Abstract
The variational mode decomposition (VMD) method has been widely applied in the field of mechanical fault diagnosis as an excellent non-recursive signal processing tool. The performance of VMD depends on its inherent prior parameters. Searching for the key parameters of VMD using intelligent optimization algorithms poses challenges for the internal essence and fitness function selection of intelligent optimization algorithm. Moreover, the computational complexity of optimization is high. Meanwhile, such methods are not competitive in evaluating orthogonality between intrinsic mode functions and the reconstruction error of the signal as a joint indictor for the termination of decomposition. Therefore, this paper proposes a new auto-regulative sparse variational mode decomposition method (ASparse–VMD) to achieve accurate feature extraction. The regularization term of the VMD handles sparsification by constructing an L2-norm with a damping coefficient ε, and mode number K is set adaptively in a recursive manner to ensure appropriateness. The penalty parameter is dynamically selected according to the number of modes and sampling frequency. The update step τ of the VMD algorithm is set using the signal-to-noise ratio to ensure the singleness and orthogonality of the modal components and suppress mode aliasing. The experimental results of the simulation signal and measured signal demonstrate the effectiveness of the proposed strategies for improving the inherent defects of VMD. Extensive comparisons with state-of-the-art methods show that the proposed algorithm is more effective and practical for hybrid feature extraction in mechanical faults.
1. Introduction
Mechanical vibration signals are an external manifestation of the interactions between various parts of a machine, reflecting important information about the state of the equipment. The strength, phase, frequency distribution, and some statistics are the eigenvalues of the machine state. The processing of mechanical vibration signals can be divided into time and frequency domains, and consists of two main processes: signal feature extraction and fault state identification. A mechanical vibration signal generally exhibits nonlinear and non-stationary features due to noise, structural deformation, velocity shift, and other factors []. Therefore, to accurately identify the fault characteristic information contained in a mechanical vibration signal, it is necessary to efficiently decompose and extract the characteristic modes. In recent years, commonly used signal decomposition methods include ensemble empirical mode decomposition (EMD) [], synchrosqueezing wavelet transform (SWT) [], synchrosqueezing S-transform (SSST) [], local mean decomposition (LMD) [], intrinsic time-scale decomposition (ITD) [], intrinsic mode chirp decomposition [], etc. These methods have been widely used in mechanical fault diagnosis with fruitful results. However, due to the limitations of the theoretical framework, the corresponding processing structure has some inherent flaws. EMD uses interpolation to decompose the signal, which is prone to end effects and modal aliasing. Although variants such as EEMD [] and CEEMD [] were proposed in subsequent studies, the structural defects of EMD cannot be fundamentally eliminated. As a modified method of the wavelet transform [], SWT improves the time–frequency resolution of the energy signal. SSST neglects the instantaneous phase of the signal by more than an order of magnitude, leading to a bias in the estimation of the instantaneous frequency. LMD obtains a finite sum of independent AM/FM signals based on their characteristics, but still cannot avoid the end effect, over-envelope error, and under-envelope error. ITD combines the advantages of EMD and LMD with high time–frequency resolution, fast computation speed, and noise rejection. However, this method is prone to waveform distortion. Variational mode decomposition (VMD) is an adaptive signal processing method proposed on the basis of the submodes with limited bandwidth []. It is essentially different from the aforementioned methods and has been successfully applied in the field of mechanical fault diagnosis. VMD requires the manual setting of parameters such as the number of decomposition modes , quadratic penalty term , initial center frequency, and other hyper parameters in advance. These inherent parameters have a critical impact on the decomposition results. Most importantly, there is a lack of criteria for measuring the results of decomposition.
To study the nature of VMD, many scholars have proposed a large number of optimization and improvement methods in recent years. Li et al. [] introduced an adaptive selection principle for parameter in VMD using the mean instantaneous frequency. Jiang et al. [] proposed a different coarse-to-fine VMD decomposition strategy that selects and according to signal characteristics to obtain the optimal mode. Nazari et al. [] put forward a novel signal decomposition method, termed successive variational mode decomposition (SVMD) that effectively solves the problem of mode number selection for VMD. In application, SVMD is prone to a residual signal without a strict mathematical definition. When the center frequencies of the two modes are particularly close, this method is not effective in distinguishing between them. Inspired by SVMD, a novel successive multivariate variational mode decomposition algorithm (SMVMD) was proposed in []. SMVMD can self-select the number of modes based on their signal characteristics and thus continuously extract joint or common modes, but the separation of modes with similar central frequencies remains to be solved. Based on the instantaneous linear mixture model, this method can continuously extract joint or common modes. Chen et al. [] proposed self-tuning variational mode decomposition, in which the number of modes and penalty parameters are adaptively updated by the energy ratio and orthogonality between the modes in the frequency domain. This method offers good noise suppression and reduces mode aliasing and end effects. However, the validity of this method in the field of fault diagnosis has not been verified. Dey et al. employed a metric based on detrended fluctuation analysis to preset the mode number of VMD. In this study, was based on a comparative selection from the values set by multiple tasks and not an adaptive value []. Zhong et al. applied the whale optimization algorithm (WOA) [] to select the mode parameters [, ] of VMD to improve the accuracy and stability of the classifier for the residual injury detection of foreign object debris on airport runways []. Dibaj et al. proposed an end-to-end fault diagnosis method based on fine-tuned VMD. Data analysis of gearbox systems with compound faults was achieved by tuning the VMD mode frequency []. Nazari et al. [] proposed a new variational mode extraction (VME) algorithm based on VMD. This approach improves VMD by predicting that the residual signal after extracting a particular mode has less energy at the mode’s central frequency. Aiming to solve the multi-fault diagnosis problem of rolling bearings, Li et al. [] introduced an improved VME method to determine the proper penalty factor based on the convergence characteristics of VMD. To evaluate the complex pulse fault components in the signal, a new syncretic impact index (SII) is combined with the artificial bee colony (ABC) algorithm [] to select the optimal mode number and balancing parameter of VMD []. A cuckoo search algorithm [] merged variational mode decomposition (CSA-VMD) was proposed in [], and was adapted to optimize parameters to obtain decomposed multi-component signals. Wang et al. [] proposed a multi-objective particle swarm optimization algorithm to optimize VMD parameters using dynamic symbolic entropy as the optimization index. In [], correntropy was introduced to search for the optimal parameter of VMD, and the maximum correlation entropy criterion in information theory learning was used for the evaluation. Li et al. [] constructed a genetic algorithm [] to optimize the VMD combination parameters (mode number and penalty factor ). Mao et al. explored an ensemble kurtosis index combining kurtosis and envelope spectrum kurtosis []. This index improves the number of modes and penalty parameters of the VMD algorithm. Bi et al. [] proposed an approach to optimize the initial value of the modal center frequency. Zhang et al. [] introduced a fast iterative variational mode decomposition to solve the problem of a traditional VMD parameter setting. Kumar et al. [] developed a strategy using kernel mutual information as an evaluation function to find VMD optimization parameters for bearing defect identification.
