Discrete-Time Incremental Backstepping Control with Extended Kalman Filter for UAVs
Abstract
1. Introduction
2. Problem Formulation and Preliminaries
3. DTIBS Controller with EKF
3.1. Design of a Local Flight State Estimator Based on EKF
- (1)
- State prediction equation:
- (2)
- Variance matrix prediction equation:
- (3)
- Kalman gain matrix equation:
- (4)
- Covariance matrix estimating equation:
- (5)
- State estimation equation:
3.2. Controller Design and Stability Analysis
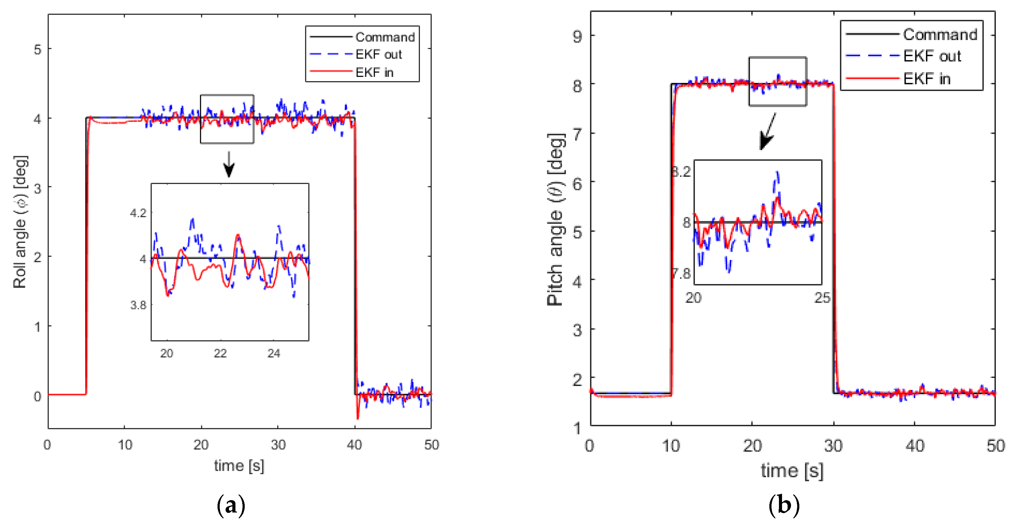
4. Simulation Study
5. Conclusions
Author Contributions
Funding
Data Availability Statement
Conflicts of Interest
Appendix A
| Parameter | Unit | Value |
|---|---|---|
| Wing Span | 3.1 | |
| Mass | 28 | |
| Wing Area | 1.8 | |
| Average Aerodynamic Chord of the Wing | --- | 0.58 |
References
- Liu, Z.; Zhang, Y.; Liang, J.; Chen, H. Application of the Improved Incremental Nonlinear Dynamic Inversion in Fixed-Wing UAV Flight Tests. J. Aerosp. Eng. 2022, 35, 4022091. [Google Scholar] [CrossRef]
- Hassani, H.; Mansouri, A.; Ahaitouf, A. Robust Autonomous Flight for Quadrotor UAV Based on Adaptive Nonsingular Fast Terminal Sliding Mode Control. Int. J. Dyn. Control. 2021, 9, 619–635. [Google Scholar] [CrossRef]
- Xu, W.; Cao, L.; Peng, B.; Wang, L.; Gen, C.; Liu, Y. Adaptive Nonsingular Fast Terminal Sliding Mode Control of Aerial Manipulation Based on Nonlinear Disturbance Observer. Drons 2023, 7, 88. [Google Scholar] [CrossRef]
- He, M.; Guanling, W.; Shuhao, Y. Optimization of Fuzzy PID Control Algorithm and its Application in UAV. J. Shandong Norm. Univ. Nat. Sci. 2018, 33, 82–87. [Google Scholar]
- Sun, L.G.; de Visser, C.C.; Chu, Q.P.; Mulder, J.A. Joint Sensor Based Backstepping for Fault-Tolerant Flight Control. J. Guid. Control. Dyn. 2015, 38, 62–75. [Google Scholar] [CrossRef]
- Morse, A.; Kokotovic, P.; Kanellakopoulos, I. Systematic Design of Adaptive Controllers for Feedback Linearizable Systems. In Proceedings of the 1991 American Control Conference, Boston, MA, USA, 26–28 June 1991. [Google Scholar]
- Cao, L.; Li, X.; Hu, Y.; Liu, M.; Li, J. Discrete-Time Incremental Backstepping Controller for Unmanned Aircrafts Subject to Actuator Constraints. Aerosp. Sci. Technol. 2020, 96, 105530. [Google Scholar] [CrossRef]
- Swaroop, D.; Hedrick, J.K.; Yip, P.P.; Gerdes, J.C. Dynamic Surface Control for a Class of Nonlinear Systems. IEEE Trans. Autom. Control. 2000, 45, 1893–1899. [Google Scholar] [CrossRef]
- Farrell, J.A.; Polycarpou, M.; Sharma, M.; Dong, W. Command Filtered Backstepping. IEEE Trans. Autom. Control 2009, 54, 1391–1395. [Google Scholar] [CrossRef]
