Low-Rank and Total Variation Regularization with ℓ0 Data Fidelity Constraint for Image Deblurring under Impulse Noise
Abstract
1. Introduction
2. Preliminaries
3. Main Algorithm
| Algorithm 1 Proximal alternating direction method of multipliers (PADMM) for solving Problem (10). |
| Input: For arbitrary , and . Output: . |
4. Numerical Experiments
4.1. Experiment Setting
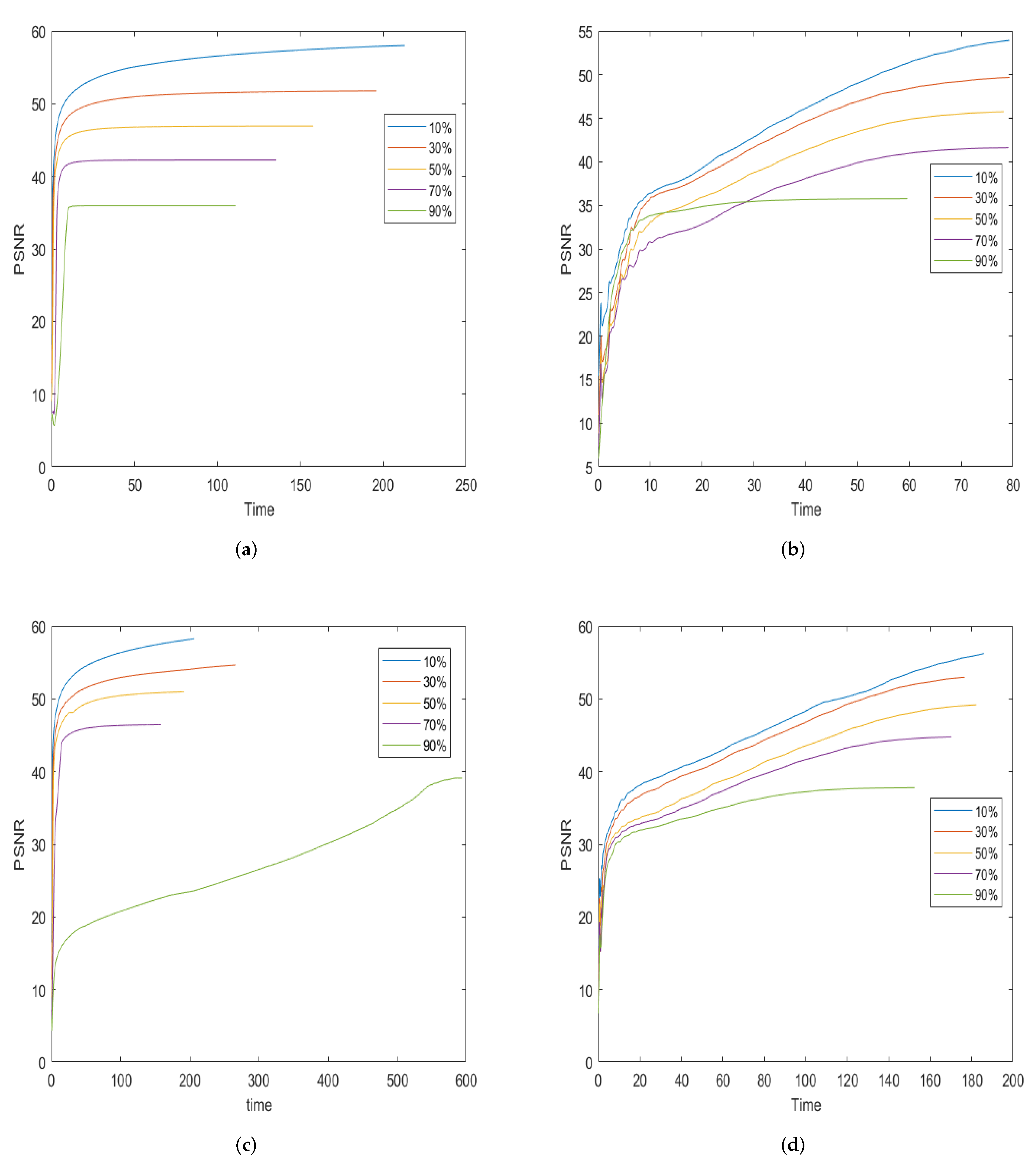
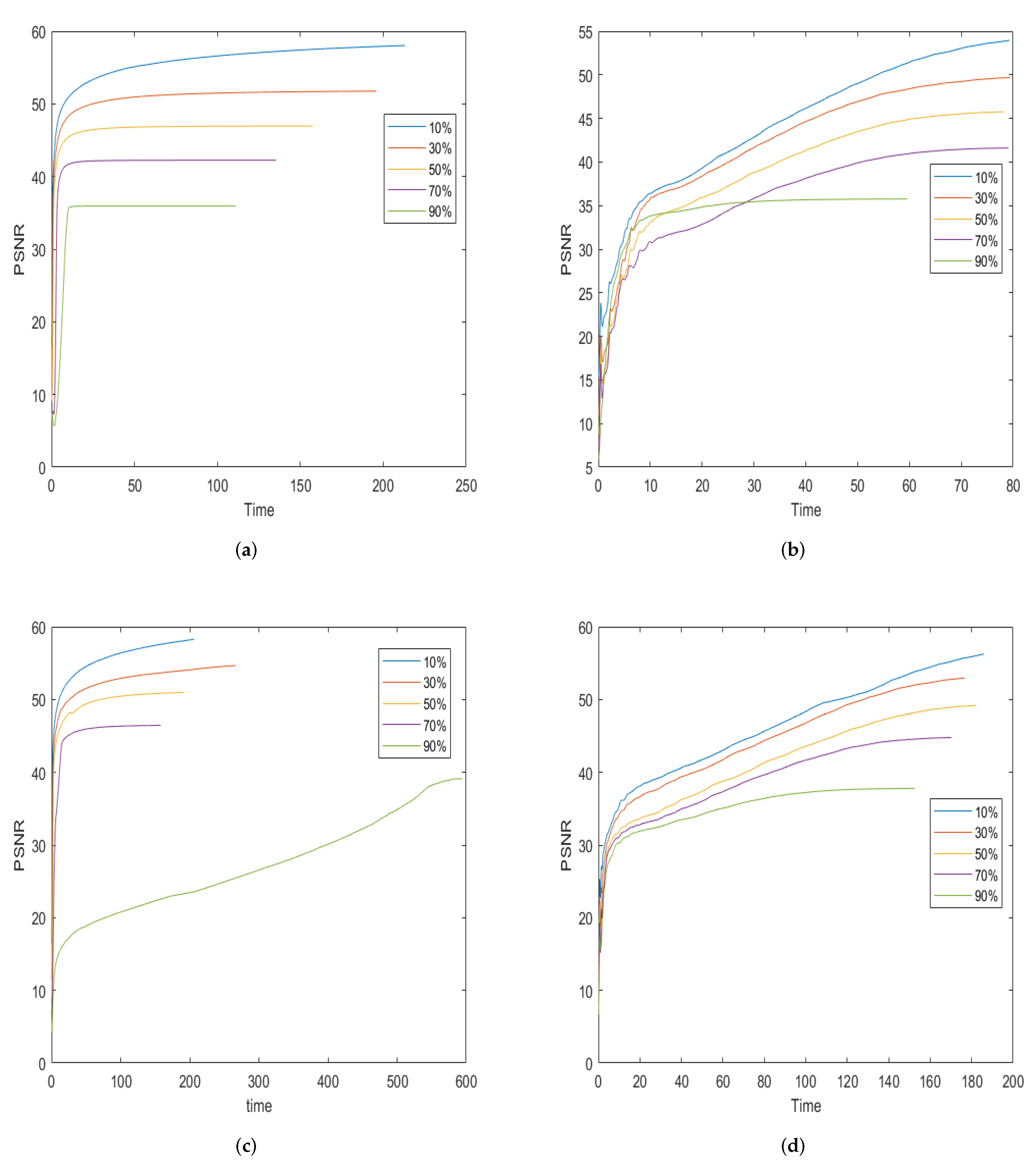
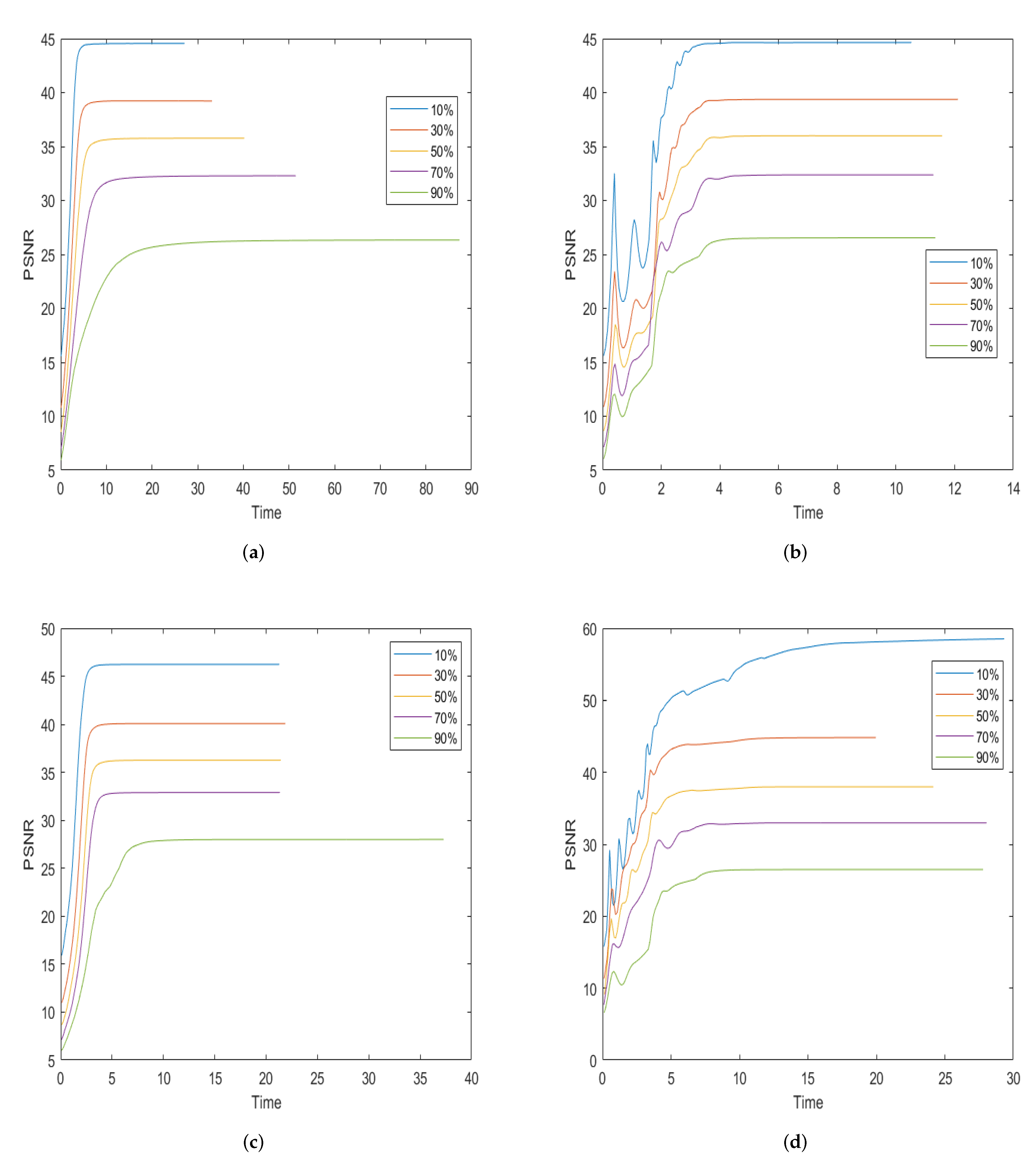
4.2. Natural Images Denoising
4.3. Natural Images Deblurring
4.4. Low-Rank Image Deblurring
4.5. Real Image Denoising
5. Conclusions
Author Contributions
Funding
Institutional Review Board Statement
Informed Consent Statement
Data Availability Statement
Conflicts of Interest
References
- Lin, T.C. A new adaptive center weighted median filter for suppressing impulsive noise in images. Inf. Sci. 2007, 177, 1073–1087. [Google Scholar] [CrossRef]