The various improvement methods investigated above effectively rectify some inherent problems of VMD. However, these methods do not take into account certain special situations. That is, the center frequencies of two or more single components in a multi-component signal are very close, but remain far away from those of other components. Single components with very close center frequencies will be regarded as a mono-components orthogonal to other items, resulting in spectrum aliasing. Another core problem is that the actual impact of update step on VMD is not considered. On the basis of evaluating the termination conditions for acquiring the original VMD submodes, an embedded binary tree decomposition mode of empirical VMD without preset parameters is proposed in the literature []. This approach thoroughly takes into account the problem of the proximity of the center frequencies of two or more single modes in a multi-component signal, and shows a satisfactory result. However, the binary tree mechanism also suffers from the drawback of a time-consuming decomposition procedure. This is especially the case when the number of modes is relatively large.
In this paper, we propose an empirical sparse VMD algorithm with an automatic adjustment mechanism based on the operational strategy of VMD. This mechanism ensures that the decomposition process of VMD is a fully adaptive process that can effectively avoid mode aliasing problems to some extent. Finally, the proposed ASparse–VMD is verified using a simulation and measured signals, and the experimental results effectively demonstrated the method’s effectiveness. The main contributions of the study are as follows: (1) The number of modes present in the signal is determined by the recursion formalism. (2) We analyze the distribution properties of the signal bands and derive a setting formula for the parameter . (3) According to the operation mechanism of the VMD updating step, the noise level of the signal is applied as the basis for the setting of . This strategy alleviates the problem of mode aliasing at different noise levels. (4) On the basis of updating the Lagrange multiplier , the iteration operator is introduced to update twice, which makes the result of each internal iteration of VMD more accurate. (5) Different tolerance parameters are proposed for the VMD algorithm to ensure the accuracy of the number of modes and obtain better signal reconstruction accuracy.
The remaining sections of this paper are as follows. The mechanism of VMD is described in Section 2 which provides the theoretical derivation and algorithmic structure of empirical sparse VMD. Section 4 presents experimental verification via simulated signals. In Section 5, the effectiveness of the proposed method is verified by the measured signal. Finally, the conclusions are drawn in Section 6.
2. The Principle of VMD
Classical variational mode decomposition is an adaptive signal decomposition method based on the Wiener filter [], Hilbert transform [], and the modulation and demodulation theory. According to the number of modes in the signal sequence, the optimal center frequency and finite bandwidth of each mode are adaptively matched during the search and solution process. Through this process, the intrinsic mode function (IMF) can be effectively separated.
2.1. The Construction of a Variational Model
Assuming that the input signal consists of several components with different central frequencies and limited bandwidth, the signal decomposition problem is formulated as a variational model for decomposition. The steps of this process are as follows [].
Step 1. The unilateral spectrum is obtained by performing the Hilbert transform of each mode .
Step 2. Frequency mixing is performed to modulate the frequency spectrum of each mode to the corresponding fundamental band .
Step 3. Construct the desired variational model
where is the mode number. and represent limited-band components and the corresponding band center of each mode, respectively. is the sum of all band components.
2.2. Solution of Variational Model
By introducing the quadratic penalty factor and Lagrange multiplicative operator , the constrained variational problem is transformed into an unconstrained variational issue. The augmented Lagrangian expression is:
Based on this equation, , , and are alternately updated using the alternating direction method of multipliers (ADMM) to find the saddle points of the augmented Lagrangian expression. Further details about the VMD algorithm can be found in [].
In the original VMD decomposition procedure, decomposition performance heavily depends on the influence of the algorithm’s prior parameters. Inappropriate parameter settings may lead to mode aliasing and mode duplication problems in mode extraction. The number of modes , the second penalty parameter , the noise adjustment parameter , and the update step size are the four key preset parameters.
3. Sparse Variational Mode Decomposition Framework
3.1. Intrinsic Mode Function
Intrinsic mode function (IMF) is an amplitude modulation (AM-FM) signal that can reflect the intrinsic characteristics of the original representation. The IMF equation is as follows:
where represents the k-th components. is the envelope of the signal, which is a non-negative value. is the phase of the signal, which is a non-decreasing function. Taking the derivative of gives the corresponding instantaneous frequency , which varies considerably more slowly than the phase function. Assuming that the spectrum of each IMF component is as close as possible to its central frequency, the limited bandwidth of the IMF is required to be sparse. Meanwhile, the orthogonality principle is further used for determination so that there is no frequency confusion between the obtained IMF components.
3.2. Wiener Filter
The observation signal typically includes the original signal and the observation noise signal :
where is an unknown signal that needs to be reconstructed, which is an ill-posed inverse problem. In [], represents an observation noise with tiny amplitude and adopts standard Tikhonov regularization to solve this challenge. The expression is as follows:
Translating the above equation into the Fourier domain, it becomes:
where is the data-fitting term in the sense of -norm, and is the stabilizing penalty term. indicates the regularization parameter, which plays a major role in balancing the fitting and penalty terms. Standard Tikhonov regularization enables a smooth reconstruction of the signal . However, in practical applications, the signal needs to be reconstructed sparsely. In order to sparsely reconstruct , the standard Tikhonov regularization method needs to be improved. The objective function of Tikhonov regularization can be transformed into the following form:
where denotes the -norm of the penalty term, that is, the number of nonzero vectors. However, this term is not distinguishable, and it is also unsolvable as a non-deterministic polynomial (NP). To solve this challenge, the following forms are adopted:
where denotes the -norm of the penalty term. The use of -norm instead of -norm can be effective in improving computational efficiency, but its penalty terms remain indistinguishable. Therefore, more improvements based on the -norm are required as follows:
where is the -norm with the damping coefficient , which is the sparse regularization term. The auxiliary parameter is a real vector and .
