A Balanced BPF with Wide Bandwidth and Steep Selectivity Based on Slotline Stub Loaded Resonators (SSLRs)
Abstract
:1. Introduction
2. Balanced Wideband BPF
2.1. Overall Architecture
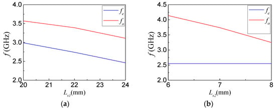
2.2. SSLR
2.3. DM Transmission
2.4. DM Notched Band
2.5. CM Suppression
2.6. Simulated and Measured S-Parameters
3. Conclusions
Author Contributions
Funding
Data Availability Statement
Conflicts of Interest
Abbreviations
| BPF | Bandpass filter |
| CMA | Characteristic mode analysis |
| CM | Common-mode |
| DM | Differential mode |
| DR | Dielectric resonator |
| HFSS | High Frequency Structural Simulator |
| SSLRs | Slotline Stub Loaded Resonators |
| SLRs | Stub loaded resonators |
| TPs | Transmission poles |
| TZs | Transmission zeros |
| VNA | Vector network analyzer |
| UWB | Ultra-wide Band |
References
- Rich, W.F.; Stringer, T.A. System-Generated Electromagnetic Pulse and Spacecraft Charging Effects: A Review of the Technology as Applied to System Hardening Problems. IEEE Trans. Nucl. Sci. 1980, 27, 1523–1528. [Google Scholar] [CrossRef]
- Qiang, J.; Shi, J.; Cao, Q.; Shen, Z. Compact Differential Wideband Bandpass Filters Based on Half-Wavelength Lines. IEEE Microw. Wirel. Compon. Lett. 2017, 27, 906–908. [Google Scholar] [CrossRef]
- Feng, W.; Gao, X.; Che, W.; Yang, W.; Xue, Q. High Selectivity Wideband Balanced Filters with Multiple Transmission Zeros. IEEE Trans. Circuits Syst. II Express Briefs 2017, 64, 1182–1186. [Google Scholar] [CrossRef]
- Chen, J.-X.; Li, J.; Shi, J. Miniaturized Dual-Band Differential Filter Using Dual-Mode Dielectric Resonator. IEEE Microw. Wirel. Compon. Lett. 2018, 28, 657–659. [Google Scholar] [CrossRef]
- Xu, L.; Wang, Z.X.; Wei, F.; Li, R.; Zou, X.T. A Highly Selective Balanced Wideband Bandpass Filter Based on Nested Split-ring rResonators. Int. J. RF Microw. Comput. -Aided Eng. 2019, 29, e21875. [Google Scholar] [CrossRef]
- Wei, F.; Yang, Z.-J.; Qin, P.-Y.; Guo, Y.J.; Li, B.; Shi, X.-W. A Balanced-to-Balanced In-Phase Filtering Power Divider with High Selectivity and Isolation. IEEE Trans. Microw. Theory Tech. 2019, 67, 683–694. [Google Scholar] [CrossRef]
- Wei, F.; Guo, Y.J.; Qin, P.-Y.; Shi, X.W. Compact Balanced Dual- and Tri-band Bandpass Filters Based on Stub Loaded Resonators. IEEE Microw. Wirel. Compon. Lett. 2015, 25, 76–78. [Google Scholar] [CrossRef]
- Guo, X.; Zhu, L.; Wu, W. Strip-Loaded Slotline Resonators for Differential Wideband Bandpass Filters with Intrinsic Common-Mode Rejection. IEEE Trans. Microw. Theory Tech. 2016, 64, 450–458. [Google Scholar] [CrossRef]
- Available online: https://www.rogerscorp.cn/advanced-electronics-solutions/rt-duroid-laminates/rt-duroid-5880-laminates (accessed on 6 June 2023).
- Available online: https://www.3ds.com/products-services/simulia/products/cst-studio-suite/ (accessed on 6 June 2023).
