Rigid–Flexible Coupled System Attitude–Orbit Integration Fixed-Time Control
Abstract
1. Introduction
2. Preliminaries
3. Model Establishment
3.1. Mathematical Model of a Single Rigid–Flexion Coupled Spacecraft
- (1)
- The main body of the spacecraft is rigid, and it can freely engage in unrestricted translational and rotational motion relative to inertial space.
- (2)
- The attachment is modeled as a flexible body that can be discretization by the finite element method, and its translational and rotational motions relative to the platform are limited.
- (3)
- Assuming that the elastic displacement of the satellite’s flexible attachment is very small, it follows the theory of linear elasticity.
- (4)
- The centroid of the entire system coincides with the geometric center, and the displacement of the system centroid caused by the vibration of flexible attachments is a negligibly small amount.
- (1)
- Earth-Centered Inertial (ECI) : Taking the center of the Earth as the origin, the x-axis points towards the vernal equinox along the intersection of the equatorial and ecliptic planes, the z-axis points towards the North Pole, and the y-axis is determined by the right-hand rule.
- (2)
- Satellite system: With the center of mass of the spacecraft as the origin, the x-axis, y-axis, and z-axis are the three inertia axes of the spacecraft.
- (3)
- Floating coordinate system : The floating coordinate system is the follow-up coordinate system for the flexible module to move relative to the attitude of the main spacecraft. When the origin of the coordinate system is attached to the material point of the flexible attachment space structure, the direction of the three-axis is determined by the attachment direction of the coordinate system; When the origin of the coordinate system is not attached to the material point of the flexible attachment structure, the position of the origin of the coordinate system and the direction of the three-axis is determined by the defined constraint conditions.
3.2. An Integrated Relative Motion Model for Attitude Orbit of a Rigid–Flexion Coupled Spacecraft
3.2.1. Relative Kinematics Model
3.2.2. Relative Dynamics Model
3.3. A Dynamics Model for Relative Error Motion of Rigid–Flexion Coupled Spacecraft
4. Fixed Time Non-Singular Terminal Sliding Mode Design
- Select Lyapunov function
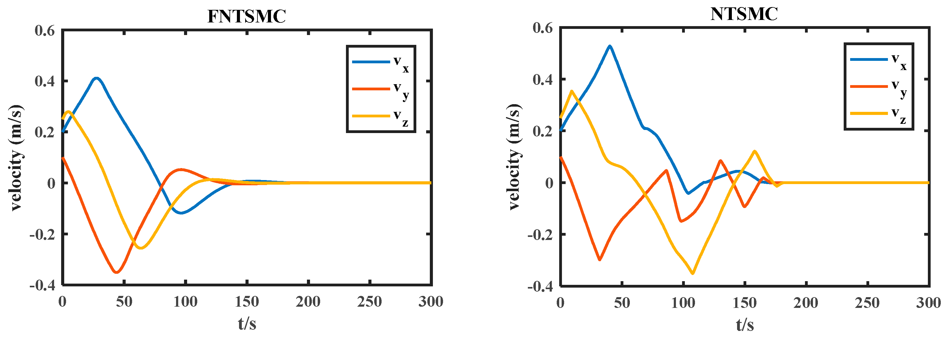
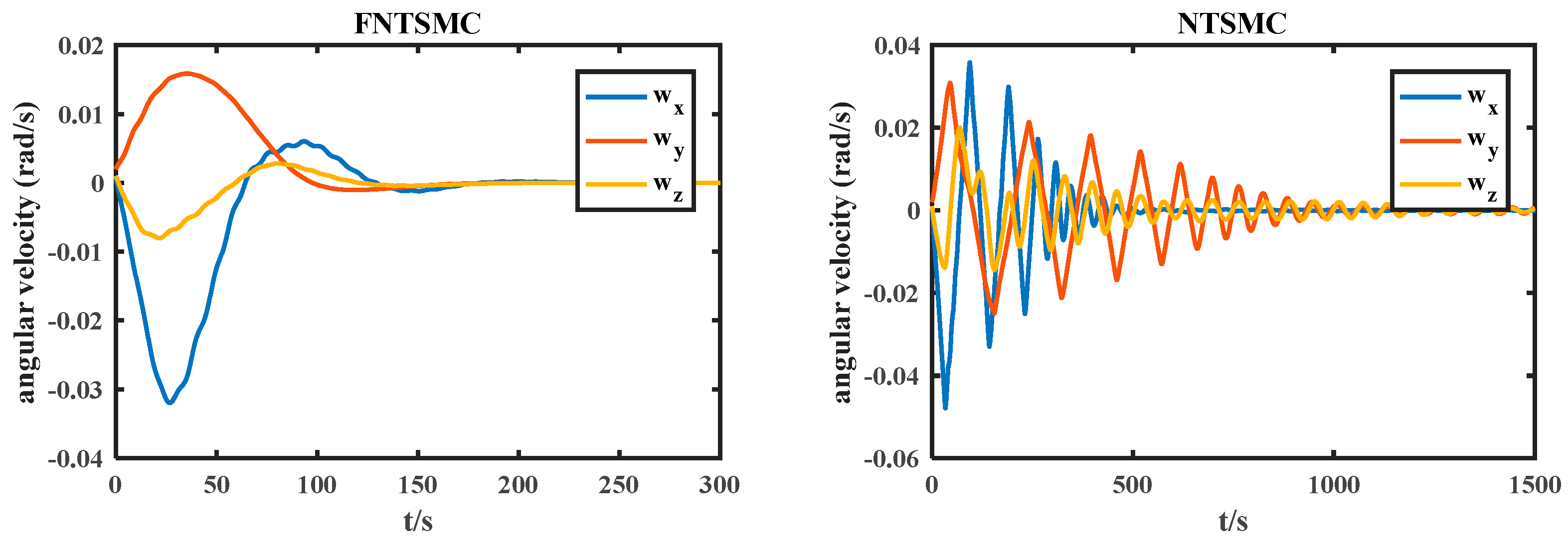
5. Simulation and Results
6. Conclusions
Author Contributions
Funding
Data Availability Statement
Conflicts of Interest
References