- Zhang, P.X.; Li, F. A New Adaptive Weighted Mean Filter for Removing Salt-and-Pepper Noise. IEEE Signal Process. Lett. 2014, 21, 1280–1283. [Google Scholar] [CrossRef]
- Zhang, Z.; Han, D.; Dezert, J.; Yang, Y. A new adaptive switching median filter for impulse noise reduction with pre-detection based on evidential reasoning. Signal Process. 2018, 147, 173–189. [Google Scholar] [CrossRef]
- Zhang, W.H.; Jin, L.H.; Song, E.N.; Xu, X.Y. Removal of impulse noise in color images based on convolutional neural network. Appl. Soft Comput. 2019, 32, 105558. [Google Scholar] [CrossRef]
- Li, G.Y.; Xu, X.L.; Zhang, M.H.; Liu, Q.G. Densely connected network for impulse noise removal. Pattern Anal. Appl. 2020, 23, 1263–1275. [Google Scholar] [CrossRef]
- Zhang, K.; Zuo, W.M.; Chen, Y.J.; Meng, D.Y.; Zhang, L. Beyond a Gaussian Denoiser: Residual Learning of Deep CNN for Image Denoising. IEEE Trans. Image Process. 2017, 26, 3142–3155. [Google Scholar] [CrossRef] [PubMed]
