Next Article in Journal
Survivability Mapping Strategy for Virtual Wireless Sensor Networks for Link Failures in the Internet of Things
Previous Article in Journal
Immersive Virtual Reality Enabled Interventions for Autism Spectrum Disorder: A Systematic Review and Meta-Analysis
 
 
Font Type:
Arial Georgia Verdana
Font Size:
Aa Aa Aa
Line Spacing:
Column Width:
Background:
Article

Blind Matching Filtering Algorithm for Spectrum Sensing under Multi-Path Channel Environment

1
The State Key Laboratory of Integrated Service Networks, Xidian University, Xi’an 710071, China
2
The School of Information Engineering, Xinyang Agriculture and Forestry University, Xinyang 464000, China
*
Author to whom correspondence should be addressed.
Electronics 2023, 12(11), 2499; https://doi.org/10.3390/electronics12112499
Submission received: 30 March 2023 / Revised: 14 May 2023 / Accepted: 27 May 2023 / Published: 1 June 2023
(This article belongs to the Section Computer Science & Engineering)

Abstract

Matching filtering has been proven to be the optimal spectrum sensing algorithm under Gaussian white noise. However, the application of this algorithm is limited because of its dependence on prior information. In this paper, we propose a spectrum sensing algorithm based on blind matching filtering (BMF) by using the correlation between adjacent received signals under dispersive channels. Theoretical analysis shows that the proposed algorithm can achieve a performance comparable to that of the matching filtering algorithm without requiring the prior information of the primary user. Thus, this algorithm shows superior detection performance. Moreover, an improved BMF (IBMF) algorithm is proposed on the basis of the correlation between different time-delay signals. IBMF utilizes more comprehensive correlation information of the received signals and achieves better detection performance compared to BMF. Furthermore, the two proposed algorithms have lower computational complexity than the classical approaches based on the covariance matrix of the received signals. Numerical simulations confirm the superior performance of the proposed detectors and validate the theoretical analysis.

1. Introduction

As the demand for wireless communication services increases, there is an increasing scarcity of spectrum resources [1,2]. Meanwhile, the utilization rate of authorized spectrum resources has been found to be extremely low [3]. To address this contradiction, cognitive radio technology [4] has emerged. Cognitive radio, first proposed in [5], is a promising technology to exploit the under-utilized spectrum in an opportunistic manner [6,7,8,9]. This technique allows cognitive users (CUs) to access the network using an idle authorized spectrum, thereby improving the utilization of spectrum resources. Cognitive radio uses spectrum sensing as the core technology to detect whether authorized users utilize spectrum resources, thereby enabling unauthorized users to opportunistically use free bands to transmit signals. Therefore, this technology effectively improves the utilization rate of spectrum resources and has been attracting wide attention.
Common single-node spectrum sensing algorithms include energy detection (ED) [10,11,12,13,14,15,16], matching filters [17,18,19,20], cyclic stationary detection [21,22,23], and compressive spectrum sensing [24,25], and they have different requirements, advantages, and disadvantages. The ED algorithm has low complexity, is based on a simple principle, and is easy to implement. Unlike other methods, ED does not need any prior information regarding the signal, and is robust to unknown multi-path fading. However, it is vulnerable to noise uncertainty [26,27,28,29]. Moreover, accurate noise power is difficult to obtain in practice, which greatly affects the accuracy of threshold estimation and detection performance. Furthermore, when the SNR is low to a certain value, the performance of the ED will deteriorate sharply, i.e., the SNR wall effect. Under Gaussian white noise, although the matching filtering algorithm is proven to be the optimal spectrum sensing algorithm without multi-path propagation, it requires fully known prior information of the primary user (PU), which is generally unrealistic in practical environments [17,19,20]. Cyclic stationary detection requires the PU to have the characteristics of cyclic stationary and to not be universal. Furthermore, for some existing algorithms, it is assumed that the channel state information is known or the channel is flat fading. However, real wireless channels tend to have multi-path propagation, implying that the channel is non-flat fading, which will severely deteriorate the performance of these algorithms. In particular, multi-path propagation destroys cyclic stationary and sharply declines the performance of the cyclic stationary algorithms. Compressed-sensing-technology-based spectrum sensing has great advantages to apply to the broadband environment because the spectrum is usually sparse in real life. However, sparsity is usually unknown, so it is necessary to choose a larger number of samples for measurement, which leads to a decrease of the detection performance of the algorithm.
To overcome these shortcomings of the single-point algorithm, many scholars have proposed to transform the single-point signal to a similar multi-point reception form through the sliding window technique and, subsequently, establish spectrum sensing algorithms by using the relevant characteristics of the covariance matrix. Therefore, the detection performance is improved. Examples of these methods are the maximum–minimum eigenvalue (MME) method [30,31], the covariance absolute value (CAV) method [32,33,34,35], the eigenvalue moment ratio (EMR) method [36], and the mixture detection (MD) method [37]. All these methods use the correlation of received data for data accumulation, which improves detection performance to a certain extent. However, not only is determining the optimal sliding window length a challenge, but the algorithms are computationally complex. In particular, the MD method requires the determinant of the covariance matrix to be calculated, which increases the computational load considerably. Therefore, there is an urgent need to develop a simple spectrum sensing algorithm with good detection performance.
Besides spectrum sensing technology, multiple access technology [38,39,40] is also widely used in cognitive radio to improve spectrum efficiency. This technology allows a CU to transmit over the same time-frequency slot of a PU, which leads to high spectrum efficiency. However, the tempting incentive of the multiple access technology is at the price of multi-signal interference and an increase in the computational complexity of the primary receiver. Compared to multiple access technology, spectrum sensing technology improves the spectrum efficiency without the influence of PU. Consequently, we focus on spectrum sensing technology.
In this paper, we propose two spectrum sensing algorithms based on the analysis of the characteristics of a frequency-selective fading channel. The main contributions are as follows. First, we construct a test statistic on the basis of the strong correlation between the received signal and its corresponding delay version as well as the independence of the noise at different times. The analysis shows that the proposed algorithms implement the correlation accumulation without requiring the prior information of the PU, and that they have similar properties to the matched filter method. Thus, the proposed algorithms improve the detection probability. Second, when the received data are divided into real and complex numbers, we provide the probability distribution of the test statistics of the proposed algorithms by theoretical analysis in the case of absent signals. On the basis of this probability distribution, the false alarm probability of the proposed algorithm can be obtained, and the detection threshold corresponding to the required false alarm probability can be determined. Third, we compare the computational complexity of the proposed algorithm with that of ED, MME, CAV, EMR, and MD. The results show that the computational complexity of the proposed algorithm is similar to that of ED and much lower than that of MME, CAV, EMR, and MD. Finally, the simulation results confirm the effectiveness of the proposed algorithm and the accuracy of the theoretical analysis.
The remainder of the paper is organized as follows. The system model is introduced in Section 2. Section 3 describes the proposed algorithms, including the design of the two proposed test statistics, the theoretical analysis, and the determination of the thresholds of the proposed algorithm. This section also discusses the comparison of the complexities of some related algorithms. The simulation results and discussion are presented in Section 4. Finally, Section 5 concludes the paper.
The notations used in this paper are as follows: boldface capital and small letters denote matrices and vectors, respectively; the superscripts ( ) T and ( ) stand for transpose and complex conjugate, respectively; | | denotes the absolute value of a variable or the magnitude of a complex number; and E [ ] represents the expectation operation.