- Wu, Z.; Ni, J.; Qian, W.; Bu, X.; Liu, B. Composite Prescribed Performance Control of Small Unmanned Aerial Vehicles Using Modified Nonlinear Disturbance Observer. ISA Trans. 2021, 116, 30–45. [Google Scholar] [CrossRef]
- Lynch, A.F.; Moeini, A.; Zhao, Q. A Backstepping Disturbance Observer Control for Multirotor UAVs: Theory and Experiment. Int. J. Control 2022, 95, 2364–2378. [Google Scholar]
- Nguyen, N.P.; Oh, H.; Kim, Y.; Moon, J.; Yang, J.; Chen, W. Finite-Time Disturbance Observer-Based Modified Super-Twisting Algorithm for Systems with Mismatched Disturbances: Application to Fixed-wing UAVs under Wind Disturbances. Int. J. Robust Nonlinear 2021, 31, 7317–7343. [Google Scholar] [CrossRef]
- Ulus, S.; Eski, I. Neural Network and Fuzzy Logic-based Hybrid Attitude Controller Designs of a Fixed-wing UAV. Neural Comput. Appl. 2021, 33, 8821–8843. [Google Scholar] [CrossRef]
- Rao, J.; Li, B.; Zhang, Z.; Chen, D.; Giernacki, W. Position Control of Quadrotor UAV Based on Cascade Fuzzy Neural Network. Energies 2022, 15, 1763. [Google Scholar] [CrossRef]
- Lu, P.; Van Kampen, E.; Chu, Q.P. Robustness and Tuning of Incremental Backstepping Approach. In Proceedings of the AIAA Guidance, Navigation, and Control Conference, Kissimmee, FL, USA, 5–9 January 2015. [Google Scholar]
- Lu, P.; van Kampen, E.; de Visser, C.; Chu, Q. Aircraft Fault-Tolerant Trajectory Control Using Incremental Nonlinear Dynamic Inversion. Control Eng. Pract. 2016, 57, 126–141. [Google Scholar] [CrossRef]
- Van Ekeren, W.; Looye, G.; Kuchar, R.; Chu, Q.; van Kampen, E. Design, Implementation and Flight-Tests of Incremental Nonlinear Flight Control Methods. In Proceedings of the 2018 AIAA Guidance, Navigation, and Control Conference, Kissimmee, FL, USA, 8–12 January 2018. [Google Scholar]
- Guerreiro, N.M.; Moutinho, A. Robust Incremental Backstepping Controller for the Attitude and Airspeed Tracking of a Commercial Airplane. In Proceedings of the 2019 IEEE 10th International Conference on Mechanical and Aerospace Engineering (ICMAE), Brussels, Belgium, 22–25 July 2019. [Google Scholar]
- Cordeiro, R.A.; Azinheira, J.R.; Moutinho, A. Robustness of Incremental Backstepping Flight Controllers: The Boeing 747 Case Study. IEEE Trans. Aerosp. Electron. Syst. 2021, 57, 3492–3505. [Google Scholar] [CrossRef]
- Chang, J.; Guo, Z.; Cieslak, J.; Chen, W. Integrated Guidance and Control Design for the Hypersonic Interceptor Based on Adaptive Incremental Backstepping Technique. Aerosp. Sci. Technol. 2019, 89, 318–332. [Google Scholar] [CrossRef]
- Wang, Y.C.; Chen, W.S.; Zhang, S.X.; Zhu, J.W.; Cao, L.J. Command-Filtered Incremental Backstepping Controller for Small Unmanned Aerial Vehicles. J. Guid. Control. Dyn. 2018, 41, 954–967. [Google Scholar] [CrossRef]
