 7 }
  • Step 2: During this step, each node Broadcasts all its received lists to the whole Network. Thus, every node will have the following knowledge:
{ 1 B 1 , B 2 , B 3 , B 4 , B 5 , B 6 , B 7 ,
2 B 1 , B 2 , B 3 , B 4 , B 5 , B 6 , B 7 ,
3 B 1 , B 2 , B 3 , B 4 , B 5 , B 6 , B 7 ,
4 B 1 , B 2 , B 3 , B 4 , B 5 , B 6 , B 7 ,
5 B 1 , B 2 , B 3 , B 4 , B 5 , B 6 , B 7 ,
6 B 1 , B 2 , B 3 , B 4 , B 5 , B 6 , B 7 ,
7 B 1 , B 2 , B 3 , B 4 , B 5 , B 6 , B 7 }
Let C x , n be the neighbors list of the Nth node, received and broadcast by the Xth node.
For example,
C 3,5 = B 5   a n d   B 5 i s   l o c a t e d   i n   t h e   l i s t   o f   n o d e   3 B 1 , B 2 , B 3 , B 4 , B 5 , B 6 , B 7
And C x is the list of all neighbors received and broadcast by the Xth node. For example,
C 3 = 3 B 1 , B 2 , B 3 , B 4 , B 5 , B 6 , B 7
  • Step 3: During this step, the Trusted Topology is then calculated as the intersection of all the lists. In our case, the Trusted Topology is T determined as:
    T = k = 1 7 C k , 1 , k = 1 7 C k , 2 , k = 1 7 C k , 3 , k = 1 7 C k , 4 , k = 1 7 C k , 5 , k = 1 7 C k , 6 , k = 1 7 C k , 7
T = F 1 , F 2 , F 3 , F 4 , F 5 , F 6 , F 7
where
F x = k = 1 7 C k , x   a n d   F x n i s   t h e   n - t h   e l e m e n t   i n   k = 1 7 C k , x
In order to eliminate redundancy and verify the consistency of this topology, we perform horizontal verification. This verification leads to the new topology, which becomes:
T = x = 1 7 n = 1 C a r d ( F ) ( x , F x n )
Consequently, if the Network is composed of Honest nodes only, then we will have:
B 1 = 2,6 = k = 1 7 C k , 1
B 2 = { 3,7 } = k = 1 7 C k , 2
B 3 = { 2,4 , 5,7 } = k = 1 7 C k , 3
B 4 = { 3 } = k = 1 7 C k , 4
B 5 = { 3 } = k = 1 7 C k , 5
B 6 = { 1 } = k = 1 7 C k , 6
B 7 = { 3 } = k = 1 7 C k , 7

6.2. Case of a Malicious Node

Let’s study the case where a malicious node exists. Assume that Node_1 is a malicious node that wants to broadcast false information. Thus, it injects false data into the topology. Let us suppose that Node_6 is an honest node and that Node_1 wants to conduct a Denial of Service (DoS) attack against Node_6. Basically, Node_6 will broadcast that it has Node_2 as its only neighbor. To showcase the effectiveness of our approach in detecting malicious nodes, we propose the study of the following two cases: The first one is where Node_1 sends false data to the network except Node_6, while the second one concerns the situation where Node_1 sends false data to the whole network.

6.2.1. First Case

In this case, the Node_1 will broadcast to other nodes that it has only Node_2 as a neighbor, so it broadcasts to them {2}, but it sends to the Node_6 {2,6}. Consequently, the other nodes will receive the message that Node_1 has only one neighbor, which is Node_2. Also, they will receive from Node_6 that it has Node_1 as a neighbor. Thus, all the Nodes will build the Trusted Topology except for Node_6 and Node_1.
For example, in this case, all Nodes will build the following topology:
T = B 1 = 2 , ? , B 2 , B 3 , B 4 , B 5 , B 6 = { ? } , B 7
In this first case, other nodes will easily detect that Node_1 has sent to Node_6 the neighbors list {2,6}. Thus, they will qualify Node_1 as a malicious node and exclude it from the network.