By solving the Euler–Lagrange equations of the above equation, we can obtain the following:
3.3. Sparse Variational Model
Assuming that the input signal is composed of several components with different center frequencies, limited bandwidth and noise, the construction steps are as follows:
Step 1: Convert the analytic signal of each modal function through Hilbert transform to obtain the unilateral spectrum.
Step 2: Perform frequency mixing to modulate the frequency spectrum of each mode to the corresponding fundamental frequency band.
Step 3: Calculate the square L2 norm with the damping coefficient of the above demodulated signal and estimate the bandwidth of each modal signal. The optimal variational model is constructed by introducing constraints.
3.4. Parameters Selection of Model
The parameter values of variational mode decomposition have a large impact on the decomposition performance, and properly choosing parameter values is crucial to ensure decomposition performance. Here, the sparse variational model is chosen as follows.
(1) Choosing the total number of modes . The performance of VMD is extremely sensitive to the value of . The mechanism of constrained conditional self-superposition is used for adaptive selection, which effectively avoids the problem of decomposition validity caused by the empirical and accidental choice of the parameter K.
(2) Choosing the quadratic penalty parameter . The distribution characteristics of the signal bands are analyzed and the value of is derived using the following.
where is the total number of modes expected to be included in the signal. denotes the Sigmoid function. is the sampling frequency of the signal. D is the fine-tuning parameter. Clearly, . The VMD method transforms the time-domain signal into the Fourier domain , and constrains it to . Since the range of the penalty parameter is , is used to constrain to which does not affect the width of in the frequency domain. In addition, constrains the average bandwidth of K mode components to . Given that each IMF is a single component, if the center frequency is too close between neighboring components in the signal , and the value of is too small, the bandwidth of the modal components will be too large, resulting in modal aliasing. On the other hand, the modes in the signal contain harmonic components. If the value of A is too high, the bandwidth of the mode component will be too narrow, and some of the harmonic components in the original component may be lost, leading to signal leakage. As a fine-tuning parameter, can adjust the degree of mode aliasing between IMF components. is a fine-tuning parameter. Appropriate bandwidth constraints can be obtained by dynamically adjusting the value of , to avoid mode aliasing and reduce reconstruction errors.
(3) Selection of noise tolerance .
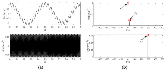
The selection of is related to the noise level of the signal. In practical applications, the noise level of multi-component signals (i.e., mechanical vibration signal) is normally high. If is set to 0, closing the Lagrangian multiplier will essentially reduce Tikhonov regularization to a least-squares form. In other words, even if the noise level of the measured signal is slight, such noise may cause mode aliasing problems. The proposed sparse regularization term with the damping coefficient can still ensure Tikhonov regularization even if the Lagrangian multiplier is turned off. Here, the necessity of is illustrated by an example (the instance is derived from the original code of VMD) []. First, three single-frequency sinusoidal signals with different frequencies ( = 2 Hz, = 24 Hz, and = 288 Hz) are constructed, as shown in Figure 1.
Figure 1.
The simulation signal and its corresponding spectrum: (a) independent component and (b) spectrum.
These three signals are linearly superimposed and the mixed signal is shown in Figure 2. In Figure 2a, the mixed signal does not contain noise, but the signal in Figure 2b contains interference with Noise = 0.2 × randn(•) (a normally distributed random number). Then, the signal in Figure 2b is decomposed using the original VMD.
Figure 2.
Mixed signal: (a) no noise and (b) additive noise.
The parameters are set as = 3 and = 2000, and the decomposed result is shown in Figure 3. When = 0, it can be observed from Figure 3a that the first IMF and second IMF suffer from modal aliasing. The modal extraction results for = 0.2 are shown in Figure 3b. Here, there is no significant mode aliasing between the independent components. Consequently, the following conclusion can be drawn from the experimental results: when the signal contains noise, tuning can alleviate the aliasing problem to some extent. However, this effect is rarely mentioned in relevant studies. Considering that signal-to-noise (SNR) is a relatively simple and effective noise measurement tool, we use SNR as the basis for setting . When the noise level in the signal is extremely low, and the SNR is large, the noise level can be normalized to 1. If the signal contains a large amount of noise, the SNR will be a negative number, in which case it will be normalized to 0. If the SNR of the signal to be decomposed is within [0, 1], it will be taken as the setting value of τ. In this way, the value can be selected to provide a theoretical basis and the convergence rate of the VMD algorithm can also be guaranteed.
Figure 3.
VMD decomposition results with different values. (a) = 0. (b) = 0.2. The left image shows the signal components obtained under different , and the right image shows the corresponding spectra. The black dots represent the original signal, while the blue, green and pink represent the components derived from the decomposition.
(4) Iteration operator .
In this paper, an iterative operator is introduced to update the Lagrange multiplier twice. The mathematical formula of the iteration operator is as follows:
where is the n-th iteration operator, and the initial value of is 0, i.e., = 0. Then, we use to update as follows:
where is the iteration step. The iteration operator is introduced to update twice. Consequently, the updating process of uses not only the current , but also common information of the current and the previous iteration .
(5) Choosing the convergence tolerance . Based on the VMD algorithm, this paper proposes different convergence tolerance parameters, namely , , and . Among them, controls the reconstruction accuracy, whereas and are applied to adjust the total number of modes .
In this paper, we empirically improve the five key parameters of VMD. This strategy can effectively ensure the distinction of VMD decomposition items and reconstruction accuracy.
3.5. Sparse Variational Model
The constrained variational problem in Equation (11) is converted into a non-constrained variational problem, and the extended Lagrangian expression is as follows:
The algorithm flow of the sparse variational model is outlined in Algorithm 1.
| Algorithm 1: Complete optimization of the Adaptive Sparse-VMD |
| Initialize:, , , , , , , , repeat: repeat: Update for all : Update : Dual ascent for all : Update : until convergence: If Update : until convergence: until convergence: and |
The specific steps of the pseudo-code for solving the sparse variational model are as follows:
(1) Initialize the parameters of adaptive sparse-VMD, including , , ε, , , , , , , and . The initial setting values of , , , , and are consistent with those of the standard VMD. The parameters , , and are set as 1, 0, and 0.1, respectively. Moreover, the parameters , , , and are set according to the characteristics of the signal. is set according to the SNR, and can be set to 0.01.