- Ma, S.; Song, X.; Li, J.; Sun, Y.; Wang, Y. Adaptive tracking control for diffractive film based on nonlinear sliding mode. Trans. Nanjing Univ. Aeronaut. Astronaut. 2022, 39, 696–706. [Google Scholar]
- Enrique, J.F.; Pablo, A. Membrane deformable mirror for adaptive optics: Performance limits in visual optics. Opt. Express 2003, 11, 1056–1069. [Google Scholar]
- Hyde, R.A. Eyeglass-1 Very large aperture diffractive telescopes. Appl. Opt. 1999, 38, 4198–4212. [Google Scholar] [CrossRef]
- Daniel, C.; David, J. Technology for the next generation space telescope. In UV, Optical, and IR Space Telescopes and Instruments, Proceedings of the Astronomical Telescopes and Instrumentation, Munich, Germany, 27 March–1 April 2000; SPIE: Bellingham, DC, USA, 2000; Volume 4013, pp. 784–794. [Google Scholar]
- Qu, W.D.; Gu, H.R.; Tan, Q.F. Design of refractive/diffractive hybrid optical elements for beam shaping with large diffraction pattern. Chin. Opt. Lett. 2016, 14, 031404. [Google Scholar]
- Tandy, W.; Atcheson, P.; Domber, J.; Seltzer, A. MOIRE gossamer space telescope—Structural challenges and solutions. In Proceedings of the 53rd AIAA/ASME/ASCE/AHS/ASC Structures, Structural Dynamics and Materials Conference <BR> 20th AI, Honolulu, HI, USA, 23–26 April 2012. [Google Scholar]
- Hawarden, T.G.; Johnstone, C.; Johnstone, G. GISMO, an ELT in space: A giant (30-m) far-infrared and sub-millimeter space observatory. In Second Backaskog Workshop on Extremely Large Telescopes, Proceedings of the 2nd Backaslog Workshop on Extremely Large Telescopes, Backaskog, Sweden, 9–11 September 2003; SPIE: Bellingham, DC, USA, 2004. [Google Scholar]
- Staguhn, J.; Allen, C.; Benford, D.; Sharp, E.; Ames, T.; Arendt, R.; Chuss, D.; Dwek, E.; Kovacs, A.; Maher, S.; et al. GISMO, a 2mm bolometer camera optimized for the study of high redshift galaxies. J. Low Temp. Phys. 2008, 151, 709–714. [Google Scholar] [CrossRef]
- Berdeu, L. New progress on the Fresnel imager for UV space astronomy. Astrophys. Space Sci. 2014, 354, 147–153. [Google Scholar]
- Raksasataya, T.; de Castro, A.-I.G.; Koechlin, L.; Rivet, J.P. A space Fresnel imager for ultra-violet astrophysics: Example on accretion disks. Exp. Astron. 2011, 30, 183–194. [Google Scholar] [CrossRef]
- Machi, V. Air Force’s June R&D Launch to Test SpaceX’s Falcon Heavy Reusability in ‘Most Challenging’ Mission Yet. Defense Daily, 10 June 2019. Available online: https://www.defensedaily.com/air-forces-june-rd-launch-test-space-xs-falcon-heavy-reusability-challenging-mission-yet/space/ (accessed on 17 June 2023).
