A Novel 4H–SiC/Si Heterojunction IGBT Achieving Low Turn–Off Loss
Abstract
:1. Introduction
2. Device Structure and Working Mechanism
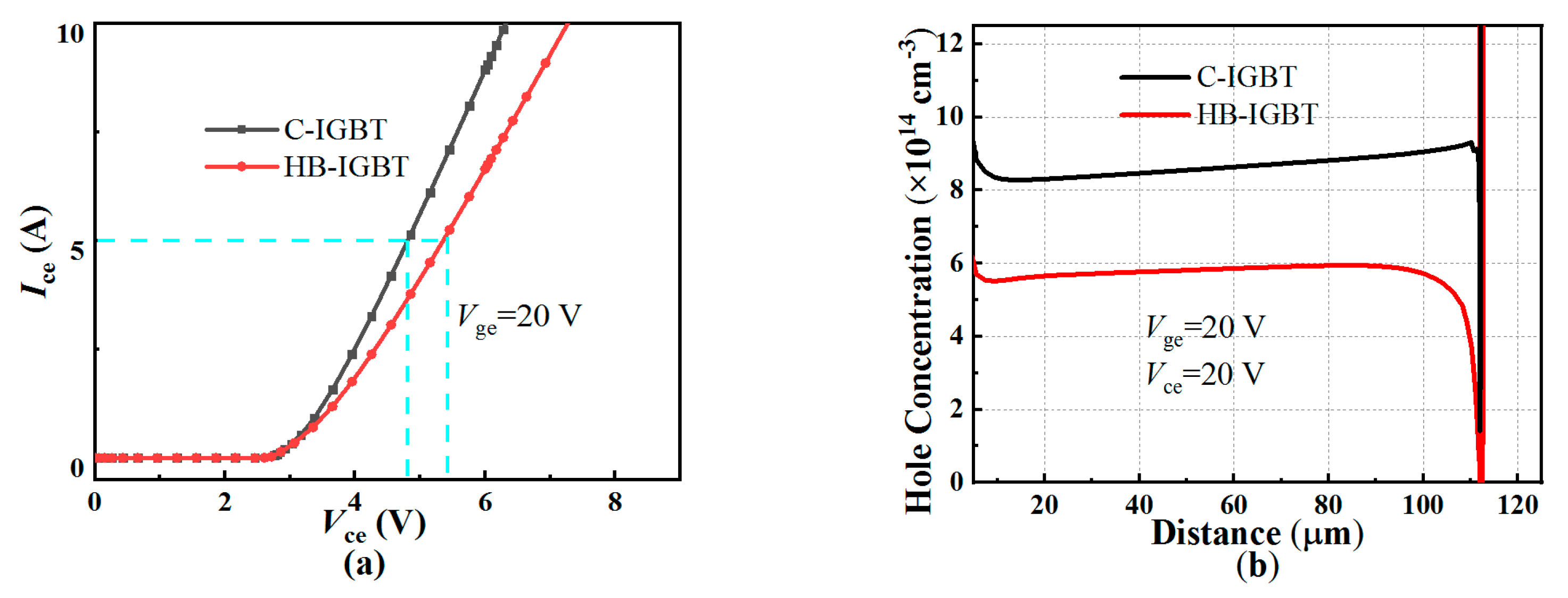
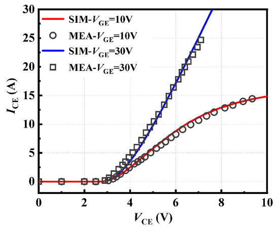
3. Simulation Results and Discussion
4. Conclusions
Author Contributions
Funding
Data Availability Statement
Conflicts of Interest
References
- Ballestín-Fuertes, J.; Muñoz-Cruzado-Alba, J.; Sanz-Osorio, J.F.; Laporta-Puyal, E. Role of Wide Bandgap Materials in Power Electronics for Smart Grids Applications. Electronics 2021, 10, 677. [Google Scholar] [CrossRef]
- Zhang, L.; Zheng, Z.; Lou, X. A Review of WBG and Si Devices Hybrid Applications. Chin. J. Electr. Eng. 2021, 7, 1–20. [Google Scholar] [CrossRef]
- Jain, H.; Rajawat, S.; Agrawal, P. Comparision of wide band gap semiconductors for power electronics applications. In Proceedings of the 2008 International Conference on Recent Advances in Microwave Theory and Applications, Jaipur, India, 21–24 November 2008; pp. 878–881. [Google Scholar]
- Iwamuro, N. Recent Progress of Power Semiconductor Devices and Their Futures. In Proceedings of the IEEE-CPMT Symposium Japan (ICSJ), Kyoto Univ Clock Tower Centennial Hall, Kyoto, Japan, 20–22 November 2017; pp. 191–194. [Google Scholar]
- Huang, A.Q. Power Semiconductor Devices for Smart Grid and Renewable Energy Systems. Proc. IEEE 2017, 105, 2019–2047. [Google Scholar] [CrossRef]
- Lorenz, L. Power Semiconductor Devices-Development Trends and System Interactions. In Proceedings of the 2007 Power Conversion Conference, Nagoya, Japan, 2–5 April 2007; pp. 348–354. [Google Scholar]
- Kumar, V.; Maan, A.S.; Akhtar, J. Barrier height inhomogeneities induced anomaly in thermal sensitivity of Ni/4H-SiC Schottky diode temperature sensor. J. Vac. Sci. Technol. B 2014, 32, 4. [Google Scholar] [CrossRef]