(2) The initial signal decomposition parameters K = 2, = 1, and = 0.5. The first value is obtained with Equation (12), and the first layer of the inner loop is executed to update according to .
(3) Execute the second inner loop and update with .
(4) Update parameter in terms of and .
(5) Run n = n + 1 until n = N (N is the maximum number of cycles) to end the loop. Or when , stop the iteration and calculate the orthogonality of the adjacent IMF components, that is . If the orthogonality between adjacent IMF components is greater than the given threshold , the fine-tuning parameter is adjusted by 0.1 to update the value. Then, the number of IMF components k is set to k = k − 1 until the stopping condition is met or the orthogonality condition of the IMF component is satisfied and the inner second layer of the cycle is ended.
(6) Continue to execute the outer cycle. Set and repeat steps (3)–(5) until both and are satisfied. After completing the entire iteration, the narrow-band IMF components can be obtained. The control indexes of the two cycles used in this step are and . The indicator determines the orthogonality between IMF components, thereby ensuring that information aliasing between IMF components is minimal and meets a given threshold. However, this evaluation condition does not effectively reflect the single-component characteristics of the obtained IMFs. Consequently, the index is introduced to control the singleness of IMF components, but this index can lead to the modal replication phenomenon due to the small quantity of components. This index can then be merged using the orthogonal evaluation criterion . By fusing these two constraints, the orthogonality between the IMF components and the monodromy of the IMF components can be efficiently guaranteed. The diagram of ASparse–VMD is shown in Figure 4.
Figure 4.
The diagram of ASparse–VMD.
To illustrate the need for the orthogonality and singleness of IMF components, the three harmonic signals ( = 2 Hz, = 24 Hz, and = 288 Hz) in Figure 1a are used as an additional illustration. These three signals are linearly superimposed as mixed signals to be decomposed, and the results are shown in Figure 5.
Figure 5.
Mixed signal and its corresponding spectrum. (a) Mixed signal. (b) Spectrum.
The key parameters of VMD are preset as = 2, = 2000 and = 0, respectively. Then, the signal in Figure 5a is decomposed, and the result is shown in Figure 6. According to the decomposition results, the first IMF1 component contains two frequency characteristics ( and ), while the second IMF2 component only contains . Obviously, IMF1 is not a mono-component signal. At this time, the least squares mutual information (LSMI) between these two IMF components is 1.0 × 10−6 (close to 0), indicating that the two components are approximately orthogonal.
Figure 6.
IMF components and corresponding spectrum under VMD decomposition. (a) Two components. (b) Spectrum.
Reconstruction is performed for both IMF components, and the new signal is shown in Figure 7a. The distinctiveness between the reconstructed signal and the original mixed signal is very small, with a reconstruction error of only 1.0 × 10−10. These indicators satisfy the termination of the decomposition condition, but the resulting number of modes is two, while the actual number of components is three. As shown by the experiment, using the orthogonality between the modal components and the reconstruction error of the signal as an evaluation metric for the performance of the decomposition provides an incomplete result. Thus, it is critical to introduce another evaluation parameter to measure the monodromy of the IMF component itself. According to the decomposition strategy of the VMD algorithm, if the decomposition of a single IMF continues, the IMF will replicate itself. Essentially, the signal features are self-replicating and the total energy is invariant. The demonstration results are shown in Figure 8. Finally, the replicated modes can be merged by judging the correlation and the correct decomposition result can be obtained.
Figure 7.
Reconstructed signal and its corresponding spectrum. (a) Time domain. (b) Frequency domain.

Figure 8.
Mode replication and signal reconstruction. (a) Mode replication. (b) Mode superposition. (c) The reconstructed signal.
4. Numerical Validation
The main purpose of this section is to evaluate the performance difference between our proposed ASparse-VMD and other widely used signal-processing methods, as well as the advantage of ASparse-VMD using simulated signals. To verify the effectiveness of the proposed method, two simulation cases are used to analyze and validate the aforementioned methods.
4.1. Simulation Verification (Case 1)
Considering the nonlinear and non-stationary nature of faulty signals, it is difficult to qualitatively explain their nonlinearity and non-stationary nature using the measured signals. Here, the simulation signal in Equation (16) is used for illustration []. The waveform of this signal is shown in Figure 9. The mathematical definition of the simulation signal is as follows:
where is a mixture consisting of four simulated signal components, namely , , , and . In particular, , , and are three sinusoidal signals with different center frequencies: = 2 Hz, = 24 Hz, and = 288 Hz, respectively, and is Gaussian white noise.
Figure 9.
Simulation signal (case 1). (a) The sinusoidal components of the three frequencies (no noise). (b) Mixed signal. (c) Spectrum of (b).
The simulated signal for = 0 is shown in Figure 9. Here, Figure 9a represents the signals of three components, Figure 9b denotes the composite signal, and Figure 9c is the corresponding spectrum. First, CEEMDAN, LMD, ITD, SVMD, and ASparse-VMD are used to evaluate the decomposition performance of the signal, and the results are shown in Figure 10.

Figure 10.
Comparison of processing results of different methods ( = 0). (a). CEEMDAN. (b). LMD. (c) ITD. (d) SVMD. (e). ASparse-VMD. The left part of the subfigure shows the components obtained by the chosen method, and the right part shows the corresponding spectra.
Figure 10a denotes the independent components obtained by CEEMDAN decomposition and the corresponding spectrum. Based on the time-domain waveforms of the components, the last IMF component clearly suffers from mode aliasing problems, as evidenced by the corresponding spectra. Figure 10b shows the decomposition results under the LMD method. From the obtained number of components, it can be seen that the LMD effectively decomposes three-product function (PF) components, which are consistent with the original number of components. However, these components appear heavily distorted, and the corresponding spectra also show the appearance of clutter. The results of ITD decomposition are shown in Figure 10c. Here, ITD effectively obtains three proper rotation components (PRC), but there is some mode aliasing between the components. Figure 10d presents the results of SVMD decomposition. The SVMD parameters are set as = 20,000, = 0 and = 4. For the time-domain signal shown in Figure 10, a total of four signal components were obtained. The third IMF component is a residual component with no physical definition, while the modal aliasing obviously appears in the first component. The two peaks of the frequency ( and ) are clearly visible in the spectrum. The result of ASparse-VMD is shown in Figure 10e, where the preset parameters are = SNR = 1, = 0, = 1.0 × 10−1, and = 1.0 × 10−2. The ASparse-VMD method efficiently obtains three single-signal components whose respective spectra exhibit perfect discriminative properties. The comparative experiments show that the proposed ASparse-VMD algorithm inherits the advantages of VMD with higher resolution feature extraction.