6.2.2. Second Case

Node_6 will receive the neighbor’s list of Node as {2} and will, then, detect that Node_1 is a malicious one and disconnect immediately from the Network. After the first application of the consensus, the built Network Topology will be presented as shown in Figure 11.
The proposed solution is consensus-based. Thus, in the second application of the consensus, if Node_1 lies again, it will immediately be disconnected from the Network by Node_2. Thus, the resulting network topology will be illustrated in Figure 12.
Thus, the network will have immunity to defend itself against malicious nodes. This defense comes from the certainty of the ejection of malicious nodes by excluding them from the OLSR topology-building process. This leads to a reliable and secure information-based routing process.

7. Simulations and Discussion

This paper aims to improve the OLSR protocol control plane by building a secure topology database. Indeed, the topology database is the main pillar of each routing process.
Thus, in order to test the performance of the proposed solution, simulations were conducted using the network simulator NS2 with a modified version of the UM-OLSR implementation. For simulation purposes, we kept all the default values for the OLSR parameters as presented in the Table 1.
As illustrated in Figure 13, this set of simulations involves a network comprising 10 nodes with a transmission range of 250 m in an area of 1500 × 1500 mm2. For performance evaluation, UDP traffic is sent by nodes located at the extreme boundaries of the network.
NS2 allows consultation of the routing table of each network node. Indeed, this table contains the fields “dest,” “next,” “Iface,” and “dist.” The meaning of each field can be presented as follows:
  • dest: Determines the destination node of the packet.
  • next: Identifies the next hop to which the packet will be forwarded.
  • Iface: Identifies the local interface leading to the next hop.
  • dist: Determines the cost associated with the transfer via “Iface”.
  • Two scenarios were considered. Scenario 1 simulates a standard protocol without malicious nodes. Using the OLSR protocol, each node builds its own routing table. Node_(1) has a UDP traffic session with node_(9) that has a distance of 2, as shown in Figure 14. Thus, it needs an MPR node in order to forward its data.
To verify the result of the MPR selection algorithm’s execution, we can refer to the MPR table of Node_(1) and check the content of the MPR Set column. Indeed, this column displays the list of MPR nodes selected by a node to serve as its MPRs. In our case, Node_(1) selected Nodes_(3) and Node_(6) as its MPRs (see Figure 15).
The second scenario simulates our proposed approach based on the Byzantine fault in the OLSR Protocol and evaluates its performance in the case of the presence of malicious nodes. It consists of introducing node_(5) as a malicious node. This node will promote an irregular number of neighbors or will increase its willingness to be elected as an MPR by node_(1).
As a result of node_(5) behavior, the traffic will be routed through node_(5) instead of node_(6) as confirmed by the verification of the node_(1) routing and MPR tables presented in Figure 15, Figure 16 and Figure 17. This constitutes a serious vulnerability whose impact is undoubtedly major on the security of the OLSR protocol and, consequently, of the entire MANET infrastructure.
In order to evaluate the impact of the default MPR selection algorithm on the data plane, we have conducted a series of performance evaluation simulations. These simulations aim to assess the initial OLSR version and our proposed one. This assessment is based on the measurement of the average Packet Delivery Ratio (PDR) and the packet drop percentage.