2. System Model

Consider a spectrum sensing system with one PU and one CU. Assume that there is multi-path propagation between the two users, that is, the channel is frequency-selective fading. In the case of the presence and absence of the PU represented by H 1 and H 0 , the received signal of CU at time n is respectively given by
{ H 0 :     x ( n ) = e ( n ) H 1 :     x ( n ) = x ¯ ( n ) + e ( n ) ,
where e ( n ) is the independent and identically distributed (i.i.d.) Gaussian white noise independent of the transmission signals with mean zero and variance σ 2 . Moreover, if the noise is complex, its real part and imaginary part are independent of each other. Further, x ¯ ( n ) = l = 0 L 1 h ( l ) s ( n l ) , x ¯ ( n ) is the received signal, which experiences multi-path propagation without considering the effect of noise, h ( n ) is the impulse response with order L , and s ( n ) is the signal transmitted by the PU. The signal-to-noise ratio (SNR) is defined as S N R = E ( | x ¯ ( n ) | 2 ) / σ 2 , and, usually, a low SNR is required for spectrum sensing. Without loss of generality, assume that s ( n ) meets the following statistical characteristics:
E [ s ( i ) s ( j ) ] = { 0 i j σ s 2 i = j .
Let us consider N consecutive receiving data samples and define the receiving data vector as
x = [ x ( 1 ) , x ( 2 ) , , x ( N ) ] T .
Our goal is to construct the test statistic T = f(x) and determine the detection threshold η and then compare them to determine whether a signal is present or not in the received data, i.e.,
T H 0 H 1 η .

3. Proposed Algorithm

In spectrum sensing, we mainly focus on two performance indicators: the detection probability p d and the false alarm probability p f . In the construction of the test statistic, we should consider the effect of the test statistic on both these probabilities. Therefore, irrespective of whether the PU is present or not, the test statistic should have high distinguishability. In other words, the test statistic should meet the following requirements: (1) the difference between the means of the test statistics when the PU signal is present and absent is larger, and (2) the variance of the test statistics is small when the PU signal is either present or not.

3.1. Spectrum Sensing Algorithm Based on Blind Matched Filtering

According to Equation (1), if no PU signal exists, the received data (pure noise) at times n and n + 1 are uncorrelated. By contrast, if the PU signal exists, the received data at n and n + 1 are correlated. Because they are all related to the received signals s ( n ) , s ( n 1 ) , , s ( n L + 2 ) , we can construct the test statistic according to the autocorrelation of the received data from the adjacent times. When there is no PU signal, the autocorrelation of x ( n ) and x ( n + 1 ) is defined as
H 0 :   r 1 = E [ e ( n ) e ( n + 1 ) ] = 0 .
According to Equation (5), because the noises at adjacent times are uncorrelated, | r 1 | is equal to zero. When the PU is present, the autocorrelation of x ( n ) and x ( n + 1 ) is defined as
H 1 :   r 1 = E [ x ( n ) x ( n + 1 ) ] = E [ ( l = 0 L 1 h ( l ) s ( n l ) + e ( n ) ) ( l ¯ = 0 L 1 h ( l ) s ( n + 1 l ¯ ) + e ( n + 1 ) ) ] = l = 0 L 2 h ( l ) h ( l + 1 ) E [ | s ( n l ) | 2 ] = σ s 2 l = 0 L 2 h ( l ) h ( l + 1 ) .
Owing to the multi-path effect, the samples at adjacent times have the components of the transmitted signals simultaneously [41]. Thus, the correlation is relatively high, and | r 1 | is larger. Combining Equations (5) and (6), statistics H 1 :   r 1 and H 0 :   r 1 are observed to have a significant difference when the PU signal is present and absent. Hence, | r 1 | can be used as the test statistic for the presence of the PU or not. In addition, the statistic | r 1 | is similar to the result of matched filtering. As is well known, the output of matched filtering has the largest SNR. Therefore, the proposed algorithm has good detection performance. Without the requirement of the prior information of the PU for the test statistic of | r 1 | , the proposed algorithm is more robust and has wider application scenarios compared to the non-blind methods. Therefore, the method in which | r 1 | is used as the test statistic is called blind matched filtering (BMF).
Theoretically, | r 1 | = 0 indicates that no signal is contained in the received data; | r 1 | = σ s 2 | l = 0 L 2 h ( l ) h ( l + 1 ) | > 0 indicates that the received data contain a signal. In practice, however, the statistic | r 1 | can only be calculated with the finite sampling signal. Accordingly, the statistic | r 1 | can be used as the test statistic T B M F , and it can be approximately calculated as
T B M F = | r ¯ 1 | | 1 N 1 n = 1 N 1 x ( n ) x ( n + 1 ) | ,
where N is the number of available samples.
Hence, the spectrum sensing method based on BMF is summarized in Algorithm 1:
Algorithm 1: The proposed BMF.
Step 1: Obtain the observations x = [ x ( 1 ) , x ( 2 ) , , x ( N ) ] T .
Step 2: According to Equation (7), calculate the test statistic T B M F = | r ¯ 1 | .
Step 3: Based on T B M F and threshold η B M F , determine the presence or absence of the PU using the following Formula (8):
T B M F H 0 H 1 η B M F
where η B M F is the detection threshold corresponding to the BMF method, which will be discussed in Section 3.3.

