Distributed Adaptive Fault-Tolerant Control for Leaderless/Leader–Follower Multi-Agent Systems against Actuator and Sensor Faults
Abstract
1. Introduction
- The descriptor system approach is introduced to handle actuator and sensor faults in MASs. By extending the system state, the system transformation turns the component faults into the uncertainty of the transformed system, and the system is transformed into a descriptor system form so that fault diagnosis and state estimation can be achieved simultaneously.
- A sliding mode observer is designed for the transformed descriptor dynamics to take advantage of the insensitivity of unknown input observers to uncertainty. By utilizing the sliding mode technique, the uncertainty of the transformed system is suppressed such that the estimation errors converge and the extended states are estimated.
- Based on the obtained estimation of system state and faults, a distributed adaptive fault-tolerant control protocol is designed. The control gains are updated based on the distributed tracking error so that the MAS can maintain stability in the presence of actuator and sensor faults.
2. Preliminaries and Problem Formulation
2.1. Preliminaries
Graph Theory
2.2. Problem Formulation
3. Main Results
3.1. Sliding Mode Observer
3.2. Leaderless FTC
3.3. Leader-Follower FTC
4. Simulation Results
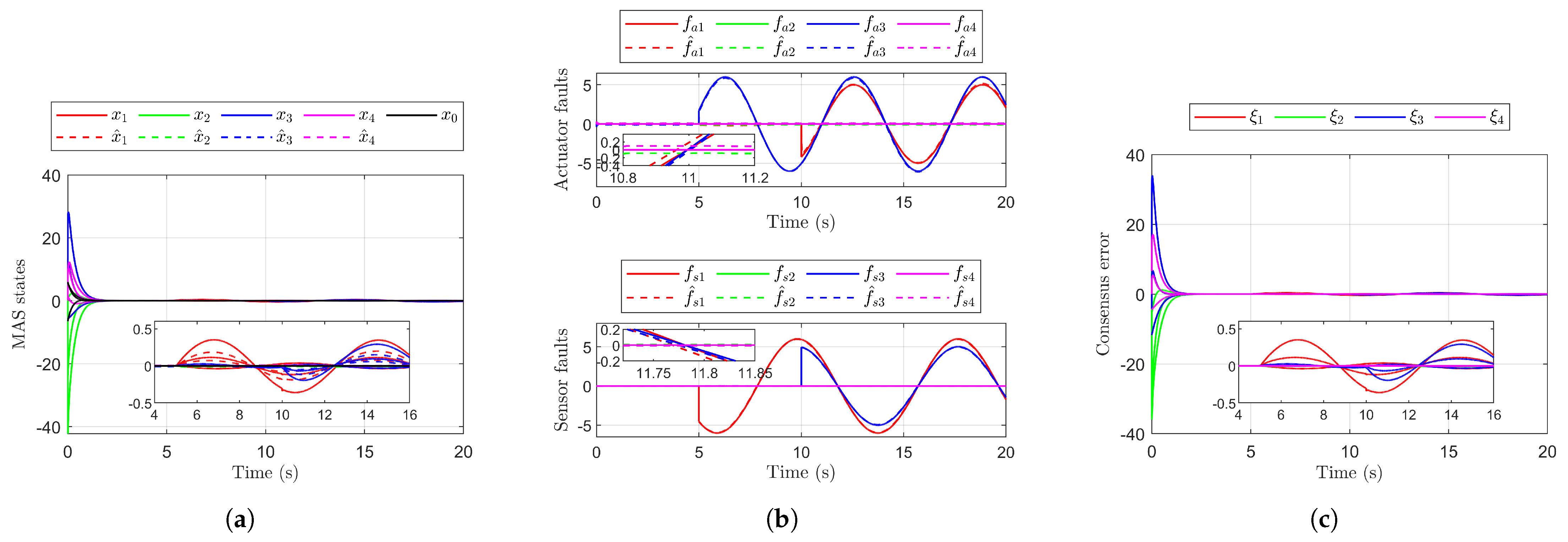
4.1. Leaderless FTC
4.2. Leader-Follower FTC
5. Conclusions
Author Contributions
Funding
Data Availability Statement
Conflicts of Interest
References
- Yu, D.; Chen, C.; Ren, C.; Sui, S. Swarm control for self-organized system with fixed and switching topology. IEEE Trans. Cybern. 2020, 50, 4481–4494. [Google Scholar] [CrossRef] [PubMed]
- Liang, X.; Qu, X.; Wang, N.; Li, Y.; Zhang, R. Swarm control with collision avoidance for multiple underactuated surface vehicles. Ocean Eng. 2019, 191, 106516. [Google Scholar] [CrossRef]
- Yu, Z.; Liu, Z.; Zhang, Y.; Qu, Y.; Su, C. Distributed finite-time fault-tolerant containment control for multiple unmanned aerial vehicles. IEEE Trans. Neural Netw. Learn. Syst. 2020, 31, 2077–2091. [Google Scholar] [CrossRef] [PubMed]
- Yu, Z.; Zhang, Y.; Jiang, B.; Su, C.; Fu, J.; Jin, Y.; Chai, T. Fractional-order adaptive fault-tolerant synchronization tracking control of networked fixed-wing uavs against actuator-sensor faults via intelligent learning mechanism. IEEE Trans. Neural Netw. Learn. Syst. 2021, 32, 5539–5553. [Google Scholar] [CrossRef]
- Yu, Z.; Zhang, Y.; Jiang, B.; Su, C.; Fu, J.; Jin, Y.; Chai, T. Decentralized fractional-order backstepping fault-tolerant control of multi-uavs against actuator faults and wind effects. Aerosp. Sci. Technol. 2020, 104, 105939. [Google Scholar] [CrossRef]
- Ding, D.; Han, Q.; Wang, Z.; Ge, X. A survey on model-based distributed control and filtering for industrial cyber-physical systems. IEEE Trans. Ind. Inform. 2019, 15, 2483–2499. [Google Scholar] [CrossRef]