7.1. Packet Delivery Ratio

The packet delivery ratio is calculated by dividing the total number of data packets that have reached their destinations by the total number of data packets sent from sources.
The tables below present statistics for a 100 nodes network that uses OLSR without any malicious nodes and OLSR with malicious nodes.
The statistics presented in Table 2 are related to the use of the standard OLSR protocol. Indeed, we can notice that the average PDR is 95%, while it also presents the performance of the OLSR protocol in the case of the existence of a malicious node. The purpose of the simulations is to assess how the introduction of varying numbers of malicious nodes, which intentionally discard received packets, affects the overall percentage of packet drops.
Indeed, the presence of malicious nodes in the network is combined with a remarkable degradation of OLSR performance. This is evidenced by the degradation of the value of the average PDR, which is only 48.16%.
On the other hand, when our proposed modified OLSR is under attack, the PDR is better than the standard OLSR under attack for 100 nodes. The results, as shown in Table 3, show a remarkable improvement in PDR when our malicious node detection algorithm is integrated within the OLSR protocol. This is due to the fact that our proposed solution allows the effective and efficient detection of malicious nodes. This detection allows each node under attack to choose between two possibilities: (1) to disconnect from the rest of the network. Indeed, it is the obvious solution when a node has only one relay to connect with other nodes and this relay node is unfortunately malicious, or (2) to trigger the process of electing another nearby node as MPR. This process will be preceded by blacklisting the malicious node.
Table 3 clearly shows the efficiency of our solution compared to the unmodified version of OLSR. Indeed, our solution allows the OLSR protocol to better resist attacks. Indeed, our solution allows the OLSR protocol to better resist attacks by ensuring better packet transport reliability for different attack circumstances. This is illustrated by the guarantee of a PDR far exceeding that of the unmodified version of the OLSR protocol. Obviously, in extreme attack scenarios corresponding to a high percentage of attackers, the performance of our solution approaches that of the unmodified OSLR protocol.