3.2. Spectrum Sensing Algorithm Based on Improved Blind Matched Filtering

BMF considers the case of autocorrelation with unit delay as a test statistic. In fact, the autocorrelation of other adjacent signal samples has similar properties. When the PU is absent, the autocorrelation of x ( n ) and x ( n + k ) is
r k = E [ x ( n ) x ( n + k ) ] = E [ e ( n ) e ( n + k ) ] = 0
When the PU is present, the autocorrelation of x ( n ) and x ( n + k ) is
r k = E [ x ( n ) x ( n + k ) ] = E [ ( l = 0 L 1 h ( l ) s ( n l ) + e ( n ) ) ( l ¯ = 0 L 1 h ( l ) s ( n + k l ¯ ) + e ( n + k ) ) ] = l = 0 L k 1 h ( l ) h ( l + k ) E [ | s ( n l ) | 2 ] = σ s 2 l = 0 L k 1 h ( l ) h ( l + k ) .
According to Equations (9) and (10), r k ( k = 1 , 2 , , L 1 ) have the following properties: (1) | r k | = 0 indicates that the PU signal does not exist, and (2) | r k | > 0 indicates that the PU signal exists. Based on the above analysis, we construct a similar test statistic as follows:
T I B M F = 1 L 1 k = 1 L 1 | r k | .
Compared to T B M F , because the test statistic T I B M F uses the more correlated information, the detection performance of the test statistic T I B M F is better than that of T B M F , which will be proved by the simulation. The method corresponding to this test statistic is called improved BMF (IBMF). Similarly, the test statistic r k can be calculated as
r k r ¯ k = 1 N k n = 1 N k x ( n ) x ( n + k )
Then, the actual test statistic becomes
T I B M F = 1 L 1 k = 1 L 1 | r ¯ k |
Hence, the spectrum sensing method based on IBMF is summarized in Algorithm 2:
Algorithm 2: The proposed IBMF.
Step 1: Obtain the observations x = [ x ( 1 ) , x ( 2 ) , , x ( N ) ] T
Step 2: According to Equation (12), calculate r k ( k = 1 , 2 , , L 1 ).
Step 3: According to Equation (13), the test statistic T I B M F is calculated.
Step 4: Determine whether there is a PU according to the following Formula (14):
T I B M F H 0 H 1 η I B M F
where η I B M F is the detection threshold corresponding to the IBMF method. This will be discussed in Section 3.4.