- Garrett-Glaser, B. SpaceX’s historic falcon heavy arabsat-6a launch is a success. Defense Daily, 12 April 2019. Available online: https://www.defensedaily.com/spacexs-historic-falcon-heavy-arabsat-6a-launch-success/uncategorized/ (accessed on 17 June 2023).
- Feng, Z.Y.; Wang, J.W.; Wan, N.; Li, H.Y. Distributed Adaptive NN-Based Attitude Synchronous Tracking Control with Input Saturation. Electronics 2023, 11, 4093. [Google Scholar] [CrossRef]
- Amrr, S.M.; Alturki, A.; Kumar, A.; Nabi, M. Prescribed Performance-Based Event-Driven Fault-Tolerant Robust Attitude Control of Spacecraft under Restricted Communication. Electronics 2021, 10, 1709. [Google Scholar] [CrossRef]
- Song, C.; Wei, C.; Yang, F.; Cui, N. High-Order Sliding Mode-Based Fixed-Time Active Disturbance Rejection Control for Quadrotor Attitude System. Electronics 2018, 7, 357. [Google Scholar] [CrossRef]
- Lee, D. Spacecraft coupled tracking maneuver using sliding mode control with input saturation. J. Aerosp. Eng. 2015, 28, 04014136.1–04014136.11. [Google Scholar] [CrossRef]
- Lee, D.; Sanyal, A.K.; Butcher, E.A. Asymptotic tracking control for spacecraft formation flying with decentralized collision avoidance. J. Guid. Control. Dyn. 2015, 38, 587–600. [Google Scholar] [CrossRef]
- Sun, J.; Zhang, X.; Wu, X.; Song, T. Dual-quaternion-based translation-rotation-vibration integrated dynamics modeling for flexible spacecraft. J. Aerosp. Eng. 2019, 32, 04018135.1–04018135.11. [Google Scholar] [CrossRef]
- Henry, D.; Zenteno-Torres, J.; Cieslak, J.; De Loza, A.F.; Dávila, J. A 6-DOF sliding mode fault tolerant control solution for in-orbit autonomous rendezvous. Aerosp. Sci. Technol. 2021, 118, 107050. [Google Scholar] [CrossRef]
- Zhang, X.; Zhu, W.; Wu, X.; Song, T.; Xie, Y.; Zhao, H. Dynamics and control for in-space assembly robots with large translational and rotational maneuvers. Acta Astronaut. 2020, 174, 166–179. [Google Scholar] [CrossRef]
- Sun, L.; Huang, Y.; Fei, H.; Xiao, B.; Yeatman, E.M.; Montazeri, A.; Wang, Z. Fixed-time regulation of spacecraft orbit and attitude coordination with optimal actuation allocation using dual quaternion. Front. Robot. AI 2023, 10, 1138115. [Google Scholar] [CrossRef] [PubMed]
- Martinez-Teran, G.; Urena-Ponce, O.; Soria-Garcia, G.; Ortega-Cisneros, S.; Bayro-Corrochano, E. Fast Study Quadric Interpolation in the Conformal Geometric Algebra Framework. Electronics 2022, 11, 1527. [Google Scholar] [CrossRef]
- Rooney, J. William Kingdon Clifford (1845–1879). In Distinguished Figures in Mechanism and Machine Science; Springer: Berlin/Heidelberg, Germany, 2007. [Google Scholar]
- Kenwright, B. A beginner guide to dual-quaternions: What they are, how they work, and how to use them for 3d character hierarchies. In Proceedings of the 20th International Conference in Central Europe on Computer Graphics, Visualization and Computer Vision, Plzen, Czech Republic, 26–28 June 2012. [Google Scholar]
- Selig, J.M. Geometric Fundamentals of Robotics; Springer: Berlin/Heidelberg, Germany, 2005. [Google Scholar]
- Brodsky, V.; Shoham, M. Dual numbers representation of rigid body dynamics. Mech. Mach. Theory 1999, 34, 693–718. [Google Scholar] [CrossRef]