The simulated signal for when = 0.2 × randn(•) (normally distributed random numbers) is shown in Figure 11. Here, Figure 11a presents the three original independent signals and noise components, and Figure 11b is their synthetic time-domain waveforms.
Figure 11.
Simulation signal with noise. (a) The sinusoidal components of the three frequencies and noise. (b) Mixed signal.
Similar to the above experiment, the signal is used to evaluate the decomposition performance of CEEMDAN, LMD, ITD, SVMD, and ASparse-VMD methods. Figure 12a shows the results of CEEMDAN decomposition, including the time domain waveform of the obtained components and corresponding spectrums. The CEEMDAN decomposition results in six signal components. The spectra of three IFM components (the third, fourth and fifth) correspond to the item in the original signal, indicating mode duplication. The frequency components and appear in the spectrum of the last IMF, indicating that it is under-decomposition and causing significant mode aliasing. Figure 12b presents the PF results of LMD decomposition. Here, six components are obtained by LMD decomposition, but they have serious distortion. By observing the corresponding spectra, it can be found that the second, third, and fourth PF components contain the same frequency feature simultaneously, indicating the occurrence of modal replication. In addition, the fifth and sixth PFs contain signal characteristic frequencies and , respectively, indicating that these two modes can be correctly identified. In general, LMD is able to correctly obtain the individual components of the mixed signal, but there is apparent over-decomposition. As shown in Figure 12c, the ITD decomposition results in four PRCs, but specific signal features cannot be identified from their time-domain waveforms. From the corresponding spectra, it can be observed that the first three PRC components produce mode duplication ( appears in all mode) and the last PRC component produces mode aliasing ( and ). Worst of all, the feature in the raw signal is not found in all obtained modes, indicating severe distortion in the decomposition. The decomposition result of SVMD for parameters of = 30,000, = 0, and = 4 are shown in Figure 12d. As in the time-domain waveform, SVMD resolves four signal components, but the first IMF component experiences a clear mode aliasing problem ( and ). The second IMF corresponds to feature , indicating that the characterization of this component is correct. In addition, the frequency spectra corresponding to the third and the fourth IMF components present trend items that should not appear. The result obtained by the decomposition is quite different from the real components. Figure 12e is the result of ASparse-VMD decomposition. When SNR < 0, the set parameters are = 0, = 0.01, = 1.0 × 10−1 and = 1.0 × 10−2. At this time, ASparse-VMD decomposes eight signal components. The first, second, and third components are consistent with the original signal features (, , and ), and no over-decomposition or under-decomposition occurs in adjacent components. Additional, In the spectra corresponding to these three components, there are fewer interference elements. The remaining five components are noise items. There is no mode duplication and mode aliasing problem during the whole decomposition process. The experimental results also verify the effectiveness and superiority of ASparse-VMD.

Figure 12.
Comparison of processing results of different methods (signal with noise = 0.2 × randn(•)). (a). CEEMDAN. (b). LMD. (c) ITD. (d) SVMD. (e) ASparse-VMD. The left diagram is the component obtained from the decomposition and the right diagram is the corresponding spectrum.
4.2. Simulation Verification (Case 2)
In order to verify the validity of the proposed ASparse-VMD method, in this section, a typical simulated fault excitation signal of a rolling bearing is employed for analysis. The simulated signal is composed of a harmonic signals and , a frequency modulation (FM) signal , a periodic impulse signal , a random interference pulse , and additive white Gaussian noise , as described in Equations (17) and (18). The signal frequencies are = 111 Hz, = 223 Hz, = 50 Hz, and = 85 Hz, respectively. The simulation signal is shown in Figure 13.
Figure 13.
The simulation signal. (a) Signal components. (b) The s spectra. (c) The mixed signal. (d) The spectrum corresponding to the mixed signal.
In this section, we further analyze the signal in case 2 using the CEEMDAN, LMD, ITD, SVMD, and ASparse-VMD methods. Figure 14a presents the results of CEEMDAN decomposition. The CEEMDAN method yields 11 signal components. Two dominant modes, and , appear in the IMF3 component, indicating aliasing. The same mode appears between adjacent components (such as in IMF2 and IMF3, in IMF3 and IMF4), indicating mode replication. The FM signal in the original signal is decomposed into three IMF components (IMF 5, 6, and 7) in different frequency bands. As shown in Figure 14b, LMD obtains seven signal components. Apparently, modal aliasing occurs between PF1 and PF3 components. The original FM signal appears in three different frequency bands (PF3–PF5), and some distortion occurs. The results of SVMD decomposition are shown in Figure 14d, where the decomposition parameters are set as = 30,000, = 0 and = 4. SVMD decomposes 11 signal components, and the first three IMF components (IMF1-IMF3), respectively, correspond to , and, in the original signal. However, the periodic pulse component in the original signal is decomposed into seven IMF components of different frequency bands (IMF4–IMF11), and mixed with random noise. When the set parameters are = 0.01, = 1.0 × 10−1. and = 1.0 × 10−2., ASparse-VMD divides the mixed signal into five modes. Figure 14e presents the result of ASparse-VMD decomposition. Among these components, the modes IMF1–IMF3 correspond to the FM signal , harmonic signal , and harmonic signal , respectively. IMF4 corresponds to the periodic pulse signal , but contains slight noise (random pulse signal ). Here, IMF5 represents the residual random noise n(t). Finally, all IMFs are reconstructed and the reconstruction error is 2 × 10−2.. Additional, Figure 14e shows the reconstructed signal and its corresponding spectrum. As can be seen from the experiments, the ASparse-VMD can efficiently extract each individual signal component of the original signal. This result further demonstrates the effectiveness and superiority of ASparse-VMD.

Figure 14.