3.3. Theoretical Analysis and Threshold Determination of the BMF Method

The two performance indexes of spectrum sensing are false alarm probability p f and detection probability p d . Obviously, p d should be large and p f should be small for a good detection algorithm. However, these are contradictory indicators that need to be compromised. The requirements of p d and p f depend on the application. Detection threshold η B M F is a core parameter of spectrum sensing, and it can balance the two probabilities. According to Equation (8), the smaller the detection threshold, the higher the detection probability and the false alarm probability. In the absence of the PU signal, T B M F will simplify to
T B M F = | r ¯ 1 | | 1 N 1 n = 1 N 1 e ( n ) e ( n + 1 ) | = | 1 N 1 ( n = 1 N / 2 e ( 2 n 1 ) e ( 2 n ) + n = 1 ( N 1 ) / 2 e ( 2 n ) e ( 2 n + 1 ) ) | .
where notation stands for round down. Because e ( n ) is i.i.d., all the terms in n = 1 N / 2 e ( 2 n 1 ) e ( 2 n ) (the odd terms in r ¯ 1 ) are i.i.d. When the sample number N is large, n = 1 N / 2 e ( 2 n 1 ) e ( 2 n ) satisfies the Gaussian distribution according to the central limit theorem (CLT). Similarly, n = 1 ( N 1 ) / 2 e ( 2 n ) e ( 2 n + 1 ) (the even term in r ¯ 1 ) also satisfies the Gaussian distribution. Moreover, because the linear combination of the Gaussian distribution still satisfies the Gaussian distribution, r ¯ 1 = 1 N 1 n = 1 N 1 e ( n ) e ( n + 1 ) satisfies the Gaussian distribution. Its mean and variance are, respectively,
E [ r ¯ 1 ] = E [ e ( n ) e ( n + 1 ) ] = 0
and
var [ r ¯ 1 ] = 1 N 1 var [ e ( n ) e ( n + 1 ) ] = 1 N 1 σ 4
To calculate the false alarm probability, r ¯ 1 must be considered a real number or a complex number. First, when r ¯ 1 is a real number, the false alarm probability is
p f = P ( | r ¯ 1 | > η B M F ) = P ( r ¯ 1 > η B M F ) + P ( r ¯ 1 < η B M F ) = 2 Q ( η B M F N 1 σ 2 ) .
where Q ( x ) = 1 2 π x e t 2 / 2 d t . Generally, we determine the detection threshold by a given false alarm probability. Accordingly, the detection threshold η B M F can be calculated as
η B M F = Q 1 ( p f / 2 ) σ 2 / N 1 .
Second, when r ¯ 1 is a complex number, because the real and imaginary parts of e ( n ) are i.i.d. and e ( n ) is independent of e ( n + 1 ) , the real part X and imaginary part Y of r ¯ 1 are i.i.d., and their probability densities can be written, respectively, as
f ( X ) = 2 ( N 1 ) 2 π σ 2 e X 2 σ 4 / ( N 1 )
and
f ( Y ) = 2 ( N 1 ) 2 π σ 2 e Y 2 σ 4 / ( N 1 ) .
Accordingly, the probability density function of | r ¯ 1 | is
f ( | r ¯ 1 | ) = 0 2 π | r ¯ 1 | N 1 π σ 4 e | r ¯ 1 | 2 σ 4 / ( N 1 ) d θ = 2 ( N 1 ) σ 4 | r ¯ 1 | e | r ¯ 1 | 2 σ 4 / ( N 1 ) .
Equation (22) indicates that | r ¯ 1 | satisfies the Rayleigh distribution, and its complementary cumulative distribution function is:
F ( z ) = P ( | r ¯ 1 | > z ) = z f ( | r ¯ 1 | ) d | r ¯ 1 | = e z 2 σ 4 / ( N 1 ) .
Therefore, when r ¯ 1 is a complex number, the false alarm probability is
p f = P ( | r ¯ 1 | > η B M F ) = e η B M F 2 σ 4 / ( N 1 ) .
Given the false alarm probability p f , the corresponding detection threshold is
η B M F = σ 2 ln p f / ( N 1 ) .

3.4. Theoretical Analysis and Threshold Determination of the IBMF Method

Similarly to r ¯ 1 , all the n ,   n + k , n + 2 k ( n = 1 , 2 ) terms in r ¯ k = 1 N k n = 1 N k e ( n ) e ( n + k ) ( k = 1 , 2 , , L 1 ) are i.i.d. Consequently, r ¯ 1 also satisfies the Gaussian distribution when N is sufficiently large, and its mean is
E [ r ¯ k ] = E [ e ( n ) e ( n + k ) ] = 0 .
Because e ( n ) ( n = 1 , 2 , , N ) are i.i.d., var [ r ¯ k ] can simply be calculated by multiplying 1 N k by var [ e ( n ) e ( n + k ) ] , i.e.,
var [ r ¯ k ] = 1 N k var [ e ( n ) e ( n + k ) ] = 1 N k σ 4 .
Next, to calculate the false alarm probability of the IBMF, we need to consider the cases where r ¯ k is a real number and a complex number. First, when r ¯ k is a real number, according to the above analysis, we can obtain r ¯ k ~ N ( 0 , 1 N k σ 4 ) . Thus, we have
E [ | r ¯ k | ] = 2 0 x 1 2 π ( σ 4 / ( N k ) ) e x 2 2 σ 4 / ( N k ) d x = σ 2 2 π ( N k ) .
When the sum of the multiple random variables that are i.i.d is calculated, the sum can be approximated by its mathematical expectation by referring to [34]. According to this conclusion, the false alarm probability can be expressed as
p f = P ( 1 L 1 k = 1 L 1 | r ¯ k | > η I B M F ) P ( E [ 1 L 1 k ¯ = 1 L 1 | r ¯ k ¯ | ] + 1 L 1 | r ¯ k | E [ 1 L 1 | r ¯ k | ] > η I B M F ) = 2 Q ( ( L 1 ) η I B M F ( N k ) / σ 2 ( N k ) k ¯ = 1 L 1 2 / π ( N k ¯ ) + 2 / π ) .
Accordingly, when the false alarm probability is p f , the corresponding detection threshold is
η I B M F = σ 2 ( N k ) ( L 1 ) ( Q 1 ( p f / 2 ) + ( N k ) k ¯ = 1 L 1 2 / π ( N k ¯ ) 2 / π )
Similar to the derivation of | r ¯ 1 | , when r ¯ k is a complex number, | r ¯ k | satisfies the Rayleigh distribution, and its probability density and complementary cumulative distribution function are, respectively,
f ( | r ¯ k | ) = 2 ( N k ) σ 4 | r ¯ k | e | r ¯ k | 2 σ 4 / ( N k )
and
F ¯ ( z ) = P ( | r ¯ k | > z ) = e z 2 σ 4 / ( N k ) .
From the probability density function of | r ¯ k | , we can obtain the mathematical expectation as follows:
E [ | r ¯ k | ] = 0 x 2 ( N k ) σ 4 x e x 2 σ 4 / ( N k ) d x = π σ 2 2 N k .
To sum up, when the received data are complex, the false alarm probability is
p f = P ( 1 L 1 k = 1 L 1 | r ¯ k | > η I B M F ) .
Similarly to (29), the false alarm probability can be approximated as
p f = P ( 1 L 1 k = 1 L 1 | r ¯ k | > η I B M F ) P ( E [ 1 L 1 k = 1 L 1 | r ¯ k | ] + 1 L 1 | r ¯ k | E [ 1 L 1 | r ¯ k | ] > η I B M F ) = e ( ( L 1 ) η I B M F k ¯ = 1 L 1 π σ 2 2 N k ¯ + π σ 2 2 N k ) 2 σ 4 / ( N k )
by referring to [34].
Correspondingly, given the false alarm probability, the detection threshold is
η I B M F = ( σ 2 ln p f / ( N k ) + k ¯ = 1 L 1 π σ 2 2 N k ¯ π σ 2 2 N k ) / ( L 1 ) .
It is worth noting that the detection threshold is only related to noise, which is highly susceptible to noise measurement uncertainty. Consequently, this may be a limit of the application of the proposed algorithm. To overcome this problem, it is better to reduce the uncertainty of noise with enough samples.