- Brodsky, V.; Shoham, M. Derivation of dual forces in robot manipulators. Mech. Mach. Theory 1998, 33, 1241–1248. [Google Scholar] [CrossRef]
- Cui, L.; Jin, N.; Chang, S.; Zuo, Z.; Zhao, Z. Fixed-time ESO based fixed-time integral terminal sliding mode controller design for a missile. ISA Trans. 2022, 125, 237–251. [Google Scholar] [CrossRef]
- Jin, N.; Cui, L.; Chang, S.; Zong, Y. Fixed-time ESO-based fixed-time controller design for a Missile. In Advances in Guidance, Navigation and Control, Proceedings of the 2020 International Conference on Guidance, Navigation and Control, ICGNC 2020, Tianjin, China, 23–25 October 2020; Springer: Berlin/Heidelberg, Germany, 2021. [Google Scholar]
- Polyakov, A. Nonlinear feedback design for fixed-time stabilization of linear control systems. IEEE Trans. Autom. Control. 2012, 57, 2106–2110. [Google Scholar] [CrossRef]
- Zhang, L.; Xia, Y.; Shen, G.; Cui, B. Fixed-time attitude tracking control for spacecraft based on a fixed-time extended state observer. Sci. China Inf. Sci. 2021, 64, 212201. [Google Scholar] [CrossRef]
- Chen, C.; Li, L.; Peng, H.; Yang, Y.; Mi, L.; Wang, L. A new fixed-time stability theorem and its application to the synchronization control of memristive neural networks. Neurocomputing 2019, 349, 290–300. [Google Scholar] [CrossRef]
- Park, Y. Robust and optimal attitude stabilization of spacecraft with external disturbances. Aerosp. Sci. Technol. 2005, 9, 253–259. [Google Scholar] [CrossRef]













| 7,200,000 | 0 | 45 | 0 | 0 | 30 |
| Attitude quaternion error | |
| Track position error | |
| Attitude angular velocity error | |
| velocity error |
| Translational Coupling Matrix | Rotational Coupling Matrix | Modal Damping Coefficient | Modal Stiffness Coefficient |
|---|---|---|---|
Disclaimer/Publisher’s Note: The statements, opinions and data contained in all publications are solely those of the individual author(s) and contributor(s) and not of MDPI and/or the editor(s). MDPI and/or the editor(s) disclaim responsibility for any injury to people or property resulting from any ideas, methods, instructions or products referred to in the content. |
© 2023 by the authors. Licensee MDPI, Basel, Switzerland. This article is an open access article distributed under the terms and conditions of the Creative Commons Attribution (CC BY) license (https://creativecommons.org/licenses/by/4.0/).
Share and Cite
Zhang, Y.; Ma, C.; Ma, S.; Pan, J.; Sui, X.; Lin, B.; Shi, M. Rigid–Flexible Coupled System Attitude–Orbit Integration Fixed-Time Control. Electronics 2023, 12, 3329. https://doi.org/10.3390/electronics12153329
Zhang Y, Ma C, Ma S, Pan J, Sui X, Lin B, Shi M. Rigid–Flexible Coupled System Attitude–Orbit Integration Fixed-Time Control. Electronics. 2023; 12(15):3329. https://doi.org/10.3390/electronics12153329
Chicago/Turabian StyleZhang, Yinghui, Chen Ma, Songjing Ma, Junfeng Pan, Xiaohong Sui, Boxuan Lin, and Mengjie Shi. 2023. "Rigid–Flexible Coupled System Attitude–Orbit Integration Fixed-Time Control" Electronics 12, no. 15: 3329. https://doi.org/10.3390/electronics12153329
APA StyleZhang, Y., Ma, C., Ma, S., Pan, J., Sui, X., Lin, B., & Shi, M. (2023). Rigid–Flexible Coupled System Attitude–Orbit Integration Fixed-Time Control. Electronics, 12(15), 3329. https://doi.org/10.3390/electronics12153329
