On the Application of the Stability Methods to Time Series Data
Abstract
1. Introduction
1.1. Motivation
1.2. Background and Related Works
1.2.1. Greedy Algorithms
1.2.2. Stability Methods
1.3. Organization of the Paper and the Main Contributions
- We relate this algorithm to the problems of interest in multivariate signal processing by applying the algorithm to the selection of predictors in the case of a vector autoregressive (VAR) model [23]. Scopus indicates that vector autoregressive can be found in the title/abstract/keywords of 359 documents published in signal processing venues. As we are interested in estimating an entry of a time series by employing the past observations and (if available) the current observations collected for other time series (see [5] and the references therein), we use a variant of the VAR model, which is called vector autoregressive with exogenous variables (VARX) [16,23]. In Section 2, we justify why the sparse VARX model is appropriate and show how the main algorithm, with Lasso as the base selection procedure, can be applied to find the relevant predictors.
- We conduct experiments with simulated data in order to evaluate the influence of various parameters on the performance of the main algorithm. As the ground truth is known, the performance is evaluated by measuring the feature selection capabilities in terms of the true positive rate and the false positive rate. We also discuss a modified variant of the main algorithm (see Section 3).
- We compare the performance of the stability-based method with the performance of methods that rely on greedy algorithms and IT criteria/cross-validation. The comparison involves more than eighty methods and it is carried out by using air pollution data that were measured in Auckland, New Zealand. As the ’true’ predictors are not known for the real-life data, the comparison of various methods is made by considering the prediction accuracy. Additionally, we analyze the predictors that are selected most often and give an interpretation based on what is known from the environmental chemistry (see Section 4).
2. Main Algorithm
2.1. Notation
2.2. Problem Formulation and the Lasso Solution
- In general, the order of the autoregressions is not known and is taken to be an upper bound for the unknown order. It is expected that the estimated order is smaller than this upper bound.
- An important result in the analysis and forecasting of multivariate time series claims that, for some , does not Granger-cause if and only if the entry indexed by is zero for all matrix coefficients , where [23]. We note in passing that, there is an increasing interest in novel methods for the identification of vector autoregressive models with Granger and stability constraints (see [24] and the references therein). However, in the literature that is focused on this particular identification problem, the term ‘stability’ refers to the following condition that should be satisfied by the matrix coefficients: The magnitudes of all the eigenvalues of the matrixare strictly less than one [23].
- There might be exogenous variables in that do not influence some of the entries of .
2.3. Subsampling
2.4. Stability-Based Selection
| Algorithm 1 Stability selection with the base procedure Lasso (see [16] (Algorithm 1)) |
|
3. Experiments with Simulated Data
3.1. Artificial Data
- Parameters: (i) number of time series: ; (ii) autoregressive order: ; (iii) standard deviation for the non-zero entries of the matrices and for the entries of the vectors : .
- Matrices : (i) We generate the matrices whose entries are independent outcomes from the Gaussian distribution ; (ii) let be a matrix that has all entries equal to one. Some entries on the off-diagonal locations of are randomly selected and forced to be zero (the number of zero entries is restricted to be less than ); (iii) for , the element-wise product of and gives the matrix .
- Matrix : (i) ; (ii) all other entries are equal to zero.
- Vectors : (i) model for the first entry: zero-mean order-1 autoregressive process with autocorrelation function , for ; model for the second entry: zero-mean order-1 autoregressive process with autocorrelation function , for ; model for all other entries: independent outcomes from the Gaussian distribution .
- Vectors : model: multivariate Gaussian distribution with zero-mean vector and covariance matrix , where and .
- Signal-to-noise ratio (SNR): (i) formula: ; (ii) values: −20 dB, 0 dB and 20 dB.