- Dohmann, P.; Hirche, S. Distributed control for cooperative manipulation with event-triggered communication. IEEE Trans. Robot. 2020, 36, 1038–1052. [Google Scholar] [CrossRef]
- Tang, J.; Chen, X.; Zhu, X.; Zhu, F. Dynamic reallocation model of multiple unmanned aerial vehicle tasks in emergent adjustment scenarios. IEEE Trans. Aerosp. Electron. Syst. 2023, 59, 1139–1155. [Google Scholar] [CrossRef]
- Wang, J.; Liu, M.; Sun, J.; Gui, G.; Gacanin, H.; Sari, H.; Adachi, F. Multiple unmanned-aerial-vehicles deployment and user pairing for nonorthogonal multiple access schemes. IEEE Internet Things J. 2021, 8, 1883–1895. [Google Scholar] [CrossRef]
- Yao, W.; Qi, N.; Wan, N.; Liu, Y. An iterative strategy for task assignment and path planning of distributed multiple unmanned aerial vehicles. Aerosp. Sci. Technol. 2019, 86, 455–464. [Google Scholar] [CrossRef]
- Kamel, M.; Yu, X.; Zhang, Y. Formation control and coordination of multiple unmanned ground vehicles in normal and faulty situations: A review. Annu. Rev. Control 2020, 49, 128–144. [Google Scholar] [CrossRef]
- Jose, M.; Gonzalez-R, P.; Andrade-Pineda, J.; Canca, D.; Calle, M. A multi-agent approach to the truck multi-drone routing problem. Expert Syst. Appl. 2022, 195, 116604. [Google Scholar]
- Gu, R.; Sun, X.; Pu, D. Adaptive fault-tolerant control for second-order multiagent systems with unknown control directions via a self-tuning distributed observer. Electronics 2022, 11, 3939. [Google Scholar] [CrossRef]
- Ahmad, A.; Corchado, J.; O’neill, V.; Soh, B. Improving fault tolerance and reliability of heterogeneous multi-agent iot systems using intelligence transfer. Electronics 2022, 11, 2724. [Google Scholar]
- Zhang, P.; Zhang, J.; Yang, J.; Gao, S. Resilient event-triggered adaptive cooperative fault-tolerant tracking control for multiagent systems under hybrid actuator faults and communication constraints. IEEE Trans. Aerosp. Electron. Syst. 2023, 59, 3021–3037. [Google Scholar] [CrossRef]
- Huang, J.; Wang, W.; Wen, C.; Zhou, J.; Li, G. Distributed adaptive leader–follower and leaderless consensus control of a class of strict-feedback nonlinear systems: A unified approach. Automatica 2020, 118, 109021. [Google Scholar] [CrossRef]
- Chen, C.; Lewis, F.L.; Li, X. Event-triggered coordination of multi-agent systems via a Lyapunov-based approach for leaderless consensus. Automatica 2022, 136, 109936. [Google Scholar] [CrossRef]
- Zhang, J.; Feng, T. From undirected graphs to directed graphs: A new technique makes it possible for multi-agent systems. J. Control Decis. 2022, 9, 286–288. [Google Scholar]
- Wang, L.; Zou, M.; Guo, W.; Alsubaie, H.; Alotaibi, A.; Taie, R.; Jahanshahi, H. Adaptive discontinuous control for fixed-time consensus of nonlinear multi-agent systems. Electronics 2022, 11, 3545. [Google Scholar] [CrossRef]