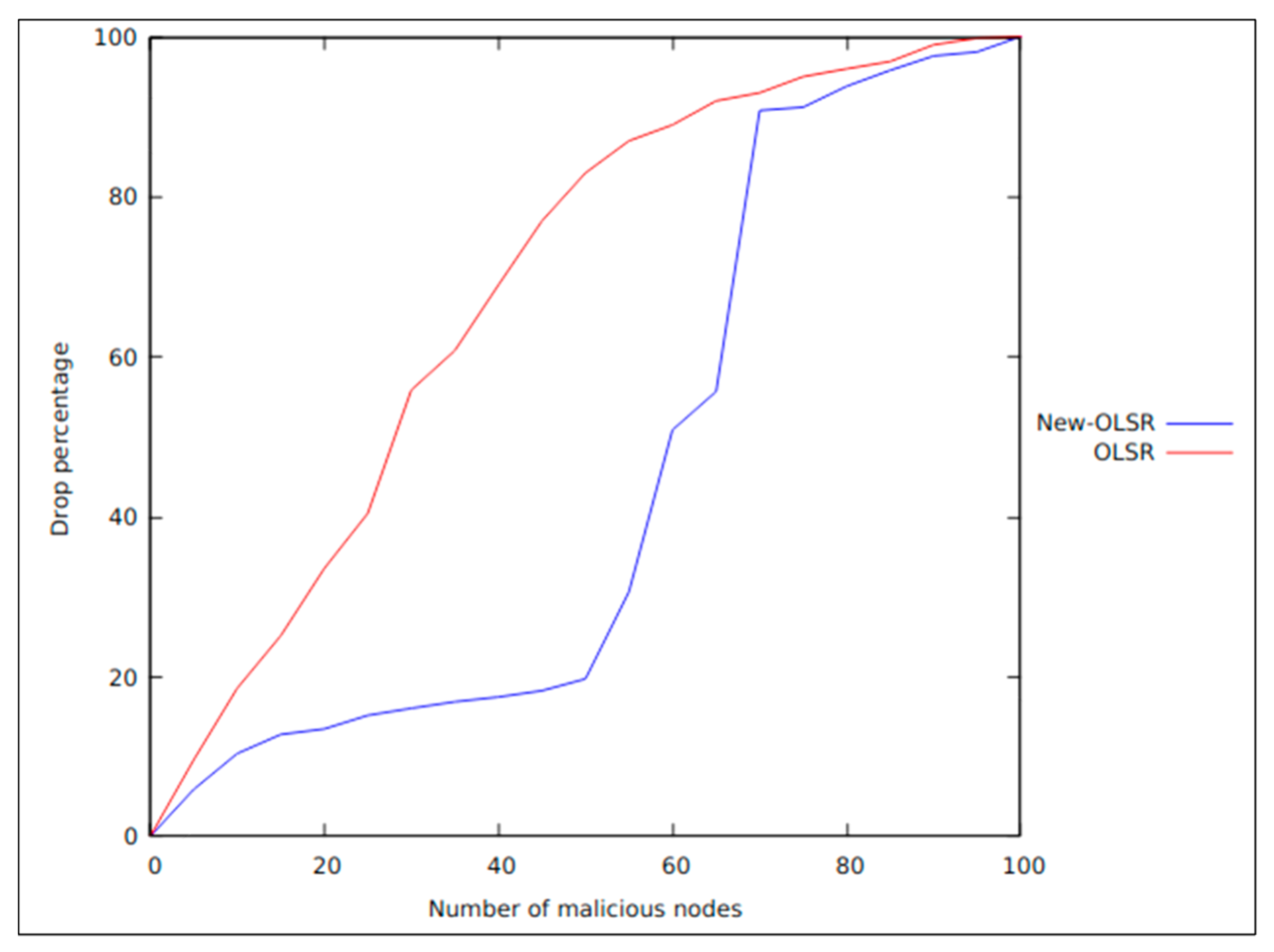
7.2. Packet Drop Percentage

One of the important added values of our proposed algorithm is the improvement of the Packet Drop Percentage (PDP). The packet drop percentage in V2X routing reflects the reliability, QoS, congestion levels, and scalability of the network. Managing packet drop percentages is vital for ensuring the efficient and dependable delivery of data in V2X communication scenarios. A routing protocol should aim to guarantee a low packet drop percentage to ensure reliable data delivery, contribute to maintaining quality of service (QoS), optimize resource utilization, manage congestion, meet application requirements, and enhance network stability. Minimizing packet drops is essential for providing a dependable and efficient routing infrastructure.
The simulation results demonstrate the effectiveness of our modified version of the OLSR protocol compared to the original version (see Figure 18). Our solution exhibits a high level of delivery quality by effectively resisting attacks. It enhances the OLSR protocol’s resilience to attacks and ensures reliable packet transport under various attack conditions. This is evident from the significantly lower Packet Drop Percentage observed in our solution compared to the unmodified OLSR protocol. It should be noted that in extreme attack scenarios with more than 70% of attackers, our solution’s performance approaches that of the unmodified OLSR protocol.
The simulation results strongly corroborate the findings of the case study, confirming that the Byzantine version outperforms the unmodified OLSR protocol in terms of packet delivery ratio, which is highly advantageous for communication protocols. Consequently, the simulation results provide solid confirmation of the exceptional performance of our algorithm in effectively detecting and isolating malicious nodes. This leads to a reduced impact of malicious activities and ultimately enhances the security of the OLSR protocol’s control plane.

8. Conclusions

This work presented a new approach for enhancing OLSR protocol security for mobile ad-hoc networks (MANETs) through secure multipoint relay (MPRs) Selection. This approach is based on the principles of «Trust no One» and a «Decentralized Verification System». Furthermore, its main goal is to build a trusted topology with the ability to detect malicious nodes.
The proposed solution is a trust-based model structured around 03 steps. The first one is where network nodes will exchange information about their neighbors with all other nodes. This step is crucial for building knowledge about network topology in general. The second step is based on the broadcast of all messages by the node to other nodes, and therefore each node is going to have a copy of the topology received from each other node. The last step focuses on the detection of dishonest nodes through the verification and comparison of all the topologies. If the topologies are the same, we can conclude that all the nodes are honest. Thus, we can build our secure topology database, which is the main pillar of the routing process. Otherwise, in the opposite case, we would detect exactly where the anomaly originated. This will lead to the detection and isolation of the dishonest node, followed by the creation of the network topology database. Our model will help choose an honest MPR based on the topology it creates. The topology is then decentralized across all nodes in the network. The findings clearly indicated that our proposed algorithm outperformed the widely used UM-OLSR implementation. Our MPR election algorithm not only ensured a higher packet delivery ratio but also exhibited exceptional performance in detecting and isolating malicious nodes, significantly enhancing the security of the OLSR protocol control plane.