- Kumar, V.; Kumar, S.; Maan, A.S.; Akhtar, J. Interface improvement of epitaxial 4H-SiC based Schottky didoes by selective heavy ion irradiation. Appl. Nanosci. 2020, 13, 221–228. [Google Scholar] [CrossRef]
- Asada, S.; Murata, K.; Tsuchida, H. Modeling of Stacking Faults in 4H-SiC n-Type Epilayer for TCAD Simulation. IEEE Trans. Electron Devices 2023, 70, 1757–1762. [Google Scholar] [CrossRef]
- Madhusoodhanan, S.; Tripathi, A.; Patel, D.; Mainali, K.; Kadavelugu, A.; Hazra, S.; Bhattacharya, S.; Hatua, K. Solid-State Transformer and MV Grid Tie Applications Enabled by 15 kV SiC IGBTs and 10 kV SiC MOSFETs Based Multilevel Converters. IEEE Trans. Ind. Appl. 2015, 51, 3343–3360. [Google Scholar] [CrossRef]
- Iwamuro, N.; Laska, T. IGBT History, State-of-the-Art, and Future Prospects. IEEE Trans. Electron Devices 2017, 64, 741–752. [Google Scholar] [CrossRef]
- Tiwari, S.; Undeland, T.; Basu, S.; Robbin, W. Silicon Carbide Power Transistors, Characterization for Smart Grid Applications. In Proceedings of the 15th International Power Electronics and Motion Control Conference and Exposition (EPE-PEMC ECCE Europe), Novi Sad, Serbia, 4–6 September 2012; pp. LS6d.2-1–LS6d.2-8. [Google Scholar]
- Avram, M.; Brezeanu, G.; Avram, A.; Neagoe, O.; Brezeanu, M.; Iliescu, C.; Codreanu, C.; Voitincu, C. Contributions to development of high power SiC-IGBT. In Proceedings of the CAS 2005 International Semiconductor Conference, Sinaia, Romania, 3–5 October 2005; Volume 2, pp. 365–368. [Google Scholar]
- Ramungul, N.; Chow, T.P.; Ghezzo, M.; Kretchmer, J.; Hennessy, W. A fully planarized, 6H-SiC UMOS insulated-gate bipolar transistor. In Proceedings of the 1996 54th Annual Device Research Conference Digest, Santa Barbara, CA, USA, 26 June 1996; pp. 56–57. [Google Scholar]
- Han, L.; Liang, L.; Kang, Y.; Qiu, Y. A Review of SiC IGBT: Models, Fabrications, Characteristics, and Applications. IEEE Trans. Power Electron. 2021, 36, 2080–2093. [Google Scholar] [CrossRef]