3.2. Settings for the Parameters of the Algorithm
3.2.1. Parameter [The Cardinality for Each Odd Block]
3.2.2. Parameter [Average Selection Probability]
3.2.3. Parameter [Threshold]
3.2.4. Parameter B [Number of Pairs ]
3.3. Empirical Evaluation of the Effect of Various Settings
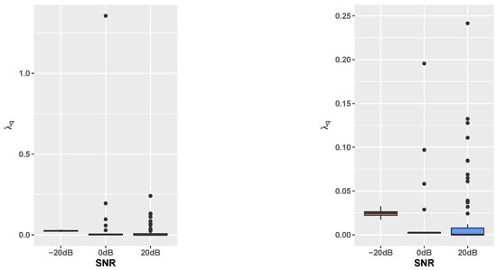
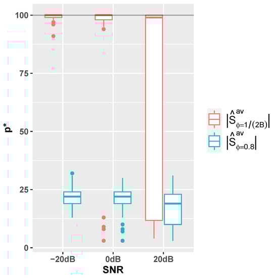
3.3.1. SNR Level
3.3.2. Parameter [Average Selection Probability]
3.3.3. Parameter [Threshold]
3.3.4. Parameter B [Number of Pairs ]
3.3.5. A Variant of the BPA
4. Experiments with Real-Life Data
4.1. Air Pollution Data
- Scenario A—Full set of predictors (FullSet): The first block contains the measurements from last year of the log-transformed concentrations of for the site for which we wish to estimate the concentration of . The next three blocks contain the log-transformed concentrations of for the other three sites that have been measured during the last year. The predictors are presented in Figure 8b. The total number of predictors is , thus (high-dimensional case).
4.2. Performance Evaluation
4.3. Experimental Results
5. Conclusions, Limitations, and Future Research
Author Contributions
Funding
Data Availability Statement
Conflicts of Interest
References
- Efron, B.; Hastie, T. Computer Age Statistical Inference: Algorithms, Evidence, and Data Science; Institute of Mathematical Statistics Monographs, Cambridge University Press: Cambridge, UK, 2016. [Google Scholar] [CrossRef]
- Bühlmann, P.; van de Geer, S. Statistics for High-Dimensional Data. Methods, Theory and Applications; Springer: Berlin/Heidelberg, Germay, 2011. [Google Scholar]
- Mallat, S.; Zhang, Z. Matching pursuits with time-frequency dictionaries. IEEE Trans. Signal Process. 1993, 41, 3397–3415. [Google Scholar] [CrossRef]
- Sancetta, A. Greedy algorithms for prediction. Bernoulli 2016, 22, 1227–1277. [Google Scholar] [CrossRef]
- Li, F.; Triggs, C.; Dumitrescu, B.; Giurcăneanu, C. The matching pursuit revisited: A variant for big data and new stopping rules. Signal Process. 2019, 155, 170–181. [Google Scholar] [CrossRef]
- Sturm, B.; Christensen, M. Comparison of orthogonal matching pursuit implementations. In Proceedings of the 20th European Signal Processing Conference (EUSIPCO), Bucharest, Romania, 27–31 August 2012; pp. 220–224. [Google Scholar]
- Barron, A.; Cohen, A.; Dahmen, W.; DeVore, R. Approximation and learning by greedy algorithms. Ann. Stat. 2008, 36, 64–94. [Google Scholar] [CrossRef]
- Li, F.; Triggs, C.; Giurcăneanu, C. On the selection of predictors by using greedy algorithms and information theoretic criteria. Aust. N. Z. J. Stat. 2023. [Google Scholar] [CrossRef]
- Frank, M.; Wolfe, P. An algorithm for quadratic programming. Nav. Res. Logist. Q. 1956, 1, 95–110. [Google Scholar] [CrossRef]
- Tibshirani, R. Regression shrinkage and selection via the Lasso. J. R. Stat. Soc. Ser. B 1996, 58, 267–288. [Google Scholar] [CrossRef]
- Frandi, E.; Ñanculef, R.; Lodi, S.; Sartori, C.; Suykens, J. Fast and scalable Lasso via stochastic Frank–Wolfe methods with a convergence guarantee. Mach. Learn. 2016, 104, 195–221. [Google Scholar] [CrossRef]
- Zhao, Y.; Huo, X. A survey of numerical algorithms that can solve the Lasso problems. WIREs Comput. Stat. 2022, e1602. [Google Scholar] [CrossRef]
- Freijeiro-González, L.; Febrero-Bande, M.; González-Manteiga, W. A Critical Review of LASSO and Its Derivatives for Variable Selection under Dependence among Covariates. Int. Stat. Rev. 2022, 90, 118–145. [Google Scholar] [CrossRef]