3.5. Computational Complexity Analysis of ED, MME, CAV, EMR, MD, BMF, and IBMF

To simplify the following computational complexity analysis, we ignore the addition and subtraction operations. Suppose the number of samples is N . Then, the computational complexity of ED, MME, CAV, EMR, MD, BMF, and IBMF is analyzed as follows.
First, the ED method requires calculating the square of the modulus of each sample, and it takes approximately N multiplications. Similarly, BMF approximately requires N 1 multiplications. In IBMF, calculating r ¯ k takes N k multiplications, and the IBMF method requires about ( N L / 2 ) ( L 1 ) multiplications. Note that the case of N L > 1 generally holds. Thus, the BMF and IBMF methods require approximately N and N ( L 1 ) multiplications, respectively.
Second, the computational load of MME mainly includes the calculation of the covariance and eigenvalues. Consider a case where the smoothing factor L ¯ is set to L . The calculation of the covariance needs approximately L 2 ( N L + 1 ) multiplications and that of the eigenvalue needs approximately O ( L 3 ) multiplications. Thus, MME requires a total of L 2 ( N L + 1 ) + O ( L 3 ) multiplications. If a computational complexity of a lower order than L 2 N is neglected, the computational complexity of MME is approximately L 2 N . Again, without considering a computational complexity lower than the order of L 2 N , the computational complexity of CAV is approximately L 2 N multiplications. Similarly, the computational load of EMR is mainly concentrated in the calculation of the sample covariance matrix. Consequently, the computational complexity of EMR is also approximately L 2 N . For MD, the sample covariance matrix and noise covariance matrix are required to be calculated, and the computational complexity of MD is approximately L 2 N + L 2 M . Here, M is the number of noise samples.
The computational complexity of ED, MME, CAV, BMF, IBMF, EMR, and MD is summarized in Table 1.
As Table 1 shows, ED has the lowest computational complexity. However, ED accumulates the power of both the noise and the signal, and the accuracy of the noise power greatly affects detection performance. It has been verified that the detection performance of the ED algorithm decreases sharply under the condition of inaccurate noise power [26,27,28,29]. The other methods make use of the correlation of non-zero time delay. Because the correlation of noise under non-zero delay is zero, the detection performance is less dependent on the accuracy of noise power. Therefore, comparison of the other four methods is more referential. Meanwhile, the table also indicates that the computational complexity of BMF and IBMF is considerably lower than that of MME, CAV, EMR, and MD because the BMF and IBMF do not require calculating the correlation matrix.

4. Simulation Results and Discussion

In this section, we compare the ED, MME, CAV, EMR, MD, BMF, and IBMF algorithms and prove the effectiveness of the proposed algorithm under multi-path fading channels. Cases in which the received signals are real and the numbers are complex numbers are considered. The parameters in the simulations are set as follows: the channels order is 12, and their real and imaginary parts are evenly distributed in the interval [0, 1]. When the received signal is a real number, the transmitted signal is a BPSK signal that takes a value from set { 1 , + 1 } . When the received signal is a complex number, the transmitted signal is a 4QAM signal that takes a value from set { 1 + j , 1 j , 1 + j , 1 j } . The smoothing factor of the MME and CAV algorithms is 12, and the maximum delay L of IBMF is set to 11. In addition, the receiver operating characteristic (ROC) and the detection probability p d are used to measure the performance of all the related algorithms. It is worth noting that in the simulation, the detection threshold is obtained by a Monte Carlo experiment, and we use the true value of the noise power.
First, we consider a case where the received signal is a real number.
Figure 1 indicates that the performance of the BMF algorithm is not the best compared to other algorithms, while the IBMF algorithm, which is the improved version of the BMF, has the best detection performance compared to the other methods. This result can be explained by the following two aspects: (1) Unlike ED, MME, EMR, MD, and CAV, IBMF uses the correlation of received signals and the uncorrelation of the noise at different time delays, accumulating the signal component and weakening the noise component. Thus, detection performance is improved. (2) Unlike BMF, which simply uses a single delay to perform correlation accumulation, IBMF uses multiple delays to realize correlation accumulation. Therefore, the robustness of IBMF is improved. It is also worth noting that the poor performance of CAV and MME arises from two aspects: (1) The accuracy of covariance directly affects the performance of CAV and MME. However, the sample number is not sufficiently large, which leads to an inaccurate covariance matrix. (2) The S N R is too low, which adversely affects the estimation of the covariance matrix and consequently affects the performance of CAV and MME.
Figure 2 indicates that the proposed IBMF algorithm provides the highest detection probability under the same SNR. This result is consistent with that of the optimal ROC. Thus, the proposed algorithm can be applied to lower SNR scenarios compared to other algorithms.
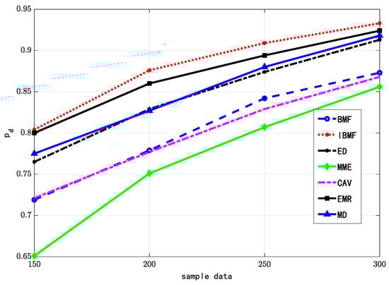
Figure 3 compares the detection probabilities of various methods in different sample sizes. The proposed IBMF algorithm is consistently superior to other algorithms in the same number of samples, while the BMF algorithm is superior to the MME algorithm and slightly better than the CAV algorithm. The results confirm that the IBMF algorithm can achieve higher detection performance under fewer samples; therefore, it can improve the detection efficiency and ensure system reliability.
The above three experiments illustrate the effectiveness of the proposed algorithm in the case of a real received signal. Next, we compare the performance of the different algorithms in the case of a complex received signal.
Figure 4, Figure 5 and Figure 6 describe the ROCs of various algorithms and the changing trend of the detection probability with SNR as well as the number of samples, respectively. Although the performance of the BMF is not very good, the figures indicate that IBMF shows the best detection performance among all compared algorithms. The reasons are the same as in the case of the real received signal. Horizontal comparison shows that the performance of each algorithm in the case of the complex received signal is better than in the case of the real received signal. This is because in the case of the complex received signal, the data are divided into real and imaginary parts under the same conditions, and the statistical results of the data are more accurate to a certain extent. In addition, in the case of complex received signals, the ED algorithm performed the worst because the other algorithms accumulate signal energy and reduce the accumulation of noise. In the case of separating the data into the real and imaginary parts, the above-mentioned effect is more significant and, therefore, detection performance will be further improved.