- Kadavelugu, A.; Bhattacharya, S.; Ryu, S.; Brunt, E.V.; Grider, D.; Agarwal, A.; Leslie, S. Characterization of 15 kV SiC n-IGBT and its application considerations for high power converters. In Proceedings of the 2013 IEEE Energy Conversion Congress and Exposition, Denver, CO, USA, 15–19 September 2012; pp. 2528–2535. [Google Scholar]
- Van Brunt, E.; Cheng, L.; O’Loughlin, M.J.; Richmond, J.; Pala, V.; Palmour, J.W.; Tipton, C.W.; Scozzie, C. 27 kV, 20 A 4H-SiC n-IGBTs. Mater. Sci. Forum 2015, 821–823, 847–850. [Google Scholar] [CrossRef]
- Johannesson, D.; Nawaz, M.; Norrga, S.; Hallen, A.; Nee, H.-P. Static and Dynamic Performance Prediction of Ultrahigh-Voltage Silicon Carbide Insulated-Gate Bipolar Transistors. IEEE Trans. Power Electron. 2021, 36, 5874–5891. [Google Scholar] [CrossRef]
- Zhang, J.; Luo, J.; Chen, Z.; Li, Z.; Zhang, B. A Novel Snapback-Free Reverse-Conducting IGBT with Si/SiC Heterojunction. In Proceedings of the IEEE Electron Devices Technology and Manufacturing Conference (EDTM), Penang, Malaysia, 6–21 April 2020; pp. 1–4. [Google Scholar]
- Yu, H.; Liang, S.; Liu, H.; Wang, J.; Shen, Z.J. Numerical Study of SiC MOSFET With Integrated n-/n-Type Poly-Si/SiC Heterojunction Freewheeling Diode. IEEE Trans. Electron Devices 2021, 68, 4571–4576. [Google Scholar] [CrossRef]
- Wang, Y.; Yu, C.-H.; Mao, H.-K.; Wu, X.; Su, F.-W.; Li, X.-J.; Yang, J.-Q. Low Turn-Off Loss 4H-SiC Insulated Gate Bipolar Transistor with a Trench Heterojunction Collector. IEEE J. Electron Devices Soc. 2020, 8, 1010–1015. [Google Scholar] [CrossRef]
- Liu, Y.-J.; Wang, Y.; Hao, Y.; Yu, C.-H.; Cao, F. 4H-SiC Trench IGBT With Back-Side n-p-n Collector for Low Turn-OFF Loss. IEEE Trans. Electron Devices 2017, 64, 488–493. [Google Scholar] [CrossRef]
- Synopsys TCAD Tools; Synopsys: Mountain View, CA, USA; Available online: http://www.synopsys.com (accessed on 1 January 2013).