- Meinshausen, N.; Bühlmann, P. Stability selection (with discussion). J. R. Stat. Soc. Ser. B 2010, 72, 417–473. [Google Scholar] [CrossRef]
- Shah, R.; Samworth, R. Variable selection with error control: Another look at stability selection. J. R. Stat. Soc. Ser. B 2013, 75, 55–80. [Google Scholar] [CrossRef]
- Bijral, A. On Selecting Stable Predictors in Time Series Models. arXiv 2019, arXiv:1905.07659. [Google Scholar] [CrossRef]
- Yu, B. Stability. Bernoulli 2013, 19, 1484–1500. [Google Scholar] [CrossRef]
- Giurcăneanu, C.; Tabus, I. Cluster structure inference based on clustering stability with applications to microarray data analysis. Eurasip J. Adv. Signal Process. 2004, 545761. [Google Scholar] [CrossRef]
- Liu, T.; Yu, H.; Blair, R.H. Stability estimation for unsupervised clustering: A review. WIREs Comput. Stat. 2022, 14, e1575. [Google Scholar] [CrossRef] [PubMed]
- Maddu, S.; Cheeseman, B.; Sbalzarini, I.; Müller, C. Stability selection enables robust learning of differential equations from limited noisy data. Proc. R. Soc. A Math. Phys. Eng. Sci. 2022, 478, 20210916. [Google Scholar] [CrossRef] [PubMed]
- Lu, D.; Weljie, A.; de Leon, A.; McConnell, Y.; Bathe, O.; Kopciuk, K. Performance of variable selection methods using stability-based selection. BMC Res. Notes 2017, 10, 143. [Google Scholar] [CrossRef] [PubMed]
- Hyde, R.; O’Grady, L.; Green, M. Stability selection for mixed effect models with large numbers of predictor variables: A simulation study. Prev. Vet. Med. 2022, 206, 105714. [Google Scholar] [CrossRef] [PubMed]
- Lutkepöhl, H. New Introduction to Multiple Time Series Analysis; Springer: Berlin/Heidelberg, Germany, 2005. [Google Scholar]
- Dumitrescu, B.; Giurcăneanu, C.; Ding, Y. Identification of vector autoregressive models with Granger and stability constraints. In Proceedings of the 27th European Signal Processing Conference (EUSIPCO), A Coruna, Spain, 2–6 September 2019; pp. 1–5. [Google Scholar] [CrossRef]








| Site | Patumahoe | Penrose | Takapuna | Whangaparaoa | ||||
|---|---|---|---|---|---|---|---|---|
| Scenario | FullSet | ConSet | FullSet | ConSet | FullSet | ConSet | FullSet | ConSet |
| NMSE | ||||||||
| Decile | D2 | D7 | D1 | D6 | D2 | D10 | D1 | D8 |
Disclaimer/Publisher’s Note: The statements, opinions and data contained in all publications are solely those of the individual author(s) and contributor(s) and not of MDPI and/or the editor(s). MDPI and/or the editor(s) disclaim responsibility for any injury to people or property resulting from any ideas, methods, instructions or products referred to in the content. |
© 2023 by the authors. Licensee MDPI, Basel, Switzerland. This article is an open access article distributed under the terms and conditions of the Creative Commons Attribution (CC BY) license (https://creativecommons.org/licenses/by/4.0/).
Share and Cite
Deng, V.; Giurcăneanu, C.D. On the Application of the Stability Methods to Time Series Data. Electronics 2023, 12, 2988. https://doi.org/10.3390/electronics12132988
Deng V, Giurcăneanu CD. On the Application of the Stability Methods to Time Series Data. Electronics. 2023; 12(13):2988. https://doi.org/10.3390/electronics12132988
Chicago/Turabian StyleDeng, Vicky, and Ciprian Doru Giurcăneanu. 2023. "On the Application of the Stability Methods to Time Series Data" Electronics 12, no. 13: 2988. https://doi.org/10.3390/electronics12132988
APA StyleDeng, V., & Giurcăneanu, C. D. (2023). On the Application of the Stability Methods to Time Series Data. Electronics, 12(13), 2988. https://doi.org/10.3390/electronics12132988