Author Contributions

Conceptualization, N.I., S.M. and C.M.A.; Methodology, N.I., S.M., C.M.A. and H.Z.; Software, S.M. and H.Z.; Validation, N.I., S.M. and C.M.A.; Formal analysis, N.I., S.M. and C.M.A.; Investigation, N.I., S.M. and C.M.A.; Writing—original draft, N.I., S.M., C.M.A. and H.Z.; Writing—review & editing, N.I.; Project administration, N.I. All authors have read and agreed to the published version of the manuscript.

Funding

This research received no external funding.

Data Availability Statement

Not applicable.

Conflicts of Interest

The authors declare no conflict of interest.

References

  1. Xu, Q.; Liu, W.; Su, Z.; Zhang, W. Review on the evolution process and key technologies of V2X-based protocol. In Proceedings of the 2022 34th Chinese Control and Decision Conference (CCDC), Hefei, China, 15–17 August 2022; IEEE: Piscataway, NJ, USA, 2022; pp. 979–983. [Google Scholar] [CrossRef]
  2. Amaouche, S.; Guezzaz, A.; Benkirane, S.; Azrour, M.; Khattak, S.B.A.; Farman, H.; Nasralla, M.M. FSCB-IDS: Feature Selection and Minority Class Balancing for Attacks Detection in VANETS. Appl. Sci. 2023, 13, 7488. [Google Scholar] [CrossRef]
  3. Martínez-Cruz, A.; Ramírez-Gutiérrez, K.A.; Feregrino-Uribe, C.; Morales-Reyes, A. Security on in-vehicle communication protocols: Issues, challenges, and future research directions. Comput. Commun. 2021, 180, 1–20. [Google Scholar] [CrossRef]
  4. Zhao, L.; Jia, Y. Intelligent transportation system for sustainable environment in smart cities. Int. J. Electr. Eng. Educ. 2021, 0020720920983503. [Google Scholar] [CrossRef]
  5. Deng, X.; Wang, L.; Gui, J.; Jiang, P.; Chen, X.; Zeng, F.; Wan, S. A review of 6G autonomous intelligent transportation systems: Mechanisms, applications and challenges. J. Syst. Archit. 2023, 142, 102929. [Google Scholar] [CrossRef]
  6. Khattak, S.B.A.; Jia, M.; Marey, M.; Nasralla, M.M.; Guo, Q.; Gu, X. A novel single anchor localization method for wireless sensors in 5G satellite-terrestrial network. Alex. Eng. J. 2022, 61, 5595–5606. [Google Scholar] [CrossRef]
  7. Khattak, S.B.A.; Nasralla, M.M.; Farman, H.; Choudhury, N. Performance Evaluation of an IEEE 802.15. 4-Based Thread Network for Efficient Internet of Things Communications in Smart Cities. Appl. Sci. 2023, 13, 7745. [Google Scholar] [CrossRef]
  8. Clausen, T.; Jacquet, P. RFC3626: Optimized Link State Routing Protocol (OLSR); IETF: Fremont, CA, USA, 2003. [Google Scholar]
  9. Nguyen, D.; Minet, P. Analysis of MPR selection in the OLSR protocol. In Proceedings of the 21st International Conference on Advanced Information Networking and Applications Workshops (AINAW’07), Niagara Falls, ON, Canada, 21–23 May 2007; IEEE: Piscataway, NJ, USA, 2007; Volume 2, pp. 887–892. [Google Scholar]
  10. Sagar, S.; Saqib, J.; Bibi, A.; Javaid, N. Evaluating and comparing the performance of DYMO and OLSR in MANETs and in VANETs. In Proceedings of the 2011 IEEE 14th International Multitopic Conference, Karachi, Pakistan, 22–24 December 2011; IEEE: Piscataway, NJ, USA, 2011; pp. 362–366. [Google Scholar]
  11. Shaw, S.; Orea, K.; Venkateswaran, P.; Nandi, R. Simulation and performance analysis of OLSR under identity spoofing attack for mobile ad-hoc networks. In Proceedings of the Computer Networks and Information Technologies: Second International Conference on Advances in Communication, Network, and Computing, CNC 2011, Bangalore, India, 10–11 March 2011; Proceedings 2. Springer: Berlin/Heidelberg, Germany, 2011; pp. 308–310. [Google Scholar] [CrossRef]