5. Conclusions

We proposed the BMF and IBMF spectrum sensing algorithms for a frequency-selective fading channel. According to statistical theory, we derived their false alarm probability and corresponding detection threshold in cases where the received signals were real and complex numbers. Theoretical analysis showed that both algorithms have properties similar to those of the matched filtering algorithm and, hence, achieve good detection performance. In addition, the computational complexity of the proposed algorithms was found to be considerably lower than that of the classical methods based on the covariance matrix of the received signal. The simulation results confirmed the superior ROC performance of the proposed IBMF algorithm in the case of both real and complex received signals, as well as better detection performance compared to the other methods in the same conditions.

Author Contributions

Conceptualization and writing—original draft preparation, C.Z.; methodology and software, J.L.; validation and formal analysis, W.M.; investigation and writing—review and editing, B.L.; C.Z. analyzed experimental data and results, realized data visualization, and wrote the first draft of the paper. All authors have read and agreed to the published version of the manuscript.

Funding

This work was supported in part by the Foundation of National Key Laboratory of Science and Technology on Space Microwave under Grants 2022-JCJQ-LB-006 (6142411222209), and inpart by the Aeronautical Science Foundation under Grant 2019ZH0T7001.

Informed Consent Statement

Not applicable.

Data Availability Statement

All data generated or analyzed during this study are included in this article.

Conflicts of Interest

The authors declare that they have no known competing financial interest of personal relationships that could have appeared to influence the work reported in this paper.