Comparison of the processing results under different methods (case 2). (a) Results for CEEMDAN. (b) Results for LMD. (c) Results for ITD. (d) Results for SVMD. (e) Results for ASparse-VMD decomposition. The left diagram is the components obtained under the selected method and the right diagram is the corresponding spectrum.
5. Experimental Results
The aforementioned experimental results were used to qualitatively analyze and verify the effectiveness, superiority and robustness of ASVMD from the perspective of theory. This section further verifies the practical application of the project.
5.1. Introduction to the Experimental Platform
The bearing accelerated life test platform used in this work was designed and manufactured by the joint laboratory of mechanical equipment health testing (XJTU-SY bearing datasets) []. As shown in Figure 15, the platform includes an AC motor, motor speed controller, rotating shaft, support bearing, hydraulic loading system, test bearing, and other connecting parts. The test bearing is a LDK UER204 rolling bearing, which is detailed in Figure 16. The relevant parameters are shown in Table 1.
Figure 15.
Test bench for rolling bearings.
Figure 16.
Rolling bearing of LDK UER204.
Table 1.
Bearing parameters of LDK UER204.
5.2. Experimental Data
In order to obtain the real-time state of the bearing under the failure condition, two unidirectional acceleration sensors are fixed to the horizontal and vertical directions of the test bearing through the magnetic base to collect vibration signals. In the test, the sampling frequency is 25.6 kHz, the sampling interval is 1 min, and the sampling time is 1.28 s. The sampling diagram is shown in Figure 17.
Figure 17.
Sampling setting for vibration signals.
5.3. Bearing Failure Form and Vibration Signal Analysis
Figure 18 illustrates typical failure types of bearings []. The fault causes of the tested bearings include inner race wear, cage fracture, outer race wear, and outer race crack. Under the test conditions of a rotational speed of 2400 R/min and a radial force of 10 kN, vibration signal samples with the four faults were simultaneously collected. The time-domain signals obtained by the horizontal sensor are presented in Figure 19. The corresponding fault characteristic frequencies of the four faults are shown in Table 2.
Figure 18.
Failure type of bearing. (a) Inner race wear (b) Cage fracture. (c) Outer race wear. (d) Outer race crack.
Figure 19.
Collected vibration signal of failed bearing.
Table 2.
Fault characteristic parameters.
In this section, the CEEMDAN, LMD, ITD, SVMD, and ASPARSE-VMD methods are used to process the measured bearing signals obtained in Figure 19, and the results are shown in Figure 20, Figure 21, Figure 22, Figure 23 and Figure 24. Figure 20 presents the results of CEEMDAN decomposition, which obtained eleven independent IMF components. Among them, a cage fault feature appears in IMF4 and the spectrum of the IMF1 contains the fault characteristic frequencies of the inner ring, outer ring, and rolling body of the bearing. This result indicates the occurrence of serious mode aliasing and, more importantly, the appearance of significant redundant interference in the corresponding spectra.
Figure 20.
Decomposition results using CEEMDAN. (a) IMFs in the time domain. (b) Spectrum corresponding to component of (a).
Figure 21.
Components decomposed using LMD. (a) PF modes. (b) Spectrum of (a).
Figure 22.
Components decomposed using ITD. (a) PRC components. (b) Spectrum.
Figure 23.
Components decomposed using SVMD. (a) Mode signals. (b) Spectrum of each mode.
Figure 24.
Decomposition results using ASparse VMD. (a) IFMs. (b) Spectrums. (c) Extracted rotation characteristic signal. (d) Spectrum of (c).
Figure 21 presents the results of LMD decomposition, which was used to decompose the signal into seven PF components. In the first three PFs, inner ring, outer ring, and rolling element fault features are observable. However, some types of fault features are mixed together (such as inner ring and outer ring faults), and appear simultaneously in multiple components (i.e., PF1 and PF3).
As shown in Figure 22, the ITD method decomposes the signal into eight PRC components. The PRC1 component spectrum contains the fault characteristic of the bearing inner ring, and PRC5 indicates the fault feature of the bearing outer ring. Nevertheless, the relative amplitudes of the two spectral lines are weak and are not prominent under noise items. In terms of other components, the effective information on other faults is not effectively demonstrated.
Figure 23 shows the results of SVMD decomposition, yielding 27 IMF elements. In the decomposition process, the inherent hyper-parameters are selected as = 30,000, = 0, and = 4. The IMF2 component contains the fault signal of the bearing cage, IMF9 contains the fault characteristic of the bearing inner ring, and the fault characteristic frequency of the bearing rolling ball exists in the IMF19 component. However, the amplitudes of the required signals are relatively small. The fault characteristics of the bearing outer ring appear in IMFs 24–27, indicating that modal replication (over-decomposition) occurs in the decomposition process. Although SVMD can effectively detect the hybrid fault characteristic frequencies of bearings, this method has many invalid components and suffers from the modal replication problem.
In the proposed Asparse-VMD decomposition process, the parameters are set as = 1.0 × 10−2, = 1.0 × 10−1., and = 1.0 × 10−2. It can be seen from the component information in Figure 24 that the spectrum of IMF3 contains the fault characteristic frequency of the bearing cage, IMF8 extracts the fault signatures of the bearing rolling body, and the independent component IMF9 detects the fault sensitive information of the inner ring. In the spectrum of IMF10, the fault characteristics of the bearing outer ring (including the fundamental frequency and double frequency) are clearly identified. In particular, the rotation frequency of the bearing (39.3 Hz; the theoretical value is 40 Hz) is extracted using the IMF1 component, which cannot be obtained by the state-of-the-art CEEMDAN, LMD, ITD, and SVMD methods. Compared to the decomposition effect of SVMD, the number of modes is more sparse, and the anti-aliasing ability and resolution are better. The analysis process in this section fully verifies the effectiveness and superiority of ASparse-VMD in the practical application of multi-faults engineering. The above experimental results also fully illustrate the robustness of the proposed method.
6. Discussion and Conclusions
In this paper, we proposed an ASparse–VMD method to study the feature extraction of shock vibration signals from multi-fault rotating machinery by deeply evaluating the decomposition principle of VMD and the influence of key parameters. The regularization procedure of VMD was improved by adding a damping parameter, giving the VMD better sparsity. By making this change, the parameters ( and ) of the VMD were automatically adjusted via new update rules and convergence conditions. Then, the influence of on VMD was analyzed, and the SNR was used as the basis for setting the value. This approach additionally improved the mode aliasing problem and the mode resolution. Moreover, ASparse–VMD has lower computational complexity and versatility. The ASparse–VMD improved decomposition performance of WMD and with superior robustness. The experimental results showed that the proposed method is more advantageous in signal processing.