  12. Jeon, Y.; Kim, T.H.; Kim, Y.; Kim, J. LT-OLSR: Attack-tolerant OLSR against link spoofing. In Proceedings of the 37th Annual IEEE Conference on Local Computer Networks, Clearwater Beach, FL, USA, 22–25 October 2012; IEEE: Piscataway, NJ, USA, 2012; pp. 216–219. [Google Scholar]
  13. Yih-Chun, H.; Perrig, A. A survey of secure wireless ad hoc routing. IEEE Secur. Priv. 2004, 2, 28–39. [Google Scholar] [CrossRef]
  14. Praveen, K.S.; Gururaj, H.L.; Ramesh, B. Comparative analysis of black hole attack in ad hoc network using AODV and OLSR protocols. Procedia Comput. Sci. 2016, 85, 325–330. [Google Scholar] [CrossRef]
  15. Winjum, E.; Hegland, A.M.; Kure, Ø.; Spilling, P. Replay attacks in mobile wireless ad hoc networks: Protecting the OLSR protocol. In Proceedings of the International Conference on Networking, Reunion Island, France, 17–21 April 2005; Springer: Berlin/Heidelberg, Germany, 2005; pp. 471–479. [Google Scholar] [CrossRef]
  16. Liang, H.; Fan, H.; Cai, F. Defending against wormhole attack in OLSR. Geo-Spat. Inf. Sci. 2006, 9, 229–233. [Google Scholar] [CrossRef]
  17. Alnasser, A.; Sun, H.; Jiang, J. Cyber security challenges and solutions for V2X communications: A survey. Comput. Netw. 2019, 151, 52–67. [Google Scholar] [CrossRef]
  18. Hakeem, S.A.A.; El-Gawad, M.A.A.; Kim, H. Comparative experiments of V2X security protocol based on hash chain cryptography. Sensors 2020, 20, 5719. [Google Scholar] [CrossRef] [PubMed]
  19. Dolnák, I.; Jantošová, A.; Litvik, J. An overview of DNS security in V2X networks. In Proceedings of the 2019 17th International Conference on Emerging eLearning Technologies and Applications (ICETA), Starý Smokovec, Slovakia, 21–22 November 2019; IEEE: Piscataway, NJ, USA, 2019; pp. 156–159. [Google Scholar] [CrossRef]
  20. Shrestha, R.; Nam, S.Y.; Bajracharya, R.; Kim, S. Evolution of V2X communication and integration of blockchain for security enhancements. Electronics 2020, 9, 1338. [Google Scholar] [CrossRef]
  21. Clausen, T.; Herberg, U.; Yi, U. Security Threats to the Optimized Link State Routing Protocol Version 2 (OLSRv2); RFC8116; Internet Engineering Task Force (IETF): Fremont, CA, USA, 2017. [Google Scholar]
  22. Herberg, U.; Clausen, T. Security Issues in the Optimized Link State Routing Protocol Version 2 (OLSRV2). Int. J. Netw. Secur. Its Appl. IJNSA 2010, 2, 162–181. [Google Scholar] [CrossRef][Green Version]
  23. Adjih, C.; Clausen, T.; Jacquet, P.; Laouiti, A.; Muhlethaler, P.; Raffo, D. Securing the OLSR protocol. In Proceedings of the Med-Hoc-Net, Mahdia, Tunisia, 25 June 2003; pp. 25–27. [Google Scholar]
  24. Abdalla, A.M.; Saroit, I.A.; Kotb, A.; Afsari, A.H. Misbehavior nodes detection and isolation for MANETs OLSR protocol. Procedia Comput. Sci. 2011, 3, 115–121. [Google Scholar] [CrossRef][Green Version]
  25. Zougagh, H.; Toumanari, A.; Latif, R.; Idboufker, N. A novel security approach for struggling black hole attack in optimized link state routing protocol. Int. J. Sens. Netw. 2015, 18, 101–110. [Google Scholar] [CrossRef]
  26. Zougagh, H.; Idboufker, N.; Zoubairi, R.; El Ayachi, R. Prevention of Black Hole Attacks on Mobile Ad Hoc Networks Through Intrusion Detection Systems. Int. J. Bus. Data Commun. Netw. IJBDCN 2019, 15, 73–91. [Google Scholar] [CrossRef]
  27. Alamsyah, A.; Purnama, I.K.E.; Setijadi, E.; Purnomo, M.H. MPR selection to the OLSR quality of service in MANET using min-max algorithm. Int. J. Electr. Comput. Eng. 2019, 9, 417. [Google Scholar]
  28. Barabasi, A.L.; Frangos, J. Linked: The New Science of Networks, 1st ed.; Perseus Books Group: New York, NY, USA, 2002. [Google Scholar]
  29. Buchanan, M. Small World: Uncovering Nature’s Hidden Networks, 1st ed; Weidenfeld & Nicolson: London, UK, 2002. [Google Scholar]