References

  1. Staple, G.; Werbach, K. The End of Spectrum Scarcity. IEEE Spectrum. 2004, 41, 48–52. [Google Scholar] [CrossRef]
  2. Chatziantoniou, E.; Allen, B.; Velisavljevic, V.; Karadimas, P.; Coon, J. Energy detection based spectrum sensing over two-wave and diffuse power fading channels. IEEE Trans. Veh. Technol. 2017, 66, 868–874. [Google Scholar] [CrossRef]
  3. Chiang, R.; Rowe, G.B.; Sowerby, K.W. A Quantitative Analysis of Spectral Occupancy Measurements for Cognitive Radio. In Proceedings of the IEEE Vehicular Technology Conference-Vtc-Spring, Dublin, Ireland, 22–25 April 2007. [Google Scholar]
  4. Liu, M.; Zhang, H.; Liu, Z.; Zhao, N. Attacking Spectrum Sensing with Adversarial Deep Learning in Cognitive Radio-Enabled Internet of Things. IEEE Trans. Reliab. 2022, 1–14. [Google Scholar] [CrossRef]
  5. Mitola, J.I.; Maguire, G.Q. Cognitive radio: Making software radios more personal. IEEE Pers. Commun. 1999, 6, 13–18. [Google Scholar] [CrossRef]
  6. Mohammadi, A.; Taban, M.R.; Abouei, J.; Torabi, H. Fuzzy likelihood ratio test for cooperative spectrum sensing in cognitive radio. Signal Process. 2013, 93, 1118–1125. [Google Scholar] [CrossRef]
  7. Lee, S.; Park, S.; Yun, H.; Song, I. Spectrum sensing for cognitive radio network with multiple receive antennas under impulsive noise environments. J. Commun. Netw. 2021, 23, 171–179. [Google Scholar] [CrossRef]
  8. He, Y.; Ratnarajah, T.; Yousif, E.; Jiang, X.; Sellathurai, M. Performance analysis of multi-antenna glrt-based spectrum sensing for cognitive radio. Signal Process. 2016, 120, 580–593. [Google Scholar] [CrossRef]
  9. Mokhtar, R.A.; Saeed, R.A.; Alhumyani, H. Cooperative Fusion Architecture-based Distributed Spectrum Sensing under Rayleigh Fading Channel. Wirel. Pers. Commun. 2022, 124, 839–865. [Google Scholar] [CrossRef]
  10. Margoosian, A.; Abouei, J.; Plataniotis, K.N. An accurate kernelized energy detection in gaussian and non-gaussian/impulsive noises. Signal Process. 2015, 63, 5621–5636. [Google Scholar] [CrossRef]
  11. Tandra, R.; Sahai, A. Snr walls for signal detection. Sel. Top. Signal Process. 2008, 2, 4–17. [Google Scholar] [CrossRef]
  12. Ahmed, R.; Chen, Y.; Hassan, B. Optimal spectrum sensing in mimo-based cognitive radio wireless sensor network (cr-wsn) using glrt with noise uncertainty at low snr. AEU-Int. J. Electron. Commun. 2021, 136, 153741. [Google Scholar] [CrossRef]
  13. Alkady, M.S.; Abd-Elnaby, M.; El-Dolil, S.A.; El-Samie, F.E.A. An Adaptive Sensing Time Based on SNR for Spectrum Utilization Enhancement in Cognitive Radio. Wirel. Pers. Commun. 2019, 106, 307–319. [Google Scholar] [CrossRef]
  14. Trees, H. Detection, Estimation, and Modulation Theory, (Part I and Part III); Wiley: New York, NY, USA, 2002. [Google Scholar]
  15. Borde, S.D.; Joshi, K.R. Enhanced Wideband Spectrum Sensing Algorithm for Analysis of GSM Band. Wirel. Pers. Commun. 2021, 121, 2145–2158. [Google Scholar] [CrossRef]
  16. Panahi, F.H.; Panahi, F.H.; Ohtsuki, T. Spectrum-Aware Energy Efficiency Analysis in K-tier 5G HetNets. Electronics 2021, 10, 839. [Google Scholar] [CrossRef]
  17. Lv, Q.; Gao, F. Matched filter based spectrum sensing and power level recognition with multiple antennas. In Proceedings of the IEEE China Summit and International Conference on Signal & Information Processing, Chengdu, China, 12–15 July 2015. [Google Scholar]
  18. Kay, S. Fundamentals of Statistical Signal Processing, Volume II: Detection Theory; Pearson: London, UK, 1998. [Google Scholar]
  19. Chen, Y. Analytical performance of collaborative spectrum sensing using censored energy detection. IEEE Trans. Wirel. Commun. 2010, 9, 3856–3865. [Google Scholar] [CrossRef]
  20. Bkassiny, M.; Jayaweera, S.K.; Li, Y.; Avery, K.A. Wideband spectrum sensing and non-parametric signal classification for autonomous self-learning cognitive radios. IEEE Trans. Wirel. Commun. 2012, 11, 2596–2605. [Google Scholar] [CrossRef]
  21. Daiki, C.; Shusuke, N.; Kenta, U. Low computational complexity spectrum sensing based on cyclostationarity for multiple receive antennas. Ieice Commun. Express. 2018, 7, 54–59. [Google Scholar]
  22. Rathika, P.D.; Ajay, V.P.; Sophia, S. A simplified compendium on spectrum sensing techniques and models for cognitive radio environments. Res. Rev. 2015, 2, 76–84. [Google Scholar]
  23. Yu, C.; Wan, P.; Wang, Y.; Liang, T. Spectrum sensing algorithm based on improved MME-Cyclic stationary feature. In Proceedings of the International Conference on Natural Computation, Changsha, China, 13–15 August 2016. [Google Scholar]
  24. Zhang, X.; Ma, Y.; Gao, Y.; Zhang, W. Autonomous Compressive-Sensing-Augmented Spectrum Sensing. IEEE Trans. Veh. Technol. 2018, 67, 6970–6980. [Google Scholar] [CrossRef]
  25. Jiang, J.; Sun, H.; Baglee, D.; Poor, H.V. Achieving Autonomous Compressive Spectrum Sensing for Cognitive Radios. IEEE Trans. Veh. Technol. 2016, 65, 1281–1291. [Google Scholar] [CrossRef]
  26. Alink, M.O.; Kokkeler, A.; Klumperink, E.; Smit, G.; Nauta, B. Lowering the snr wall for energy detection using cross-correlation. IEEE Trans. Veh. Technol. 2011, 60, 3748–3757. [Google Scholar] [CrossRef]
  27. Charan, C.; Pandey, R. Eigenvalue based double threshold spectrum sensing under noise uncertainty for cognitive radio. Opt. -Int. J. Light Electron. Opt. 2016, 127, 5968–5975. [Google Scholar] [CrossRef]
  28. Al-Amidie, M.; Al-Asadi, A.; Humaidi, A.J.; Al-Dujaili, A.; Alzubaidi, L.; Farhan, L.; Fadhel, M.A.; McGarvey, R.G.; Islam, N.E. Robust Spectrum Sensing Detector Based on MIMO Cognitive Radios with Non-Perfect Channel Gain. Electronics 2021, 10, 529. [Google Scholar] [CrossRef]