- Zhang, W.; Wu, Y.; Liu, Y.; Yu, C.; Hasan, A.; Ghannouchi, F.M. Planar Wideband Differential-Mode Bandpass Filter with Common-Mode Noise Absorption. IEEE Microw. Wirel. Compon. Lett. 2017, 27, 458–460. [Google Scholar] [CrossRef]
- Feng, L.-P.; Zhu, L. Strip-Loaded Slotline Resonator for Compact Differential-Mode Bandpass Filters with Improved Upper Stopband Performance. IEEE Microw. Wirel. Compon. Lett. 2017, 27, 108–110. [Google Scholar] [CrossRef]
- Aliqab, K.; Hong, J. Wideband Differential-Mode Bandpass Filters with Stopband and Common-Mode Suppression. IEEE Microw. Wirel. Compon. Lett. 2020, 30, 233–236. [Google Scholar] [CrossRef]
- Chen, W.; Wu, Y.; Wang, W. Planar Wideband High-Selectivity Impedance-Transforming Differential Band-pass Filter with Deep Common-Mode Suppression. IEEE Trans. Circuits Syst. II Express Briefs 2020, 67, 1914–1918. [Google Scholar]
- Wang, X.-H.; Zhang, H.; Wang, B.-Z. A Novel Ultra-Wideband Differential Filter Based on Microstrip Line Structures. IEEE Microw. Wirel. Compon. Lett. 2013, 23, 128–130. [Google Scholar] [CrossRef]












| W1 | 2.4 | Ws5 | 0.15 | Ls1 | 8.0 | G1 | 0.1 |
| W2 | 2.0 | Ws6 | 0.5 | Ls2 | 2.0 | G2 | 0.2 |
| W3 | 4.0 | Ws7 | 0.2 | Ls3 | 1.5 | G3 | 0.3 |
| Ws1 | 5.2 | Ws8 | 0.15 | Ls4 | 10.0 | Lr1 | 7.1 |
| Ws2 | 0.12 | L1 | 12 | Ls5 | 10.0 | Lr2 | 2.8 |
| Ws3 | 0.65 | L2 | 11 | Ls6 | 10.2 | Wr1 | 0.5 |
| Ws4 | 0.15 | L3 | 10 | Ls7 | 5.0 | Wr2 | 0.4 |
| R1 | 0.2 | L4 | 6.75 |
| Mode | Mode 1 (2.5 GHz) | Mode 2 (3.7 GHz) |
|---|---|---|
![]() | ![]() | ![]() |
| Refs. | f0 (GHz)/ 3-dB FBW (%) | ∆f3dB/∆f20dB * | CMS (dB) | Stopband (GHz) |
|---|---|---|---|---|
| [11] | 2/55.5 | 0.53 | 25.38 | 5.0 |
| [2] | 1.8/57.8 | 0.47 | 20 | 4.5 |
| [12] | 1.3 | 0.58 | 45 | 7.0 |
| [13] Case 2 | 6.85/58 | 0. 6 | 40 | 11 |
| [14] | 2/71.5 | 0.63 | 33 | 3.5 |
| This work | 5.1/92 | 0.73 | 34 | 20 |
Disclaimer/Publisher’s Note: The statements, opinions and data contained in all publications are solely those of the individual author(s) and contributor(s) and not of MDPI and/or the editor(s). MDPI and/or the editor(s) disclaim responsibility for any injury to people or property resulting from any ideas, methods, instructions or products referred to in the content. |
© 2023 by the authors. Licensee MDPI, Basel, Switzerland. This article is an open access article distributed under the terms and conditions of the Creative Commons Attribution (CC BY) license (https://creativecommons.org/licenses/by/4.0/).
Share and Cite
Liu, Y.; Wu, W.; Li, J.; Zhao, M.; Wei, F. A Balanced BPF with Wide Bandwidth and Steep Selectivity Based on Slotline Stub Loaded Resonators (SSLRs). Electronics 2023, 12, 3389. https://doi.org/10.3390/electronics12163389
Liu Y, Wu W, Li J, Zhao M, Wei F. A Balanced BPF with Wide Bandwidth and Steep Selectivity Based on Slotline Stub Loaded Resonators (SSLRs). Electronics. 2023; 12(16):3389. https://doi.org/10.3390/electronics12163389
Chicago/Turabian StyleLiu, Yifei, Wei Wu, Jinxi Li, Mo Zhao, and Feng Wei. 2023. "A Balanced BPF with Wide Bandwidth and Steep Selectivity Based on Slotline Stub Loaded Resonators (SSLRs)" Electronics 12, no. 16: 3389. https://doi.org/10.3390/electronics12163389
APA StyleLiu, Y., Wu, W., Li, J., Zhao, M., & Wei, F. (2023). A Balanced BPF with Wide Bandwidth and Steep Selectivity Based on Slotline Stub Loaded Resonators (SSLRs). Electronics, 12(16), 3389. https://doi.org/10.3390/electronics12163389