- Wang, C.; Wang, J.; Wu, P.; Gao, J. Consensus problem and formation control for heterogeneous multi-agent systems with switching topologies. Electronics 2022, 11, 2598. [Google Scholar] [CrossRef]
- Wei, Q.; Wang, X.; Zhong, X.; Wu, N. Consensus control of leader-following multi-agent systems in directed topology with heterogeneous disturbances. IEEE/CAA J. Autom. Sin. 2021, 8, 423–431. [Google Scholar] [CrossRef]
- Abbaspour, A.; Mokhtari, S.; Sargolzaei, A.; Yen, K. A survey on active fault-tolerant control systems. Electronics 2020, 9, 1513. [Google Scholar] [CrossRef]
- Wang, X.; Zhou, Y.; Huang, T.; Chakrabarti, P. Event-triggered adaptive fault-tolerant control for a class of nonlinear multiagent systems with sensor and actuator faults. IEEE Trans. Circuits Syst. I Regul. Pap. 2022, 69, 4203–4214. [Google Scholar] [CrossRef]
- Guo, X.; Liu, P.; Wang, J.; Ahn, C. Event-triggered adaptive fault-tolerant pinning control for cluster consensus of heterogeneous nonlinear multi-agent systems under aperiodic dos attacks. IEEE Trans. Netw. Sci. Eng. 2021, 8, 1941–1956. [Google Scholar] [CrossRef]
- Li, K.; Li, Y. Fuzzy adaptive optimal consensus fault-tolerant control for stochastic nonlinear multiagent systems. IEEE Trans. Fuzzy Syst. 2022, 30, 2870–2885. [Google Scholar] [CrossRef]
- Ju, Y.; Tian, X.; Wei, G. Fault tolerant consensus control of multi-agent systems under dynamic event-triggered mechanisms. ISA Trans. 2022, 127, 178–187. [Google Scholar] [CrossRef] [PubMed]
- Cheng, F.; Liang, H.; Wang, H.; Zong, G.; Xu, N. Adaptive neural self-triggered bipartite fault-tolerant control for nonlinear mass with dead-zone constraints. IEEE Trans. Autom. Sci. Eng. 2023, 20, 1663–1674. [Google Scholar] [CrossRef]
- Liu, C.; Jiang, B.; Zhang, K.; Patton, R. Distributed fault-tolerant consensus tracking control of multi-agent systems under fixed and switching topologies. IEEE Trans. Circuits Syst. I Regul. Pap. 2021, 68, 1646–1658. [Google Scholar] [CrossRef]
- Chen, S.; Daniel, W.; Li, L.; Liu, M. Fault-tolerant consensus of multi-agent system with distributed adaptive protocol. IEEE Trans. Cybern. 2015, 45, 2142–2155. [Google Scholar] [CrossRef]
- Liu, F.; Hua, Y.; Dong, X.; Li, Q.; Ren, Z. Adaptive fault-tolerant time-varying formation tracking for multi-agent systems under actuator fault and input saturation. ISA Trans. 2020, 104, 145–153. [Google Scholar] [CrossRef]
- Ye, D.; Chen, M.; Li, K. Observer-based distributed adaptive fault-tolerant containment control of multi-agent systems with general linear dynamics. ISA Trans. 2017, 71, 32–39. [Google Scholar] [CrossRef] [PubMed]
- Liu, C.; Jiang, B.; Patton, R.; Zhang, K. Decentralized output sliding-mode fault-tolerant control for heterogeneous multiagent systems. IEEE Trans. Cybern. 2020, 50, 4934–4945. [Google Scholar] [CrossRef]
- Deng, C.; Wen, C. Distributed resilient observer-based fault-tolerant control for heterogeneous multiagent systems under actuator faults and dos attacks. IEEE Trans. Control Netw. Syst. 2020, 7, 1308–1318. [Google Scholar] [CrossRef]