- Liu, J.; Sun, L.; Tan, W.; Liu, X.; Li, G. Finite Time Observer Based Incremental Nonlinear Fault-tolerant Flight Control. Aerosp. Sci. Technol. 2020, 104, 105986. [Google Scholar] [CrossRef]
- Safwat, E.; Kamel, A. Generic UAV Autopilot Prototype Based on Adaptive Modified Incremental Backstepping. In Proceedings of the AIAA Scitech 2021 Forum, Virtual Event, 11–15 & 19–21 January 2021. [Google Scholar]
- Xu, H.; Li, P.; Wen, L.; Wang, Z. Vision/Inertial Integrated Navigation Method for Quadcopter Based on EKF State Observer. J. Phys. Conf. Ser. 2021, 1748, 62076. [Google Scholar] [CrossRef]
- Rubio Hervas, J.; Reyhanoglu, M.; Tang, H.; Kayacan, E. Nonlinear Control of Fixed-Wing UAVs in Presence of Stochastic Winds. Commun. Nonlinear Sci. 2016, 33, 57–69. [Google Scholar] [CrossRef]
- Gao, J.; Zhang, Q.; Chen, J.; Dewasme, L. EKF-Based Actuator Fault Detection and Diagnosis Method for Tilt-Rotor Unmanned Aerial Vehicles. Math. Probl. Eng. 2020, 2020, 8019017. [Google Scholar] [CrossRef]
- Gu, H.; Jin, C.; Yuan, H.; Chen, Y. Design and Implementation of Attitude and Heading Reference System with Extended Kalman Filter Based on MEMS Multi-Sensor Fusion. Int. J. Uncertain. Fuzziness Knowl.-Based Syst. 2021, 29, 157–180. [Google Scholar] [CrossRef]
- Hsia, T.C. A New Technique for Robust Control of Servo Systems. IEEE Trans. Ind. Electron. 1989, 36, 1–7. [Google Scholar] [CrossRef]
- Youcef-Toumi, K.; Wu, S.T. Input/Output Linearization Using Time Delay Control. J. Dyn. Syst. Meas. Control. 1992, 114, 10–19. [Google Scholar] [CrossRef]
- Hsia, T.C.; Gao, L.S. Robot Manipulator Control Using Decentralized Linear Time-Invariant Time-Delayed Joint Controllers. In Proceedings of the IEEE International Conference on Robotics and Automation, Cincinnati, OH, USA, 13–18 May 1990. [Google Scholar]
- Cho, S.; Jin, M.; Kuc, T.; Lee, J.S. Stability Guaranteed Auto-Tuning Algorithm of a Time-Delay Controller Using a Modified Nussbaum Function. Int. J. Control 2014, 87, 1926–1935. [Google Scholar] [CrossRef]
- Wang, Y.; Yan, F.; Chen, J.; Ju, F.; Chen, B. A New Adaptive Time-Delay Control Scheme for Cable-Driven Manipulators. IEEE Trans. Ind. Inform. 2019, 15, 3469–3481. [Google Scholar] [CrossRef]
- Lee, J.; Chang, P.H.; Jin, M. Adaptive Integral Sliding Mode Control With Time-Delay Estimation for Robot Manipulators. IEEE Trans. Ind. Electron. 2017, 64, 6796–6804. [Google Scholar] [CrossRef]
- Wang, Y.; Zhang, Z.; Li, C.; Buss, M. Adaptive incremental sliding mode control for a robot manipulator. Mechatronics 2022, 82, 102717. [Google Scholar] [CrossRef]
- Lee, T.; Kim, Y. Nonlinear Adaptive Flight Control Using Backstepping and Neural Networks Controller. J. Guid. -Ance Control. Dyn. 2001, 24, 675–682. [Google Scholar] [CrossRef]