However, ASparse-VMD also suffers from some problems. (1) The update rules and convergence conditions for the parameters have some theoretical basis, but also retain empirical properties. (2) The common impacts of all embedding parameters of VMD on performance, such as the number of inner iterations, was not sufficiently considered. (3) Information sources for monitoring the operational status of mechanical devices show a tendency to diversify and develop in high dimensions, and the proposed Asparse-VMD is not suitable for processing such signals. (4) ASparse-VMD is essentially an iterative process that requires parameter updates and stopping rules to be satisfied, and further optimization is required for application scenarios with high real-time requirements. Consequently, the theoretical framework of VMD needs to be improved in the future or the proposed algorithm needs to be better implemented. Especially for real-time applications, it is urgent to solve the parameter iteration search problem and simplify the implementation steps of the method.
Author Contributions
Conceptualization, F.Z. (Fengxing Zhou), H.L. and B.X.; methodology, B.X.; software, H.L. and B.Y.; validation, F.Z. (Fengqi Zhou) and H.L.; formal analysis, B.X.; investigation, F.Z. (Fengxing Zhou); resources, B.X.; project administration, F.Z. (Fengxing Zhou); data curation, H.L. and B.Y.; writing—original draft preparation, H.L.; writing—review and editing, H.L. and B.X.; funding acquisition, B.X. All authors have read and agreed to the published version of the manuscript.
Funding
This research was supported by the National Natural Science Foundation of China (grant no. 51975433, 51975430), the Research Project of Hubei Provincial Department of Education (grant no. B2022203).
Data Availability Statement
Experimental data came from the authors’ own collection and calculation.
Acknowledgments
The authors acknowledge the editors and reviewers for their constructive comments and all their support of this work.
Conflicts of Interest
The authors declare no conflict of interest.
References
- Mao, W.; Wang, L.; Feng, N. A New Fault Diagnosis Method of Bearings Based on Structural Feature Selection. Electronics 2019, 8, 1406. [Google Scholar] [CrossRef]
- Huang, N.E.; Shen, Z.; Long, S.R.; Wu, M.C.; Shih, H.H.; Zheng, Q.; Yen, N.-C.; Tung, C.C.; Liu, H.H. The empirical mode decomposition and the Hilbert spectrum for nonlinear and non-stationary time series analysis. Proc. R. Soc. Lond. Ser. A Math. Phys. Eng. Sci. 1998, 454, 903–995. [Google Scholar] [CrossRef]
- Daubechies, I.; Lu, J.F.; Wu, H.T. Synchrosqueezed wavelet transforms: An empirical mode decomposition-like tool. Appl. Comput. Harmon. Anal. 2011, 30, 243–261. [Google Scholar] [CrossRef]
- Yuan, P.; Cheng, X.; Wang, H.; Zhang, J.; Shen, Z.; Ren, W. Structural instantaneous frequency extraction based on improved multi-synchrosqueezing generalized S-transform. Smart. Struct. Syst. 2021, 28, 675–687. [Google Scholar] [CrossRef]
- Jonathan, S.S. The local mean decomposition and its application to EEG perception data. J. Roy. Soc. Interface 2005, 2, 443–454. [Google Scholar] [CrossRef]
- Frei, M.G.; Osorio, I. Intrinsic time-scale decomposition: Time– frequency–energy analysis and realtime filtering of non-stationary signals. Proc. Roy. Soc. A Math. Phys. Eng. Sci. 2007, 463, 321–342. [Google Scholar] [CrossRef]
- Alkishriwo, O.A.; Akan, A.; Chaparro, L.F. Intrinsic mode chirp decomposition of non-stationary signals. IET Signal Process. 2014, 8, 267–276. [Google Scholar] [CrossRef]
- Wu, Z.; Huang, N. Ensemble empirical mode decomposition: A noise-assisted data analysis method. Adv. Adapt. Data Anal. 2009, 1, 1–41. [Google Scholar] [CrossRef]
- Yeh, J.R.; Shieh, J.S.; Huang, N.E. Complementary ensemble empirical mode decomposition: A novel noise enhanced data analysis method. Adv. Adap. Data Anal. 2010, 2, 135–156. [Google Scholar] [CrossRef]
- Grossmann, A.; Morlet, J. Decomposition of hardy functions into square integrable wavelets of constant shape. SIAM J. Math. Anal. 1984, 15, 723–736. [Google Scholar] [CrossRef]
- Dragomiretskiy, K.; Zosso, D. Variational Mode Decomposition. IEEE Trans. Signal Process. 2014, 26, 531–544. [Google Scholar] [CrossRef]
- Li, Y.Q.; Huang, D.R.; Qin, Z.X. A Classification Algorithm of Fault Modes-Integrated LSSVM and PSO with Parameters’ Optimization of VMD. Math. Probl. Eng. 2021, 2021, 6627367. [Google Scholar] [CrossRef]
- Jiang, X.; Wang, J.; Shi, J.; Shen, C.; Huang, W.; Zhu, Z. A coarse-to-fine decomposing strategy of VMD for extraction of weak repetitive transients in fault diagnosis of rotating machines. Mech. Syst. Signal Proc. 2019, 116, 668–692. [Google Scholar] [CrossRef]
- Nazari, M.; Sakhaei, S. Successive variational mode decomposition. Signal Process. 2020, 174, 107610. [Google Scholar] [CrossRef]
- Liu, S.; Yu, K. Successive multivariate variational mode decomposition based on instantaneous linear mixing model. Signal Process. 2022, 190, 108311. [Google Scholar] [CrossRef]
- Chen, Q.; Chen, J.; Lang, X.; Xie, L.; Rehman, N.U.; Su, H.Y. Self-tuning variational mode decomposition. J. Frankl. Inst.-Eng. Appl. Math. 2021, 358, 7825–7862. [Google Scholar] [CrossRef]