- Mu, F.; Iguchi, K.; Nakazawa, H.; Takahashi, Y.; Fujino, M.; He, R.; Suga, T. A comparison study: Direct wafer bonding of SiC–SiC by standard surface-activated bonding and modified surface-activated bonding with Si-containing Ar ion beam. Appl. Phys. Express 2016, 9, 081302. [Google Scholar] [CrossRef]
- Kang, Q.; Wang, C.; Niu, F.; Zhou, S.; Xu, J.; Tian, Y. Single-crystalline SiC integrated onto Si-based substrates via plasma-activated direct bonding. Ceram. Int. 2020, 46, 22718–22726. [Google Scholar] [CrossRef]
- Hatakeyama, T.; Fukuda, K.; Okumura, H. Physical Models for SiC and Their Application to Device Simulations of SiC Insulated-Gate Bipolar Transistors. IEEE Trans. Electron Devices 2013, 60, 613–621. [Google Scholar] [CrossRef]
- Fukuda, K.; Okamoto, D.; Okamoto, M.; Deguchi, T.; Mizushima, T.; Takenaka, K.; Fujisawa, H.; Harada, S.; Tanaka, Y.; Yonezawa, Y.; et al. Development of Ultrahigh-Voltage SiC Devices. IEEE Trans. Electron Devices 2015, 62, 396–404. [Google Scholar] [CrossRef]
- Cooper, J.A.; Morisette, D.T.; Sampath, M.; Stellman, C.A.; Bayne, S.B.; Westphal, M.J.; Anderson, C.H.; Ransom, J.A. Demonstration of Constant-Gate-Charge Scaling to Increase the Robustness of Silicon Carbide Power MOSFETs. IEEE Trans. Electron Devices 2021, 68, 4577–4581. [Google Scholar] [CrossRef]












| Parameters | C–IGBT | HBL–IGBT |
|---|---|---|
| Cell pitch (μm) | 15 | 15 |
| Active area (mm2) | 16 | 16 |
| P+ collector depth (μm) | 5 | 5 |
| P+ collector doping (cm−3) | 1 × 1019 | 1 × 1019 |
| Gate oxide thickness (nm) | 60 | 60 |
| N–CSL doping (cm−3) | 8 × 1015 | 8 × 1015 |
| N–CSL thickness (μm) | 2 | 2 |
| N–drift thickness (μm) | 110 | 110 |
| N–drift doping (cm−3) | 4 × 1014 | 4 × 1014 |
| N–buffer thickness (μm) | 2.5 | 2.5 |
| N–buffer doping (cm−3) | 2 × 1017 | 2 × 1017 |
| N+ polysilicon doping (cm−3) | -- | 1 × 1019 |
| Trench heterojunction thickness (μm) | -- | 0.5 |
| Trench heterojunction width (μm) | -- | 0.5 |
Disclaimer/Publisher’s Note: The statements, opinions and data contained in all publications are solely those of the individual author(s) and contributor(s) and not of MDPI and/or the editor(s). MDPI and/or the editor(s) disclaim responsibility for any injury to people or property resulting from any ideas, methods, instructions or products referred to in the content. |
© 2023 by the authors. Licensee MDPI, Basel, Switzerland. This article is an open access article distributed under the terms and conditions of the Creative Commons Attribution (CC BY) license (https://creativecommons.org/licenses/by/4.0/).
Share and Cite
Wang, E.; Tian, X.; Lu, J.; Wang, X.; Li, C.; Bai, Y.; Yang, C.; Tang, Y.; Liu, X. A Novel 4H–SiC/Si Heterojunction IGBT Achieving Low Turn–Off Loss. Electronics 2023, 12, 2501. https://doi.org/10.3390/electronics12112501
Wang E, Tian X, Lu J, Wang X, Li C, Bai Y, Yang C, Tang Y, Liu X. A Novel 4H–SiC/Si Heterojunction IGBT Achieving Low Turn–Off Loss. Electronics. 2023; 12(11):2501. https://doi.org/10.3390/electronics12112501
Chicago/Turabian StyleWang, Erjun, Xiaoli Tian, Jiang Lu, Xinhua Wang, Chengzhan Li, Yun Bai, Chengyue Yang, Yidan Tang, and Xinyu Liu. 2023. "A Novel 4H–SiC/Si Heterojunction IGBT Achieving Low Turn–Off Loss" Electronics 12, no. 11: 2501. https://doi.org/10.3390/electronics12112501
APA StyleWang, E., Tian, X., Lu, J., Wang, X., Li, C., Bai, Y., Yang, C., Tang, Y., & Liu, X. (2023). A Novel 4H–SiC/Si Heterojunction IGBT Achieving Low Turn–Off Loss. Electronics, 12(11), 2501. https://doi.org/10.3390/electronics12112501