- Zhang, K.; Jiang, B.; Yan, X.; Xia, J. Distributed fault diagnosis of multi-agent systems with time-varying sensor faults. ICIC Exp. Lett. 2020, 14, 129–135. [Google Scholar]
- Sun, Y.; Xia, Y.; Zhang, J.; Ding, D. Adaptive fault-tolerant output regulation of linear multi-agent systems with sensor faults. IEEE Access 2020, 8, 159440–159448. [Google Scholar] [CrossRef]
- Gong, J.; Jiang, B.; Shen, Q. Distributed-observer-based fault tolerant control design for nonlinear multi-agent systems. Int. J. Control. Autom. Syst. 2019, 17, 3149–3157. [Google Scholar] [CrossRef]
- Choi, K.; Kim, Y.; Kim, S.; Kim, K. Current and position sensor fault diagnosis algorithm for pmsm drives based on robust state observer. IEEE Trans. Ind. Electron. 2021, 68, 5227–5236. [Google Scholar] [CrossRef]
- Gao, L.; Li, D.; Yao, L.; Gao, Y. Sensor drift fault diagnosis for chiller system using deep recurrent canonical correlation analysis and k-nearest neighbor classifier. ISA Trans. 2022, 122, 232–246. [Google Scholar] [CrossRef]
- Petersen, K.B.; Petersen, M.S. The Matrix Cookbook; Technical University of Denmark: Lyngby, Denmark, 2012. [Google Scholar]




Disclaimer/Publisher’s Note: The statements, opinions and data contained in all publications are solely those of the individual author(s) and contributor(s) and not of MDPI and/or the editor(s). MDPI and/or the editor(s) disclaim responsibility for any injury to people or property resulting from any ideas, methods, instructions or products referred to in the content. |
© 2023 by the authors. Licensee MDPI, Basel, Switzerland. This article is an open access article distributed under the terms and conditions of the Creative Commons Attribution (CC BY) license (https://creativecommons.org/licenses/by/4.0/).
Share and Cite
Ye, Z.; Cheng, Y.; Yu, Z.; Jiang, B. Distributed Adaptive Fault-Tolerant Control for Leaderless/Leader–Follower Multi-Agent Systems against Actuator and Sensor Faults. Electronics 2023, 12, 2924. https://doi.org/10.3390/electronics12132924
Ye Z, Cheng Y, Yu Z, Jiang B. Distributed Adaptive Fault-Tolerant Control for Leaderless/Leader–Follower Multi-Agent Systems against Actuator and Sensor Faults. Electronics. 2023; 12(13):2924. https://doi.org/10.3390/electronics12132924
Chicago/Turabian StyleYe, Zhengyu, Yuehua Cheng, Ziquan Yu, and Bin Jiang. 2023. "Distributed Adaptive Fault-Tolerant Control for Leaderless/Leader–Follower Multi-Agent Systems against Actuator and Sensor Faults" Electronics 12, no. 13: 2924. https://doi.org/10.3390/electronics12132924
APA StyleYe, Z., Cheng, Y., Yu, Z., & Jiang, B. (2023). Distributed Adaptive Fault-Tolerant Control for Leaderless/Leader–Follower Multi-Agent Systems against Actuator and Sensor Faults. Electronics, 12(13), 2924. https://doi.org/10.3390/electronics12132924