  30. Dorogovtsev, S.N.; Mendes, J.F.F. Evolution of Networks: From Biological Nets to the Internet and the WWW; Oxford University Press: Oxford, UK, 2003. [Google Scholar]
  31. Caldarelli, G. Scale-Free Networks: Complex Webs in Nature and Technology; Oxford University Press: Oxford, UK, 2007. [Google Scholar]
  32. Policarpo, J.M.P.; Ramos, A.A.G.F.; Dye, C.; Faria, N.R.; Leal, F.E.; Moraes, O.J.S.; Parag, K.V.; Peixoto, P.S.; Buss, L.; Sabino, E.C.; et al. Scale-free dynamics of COVID-19 in a Brazilian city. Appl. Math. Model. 2023, 121, 166–184. [Google Scholar] [CrossRef] [PubMed]
Figure 1. Workflow of the proposed approach.
Figure 1. Workflow of the proposed approach.
Electronics 12 03390 g001
Figure 3. HELLO messages Neighbors Discovery [8].
Figure 3. HELLO messages Neighbors Discovery [8].
Electronics 12 03390 g003
Figure 5. Normal Packet flooding and optimized packet flooding with MPR selection representation [10].
Figure 5. Normal Packet flooding and optimized packet flooding with MPR selection representation [10].
Electronics 12 03390 g005
Figure 6. OLSR network attacks.
Figure 6. OLSR network attacks.
Electronics 12 03390 g006
Figure 7. Blackhole Attack.
Figure 7. Blackhole Attack.
Electronics 12 03390 g007
Figure 8. Replay attack process.
Figure 8. Replay attack process.
Electronics 12 03390 g008
Figure 9. Central server queries exchanges with nodes.
Figure 9. Central server queries exchanges with nodes.
Electronics 12 03390 g009
Figure 10. Scale Free Topology.
Figure 10. Scale Free Topology.
Electronics 12 03390 g010
Figure 11. Topology changes after round 1.
Figure 11. Topology changes after round 1.
Electronics 12 03390 g011
Figure 12. Topology changes after round 2.
Figure 12. Topology changes after round 2.
Electronics 12 03390 g012
Figure 13. Simulation topology.
Figure 13. Simulation topology.
Electronics 12 03390 g013
Figure 14. Scenario 1: Node_(1) routing table.
Figure 14. Scenario 1: Node_(1) routing table.
Electronics 12 03390 g014
Figure 15. Scenario 1: Node_(1) MPR table.
Figure 15. Scenario 1: Node_(1) MPR table.
Electronics 12 03390 g015
Figure 16. Scenario 2: Node_(1) Routing table.
Figure 16. Scenario 2: Node_(1) Routing table.
Electronics 12 03390 g016
Figure 17. Scenario 2: Node_(1) MPR table.
Figure 17. Scenario 2: Node_(1) MPR table.
Electronics 12 03390 g017
Figure 18. Packet drop percentage by number of malicious nodes.
Figure 18. Packet drop percentage by number of malicious nodes.
Electronics 12 03390 g018
Table 1. Simulation Parameters.
Table 1. Simulation Parameters.
ParameterDescription
SimulatorNS2
TC interval5
HELLO interval2
Refresh Timeout Interval2
Neighbor hold time6
Topology hold time15
Duplicate hold time30
Traffic typeUDP
Table 2. OLSR performance evaluation.
Table 2. OLSR performance evaluation.
Scenario 1Scenario 2
Networks MetricsValueValue
Total Packets Sent10,51210,512
Total Packets Received10,0335063
Total Packets Dropped4795449
Packets Delivery Ratio95.44%48.16%
Table 3. New-OLSR performance evaluation under Attack.
Table 3. New-OLSR performance evaluation under Attack.
Networks MetricsValue
Total Packets Sent10,512
Total Packets Received9197
Total Packets Dropped1333
Packets Delivery Ratio87.31%
Disclaimer/Publisher’s Note: The statements, opinions and data contained in all publications are solely those of the individual author(s) and contributor(s) and not of MDPI and/or the editor(s). MDPI and/or the editor(s) disclaim responsibility for any injury to people or property resulting from any ideas, methods, instructions or products referred to in the content.