- Dey, A.; Chhibba, R.; Ratnam, D.; Sharma, N. A combined iCEEMDAN and VMD method for mitigating the impact of ionospheric scintillation on GNSS signals. Acta Geophys. 2021, 69, 1933–1948. [Google Scholar] [CrossRef]
- Mirjalili, S.; Lewis, A. The Whale Optimization Algorithm. Adv. Eng. Softw. 2016, 95, 51–67. [Google Scholar] [CrossRef]
- Zhong, J.; Gou, X.; Shu, Q.; Liu, X.; Zeng, Q. A FOD Detection Approach on Millimeter-Wave Radar Sensors Based on Optimal VMD and SVDD. Sensors 2021, 21, 997. [Google Scholar] [CrossRef]
- Dibaj, A.; Ettefagh, M.; Hassannejad, R.; Ehghaghi, M. A hybrid fine-tuned VMD and CNN scheme for untrained compound fault diagnosis of rotating machinery with unequal-severity faults. Expert Syst. Appl. 2021, 167, 114094. [Google Scholar] [CrossRef]
- Nazari, M.; Sakhaei, S. Variational Mode Extraction: A New Efficient Method to Derive Respiratory Signals from ECG. IEEE J. Biomed. Health Inform. 2018, 22, 1059–1067. [Google Scholar] [CrossRef] [PubMed]
- Li, C.; Liu, Y.; Liao, Y.; Wang, J. A VME method based on the convergent tendency of VMD and its application in multi-fault diagnosis of rolling bearings. Measurement 2022, 198, 111360. [Google Scholar] [CrossRef]
- Karaboga, D. Artificial bee colony algorithm. Scholarpedia 2010, 5, 6915. [Google Scholar] [CrossRef]
- He, X.; Zhou, X.; Yu, W.; Hou, Y.; Mechefske, C. Adaptive variational mode decomposition and its application to multi-fault detection using mechanical vibration signals. ISA Trans. 2021, 111, 360–375. [Google Scholar] [CrossRef] [PubMed]
- Yang, X.S.; Deb, S. Engineering optimization by cuckoo search. Int. J. Math. Model Numer Optim. 2010, 1, 330–343. [Google Scholar] [CrossRef]
- Yan, X.; Jia, M. Application of CSA-VMD and optimal scale morphological slice bispectrum in enhancing outer race fault detection of rolling element bearings. Mech. Syst. Signal Proc. 2019, 122, 56–86. [Google Scholar] [CrossRef]
- Wang, Z.; He, G.; Du, W.; Zhou, J.; Han, X.; Wang, J.; He, H.; Guo, X.; Wang, J.; Kou, Y. Application of Parameter Optimized Variational Mode Decomposition Method in Fault Diagnosis of Gearbox. IEEE Access 2019, 7, 44871–44882. [Google Scholar] [CrossRef]
- Duan, J.; Wang, P.; Ma, W.; Tian, X.; Fang, S.; Cheng, Y.L.; Chang, Y.; Liu, H.F. Short-term wind power forecasting using the hybrid model of improved variational mode decomposition and Correntropy Long Short-term memory neural network. Energy 2021, 214, 118980. [Google Scholar] [CrossRef]
- Li, Y.; Tang, B.; Jiang, X.; Yi, Y. Bearing Fault Feature Extraction Method Based on GA-VMD and Center Frequency. Math. Probl. Eng. 2022, 2022, 2058258. [Google Scholar] [CrossRef]
- Goldberg, D.E. Genetic Algorithms in Search, Optimisation and Machine Learning; Addison Wesley: Boston, MA, USA, 1989; p. 45. [Google Scholar]
- Miao, Y.; Zhao, M.; Lin, J. Identification of mechanical compound-fault based on the improved parameter-adaptive variational mode decomposition. ISA Trans. 2019, 84, 82–95. [Google Scholar] [CrossRef]
- Bi, F.; Li, X.; Liu, C.; Tian, C.F.; Ma, T.; Yang, X. Knock detection based on the optimized variational mode decomposition. Measurement 2019, 140, 1–13. [Google Scholar] [CrossRef]
- Zhang, P.; Gao, D.; Lu, Y.; Kong, L.; Ma, Z. Online chatter detection in milling process based on fast iterative VMD and energy ratio difference. Measurement 2022, 194, 111060. [Google Scholar] [CrossRef]
- Kumar, A.; Zhou, Y.; Xiang, J. Optimization of VMD using kernel-based mutual information for the extraction of weak features to detect bearing defects. Measurement 2021, 168, 108402. [Google Scholar] [CrossRef]
- Li, H.; Xu, B.; Zhou, F.; Yan, B.; Zhou, F. Empirical Variational Mode Decomposition Based on Binary Tree Algorithm. Sensors 2022, 22, 4961. [Google Scholar] [CrossRef]
- Wiener, N. Extrapolation, Interpolation, and Smoothing of Stationary Time Series with Engineering Applications; Technology Press of Massachusetts Institute of Technology: Cambridge, MA, USA, 1949. [Google Scholar]
- Feldman, M. Hilbert transform in vibration analysis. Mech. Syst. Signal Proc. 2011, 25, 735–802. [Google Scholar] [CrossRef]
- Variational Mode Decomposition Code. Available online: https://math.montana.edu/dzosso/code/#collapsed85e152_d85e338 (accessed on 12 March 2020).
- Wang, B.; Lei, Y.; Li, N.; Li, N. A Hybrid Prognostics Approach for Estimating Remaining Useful Life of Rolling Element Bearings. IEEE Trans. Reliab. 2020, 69, 401–412. [Google Scholar] [CrossRef]
- Lei, Y.G.; Han, T.Y.; Wang, B.; Li, N.P. XJTU-SY Rolling Element Bearing Accelerated Life Test Datasets: A Tutorial. J. Mech. Eng. 2019, 55, 1–6. [Google Scholar] [CrossRef]
Disclaimer/Publisher’s Note: The statements, opinions and data contained in all publications are solely those of the individual author(s) and contributor(s) and not of MDPI and/or the editor(s). MDPI and/or the editor(s) disclaim responsibility for any injury to people or property resulting from any ideas, methods, instructions or products referred to in the content. |
© 2023 by the authors. Licensee MDPI, Basel, Switzerland. This article is an open access article distributed under the terms and conditions of the Creative Commons Attribution (CC BY) license (https://creativecommons.org/licenses/by/4.0/).