  29. Gao, F.; Chen, Q.; Han, Q.; Tao, Z. Sensing and recognition for multiple-primary-power-level scenario with noise uncertainty. IEEE Trans. Veh. Technol. 2017, 66, 2289–2300. [Google Scholar] [CrossRef]
  30. Zeng, Y.; Liang, Y.C. Eigenvalue-based spectrum sensing algorithms for cognitive radio. IEEE Trans. Commun. 2009, 57, 1784–1793. [Google Scholar] [CrossRef]
  31. Zeng, Y.; Liang, Y.C. Maximum-Minimum Eigenvalue Detection for Cognitive Radio. In Proceedings of the IEEE 18th International Symposium on Personal, Indoor and Mobile Radio Communications, Athens, Greece, 3–7 September 2007; pp. 1–5. [Google Scholar]
  32. Koochakzadeh, A.; Malek-Mohammadi, M.; Babaie-Zadeh, M.; Skoglund, M. Multi-antenna assisted spectrum sensing in spatially correlated noise environments. Signal Process. 2015, 108, 69–76. [Google Scholar] [CrossRef]
  33. Razavi, S.A.; Valkama, M.; Cabric, D. Covariance-based ofdm spectrum sensing with sub-nyquist samples. Signal Process. 2015, 109, 261–268. [Google Scholar] [CrossRef]
  34. Zeng, Y.; Liang, Y.C. Spectrum-sensing algorithms for cognitive radio based on statistical covariances. IEEE Trans. Veh. Technol. 2009, 58, 1804–1815. [Google Scholar] [CrossRef]
  35. Di, L.; Peng, H. Distributed cooperative wideband spectrum sensing algorithm based on subspace methods. Circuits Syst. Signal Process. 2014, 33, 3555–3572. [Google Scholar]
  36. Zhao, Y.; Ke, X.; Zhao, B.; Xiao, Y.; Huang, L. One-bit spectrum sensing based on statistical covariances: Eigenvalue moment ratio approach. IEEE Wirel. Commun. Lett. 2021, 10, 2474–2478. [Google Scholar] [CrossRef]
  37. Luo, X.W.; Zhao, W.; Li, H.; Jin, M.; Cui, G. Fusion Test Statistics Based Mixture Detector for Spectrum Sensing. IEEE Trans. Veh. Technol. 2022, 71, 3315–3319. [Google Scholar] [CrossRef]
  38. Verde, F.; Scaglione, A.; Darsena, D.; Gelli, G. An Amplify-and-Forward Scheme for Spectrum Sharing in Cognitive Radio Channels. IEEE Trans. Wirel. Commun. 2015, 14, 5629–5642. [Google Scholar] [CrossRef]
  39. Gamal, S.; Rihan, M.; Hussin, S.; Zaghloul, A.; Salem, A.A. Multiple Access in Cognitive Radio Networks: From Orthogonal and Non-Orthogonal to Rate-Splitting. IEEE Access 2021, 9, 95569–95584. [Google Scholar] [CrossRef]
  40. Lv, L.; Chen, J.; Ni, Q. Cooperative Non-Orthogonal Multiple Access in Cognitive Radio. IEEE Commun. Lett. 2016, 20, 2059–2062. [Google Scholar] [CrossRef]
  41. Wang, Y.; Zhang, T.; Kong, L.; Ma, Z. A Stochastic Simulation Optimization based Range Gate Pull-off Jamming Method. IEEE Trans. Evol. Comput. 2022, 27, 580–594. [Google Scholar] [CrossRef]
Figure 1. ROC curves for the real number of ED, MME, CAV, EMR, MD, BMF, and IBMF when N = 200, SNR = −6 dB.
Figure 1. ROC curves for the real number of ED, MME, CAV, EMR, MD, BMF, and IBMF when N = 200, SNR = −6 dB.
Electronics 12 02499 g001
Figure 2. p d versus SNR for ED, MME, CAV, BMF, EMR, MD, and IBMF when real samples N = 200, p f = 0.1.
Figure 2. p d versus SNR for ED, MME, CAV, BMF, EMR, MD, and IBMF when real samples N = 200, p f = 0.1.
Electronics 12 02499 g002
Figure 3. p d versus the real number of samples for ED, MME, CAV, EMR, MD, BMF, and IBMF when SNR = −6 dB, p f = 0.1.
Figure 3. p d versus the real number of samples for ED, MME, CAV, EMR, MD, BMF, and IBMF when SNR = −6 dB, p f = 0.1.
Electronics 12 02499 g003
Figure 4. ROC curves for the complex number of ED, MME, CAV, EMR, MD, BMF, and IBMF when N = 200, SNR = −6 dB.
Figure 4. ROC curves for the complex number of ED, MME, CAV, EMR, MD, BMF, and IBMF when N = 200, SNR = −6 dB.
Electronics 12 02499 g004
Figure 5. Pd versus SNR for ED, MME, CAV, EMR, MD, BMF, and IBMF when complex samples N = 200, p f = 0.1.
Figure 5. Pd versus SNR for ED, MME, CAV, EMR, MD, BMF, and IBMF when complex samples N = 200, p f = 0.1.
Electronics 12 02499 g005
Figure 6. Pd versus the number of complex samples for ED, MME, CAV, EMR, MD, BMF, and IBMF when SNR = −6 dB, p f = 0.1.
Figure 6. Pd versus the number of complex samples for ED, MME, CAV, EMR, MD, BMF, and IBMF when SNR = −6 dB, p f = 0.1.
Electronics 12 02499 g006
Table 1. Computation complexity of related methods.
Table 1. Computation complexity of related methods.
AlgorithmEDMMECAVBMFIBMFEMRMD
Complexity N L 2 N L 2 N N ( L 1 ) N L 2 N L 2 N + L 2 M
Disclaimer/Publisher’s Note: The statements, opinions and data contained in all publications are solely those of the individual author(s) and contributor(s) and not of MDPI and/or the editor(s). MDPI and/or the editor(s) disclaim responsibility for any injury to people or property resulting from any ideas, methods, instructions or products referred to in the content.

Share and Cite

MDPI and ACS Style

Zhang, C.; Li, J.; Li, B.; Ma, W. Blind Matching Filtering Algorithm for Spectrum Sensing under Multi-Path Channel Environment. Electronics 2023, 12, 2499. https://doi.org/10.3390/electronics12112499

AMA Style

Zhang C, Li J, Li B, Ma W. Blind Matching Filtering Algorithm for Spectrum Sensing under Multi-Path Channel Environment. Electronics. 2023; 12(11):2499. https://doi.org/10.3390/electronics12112499

Chicago/Turabian Style

Zhang, Changqing, Jin Li, Bingbing Li, and Wenping Ma. 2023. "Blind Matching Filtering Algorithm for Spectrum Sensing under Multi-Path Channel Environment" Electronics 12, no. 11: 2499. https://doi.org/10.3390/electronics12112499

APA Style

Zhang, C., Li, J., Li, B., & Ma, W. (2023). Blind Matching Filtering Algorithm for Spectrum Sensing under Multi-Path Channel Environment. Electronics, 12(11), 2499. https://doi.org/10.3390/electronics12112499

Note that from the first issue of 2016, this journal uses article numbers instead of page numbers. See further details here.

Article Metrics

Back to TopTop