- Acquatella, B.P.; van Ekeren, W.; Chu, Q.P. PI(D) tuning for Flight Control Systems via Incremental Nonlinear Dynamic Inversion. IFAC-PapersOnLine 2017, 50, 8175–8180. [Google Scholar] [CrossRef]
- Liu, D.; Javaherian, H.; Kovalenko, O.; Huang, T. Adaptive Critic Learning Techniques for Engine Torque and Air–Fuel Ratio Control. IEEE Trans. Syst. Man Cybern. Part B Cybern. 2008, 38, 988–993. [Google Scholar]
- Lijia, C.; Mingtao, L.; Jiefu, L. Local Flight State Estimation for UAVs Closed-Loop Control System. J. Ordnance Equip. Eng. 2019, 40, 114–119. [Google Scholar]
- Ducard, G.J.J. Fault-Tolerant Fight Control and Guidance Systems: Practical Methods for Small Unmanned Aerial Vehicles; Springer: Berlin/Heidelberg, Germany, 2009. [Google Scholar]
- Sieberling, S.; Chu, Q.P.; Mulder, J.A. Robust Flight Control Using Incremental Nonlinear Dynamic Inversion and Angular Acceleration Prediction. J. Guid. Control. Dyn. 2010, 33, 1732–1742. [Google Scholar] [CrossRef]







| Parameter | Unit | Value |
|---|---|---|
| Surface deflection limit | deg | −25 to 25 |
| Surface rate limit | deg/s | −120 to 120 |
| Damping ratio | --- | 0.75 |
| rad/s | 100 |
| Mean Value | Root Mean Square | |
|---|---|---|
| Without EKF | 1.2182 | 3.0513 |
| With EKF | 0.1833 | 0.0197 |
Disclaimer/Publisher’s Note: The statements, opinions and data contained in all publications are solely those of the individual author(s) and contributor(s) and not of MDPI and/or the editor(s). MDPI and/or the editor(s) disclaim responsibility for any injury to people or property resulting from any ideas, methods, instructions or products referred to in the content. |
© 2023 by the authors. Licensee MDPI, Basel, Switzerland. This article is an open access article distributed under the terms and conditions of the Creative Commons Attribution (CC BY) license (https://creativecommons.org/licenses/by/4.0/).
Share and Cite
Liu, Y.; Duan, C.; Liu, L.; Cao, L. Discrete-Time Incremental Backstepping Control with Extended Kalman Filter for UAVs. Electronics 2023, 12, 3079. https://doi.org/10.3390/electronics12143079
Liu Y, Duan C, Liu L, Cao L. Discrete-Time Incremental Backstepping Control with Extended Kalman Filter for UAVs. Electronics. 2023; 12(14):3079. https://doi.org/10.3390/electronics12143079
Chicago/Turabian StyleLiu, Yanju, Chengyu Duan, Lei Liu, and Lijia Cao. 2023. "Discrete-Time Incremental Backstepping Control with Extended Kalman Filter for UAVs" Electronics 12, no. 14: 3079. https://doi.org/10.3390/electronics12143079
APA StyleLiu, Y., Duan, C., Liu, L., & Cao, L. (2023). Discrete-Time Incremental Backstepping Control with Extended Kalman Filter for UAVs. Electronics, 12(14), 3079. https://doi.org/10.3390/electronics12143079