Share and Cite

MDPI and ACS Style

Idboufker, N.; Mssassi, S.; Alaoui, C.M.; Zougagh, H. Election of MPR Nodes and Detection of Malicious Nodes Based on a Byzantine Fault in the OLSR Protocol Case of a Scale-Free Network. Electronics 2023, 12, 3390. https://doi.org/10.3390/electronics12163390

AMA Style

Idboufker N, Mssassi S, Alaoui CM, Zougagh H. Election of MPR Nodes and Detection of Malicious Nodes Based on a Byzantine Fault in the OLSR Protocol Case of a Scale-Free Network. Electronics. 2023; 12(16):3390. https://doi.org/10.3390/electronics12163390

Chicago/Turabian Style

Idboufker, Noureddine, Souhail Mssassi, Chahid Mohamed Alaoui, and Hicham Zougagh. 2023. "Election of MPR Nodes and Detection of Malicious Nodes Based on a Byzantine Fault in the OLSR Protocol Case of a Scale-Free Network" Electronics 12, no. 16: 3390. https://doi.org/10.3390/electronics12163390

APA Style

Idboufker, N., Mssassi, S., Alaoui, C. M., & Zougagh, H. (2023). Election of MPR Nodes and Detection of Malicious Nodes Based on a Byzantine Fault in the OLSR Protocol Case of a Scale-Free Network. Electronics, 12(16), 3390. https://doi.org/10.3390/electronics12163390

Note that from the first issue of 2016, this journal uses article numbers instead of page numbers. See further details here.

Article Metrics

Back to TopTop