- Zhang, K.; Zuo, W.M.; Zhang, L. FFDNet: Toward a Fast and Flexible Solution for CNN-Based Image Denoising. IEEE Trans. Image Process. 2018, 27, 4608–4622. [Google Scholar] [CrossRef]
- Guo, B.Y.; Song, K.C.; Dong, H.W.; Yan, Y.H.; Tu, Z.B.; Zhu, L. NERNet: Noise estimation and removal network for image denoising. J. Vis. Commun. Image Represent. 2020, 71, 102851. [Google Scholar] [CrossRef]
- Chan, T.F.; Esedoglu, S. Aspects of total variation regularized l1 function approximation. SIAM J. Appl. Math. 2005, 65, 1817–1837. [Google Scholar] [CrossRef]
- Yang, J.F.; Zhang, Y.; Yin, W.T. An efficient TVL1 algorithm for deblurring multichannel images corrupted by impulsive noise. SIAM J. Sci. Comput. 2009, 31, 2842–2865. [Google Scholar] [CrossRef]
- Guo, X.X.; Li, F.; Ng, M.K. A fast ℓ1-TV algorithm for image restoration. SIAM J. Sci. Comput. 2009, 31, 2322–2341. [Google Scholar] [CrossRef]
- Yuan, J.; Shi, J.; Tai, X.C. A convex and exact approach to discrete constrained TV-L1 image approximation. East Asian J. Appl. Math. 2011, 1, 172–186. [Google Scholar] [CrossRef]
- Micchelli, C.A.; Shen, L.X.; Xu, L.Y.S.; Zeng, X. Proximity algorithms for the L1/TV image denoising model. Adv. Comput. Math. 2013, 38, 401–426. [Google Scholar] [CrossRef]
- Liu, Q.G.; Xiong, B.; Yang, D.C.; Zhang, M.H. A generalized relative total variation method for image smoothing. Multimed. Tools Appl. 2016, 75, 7909–7930. [Google Scholar] [CrossRef]
- Shi, M.Z.; Han, T.T.; Liu, S.Q. Total variation image restoration using hyper-Laplacian prior with overlapping group sparsity. Signal Process. 2016, 126, 65–76. [Google Scholar] [CrossRef]
- Lanza, A.; Morigi, S.; Sgallari, F. A nonsmooth nonconvex sparsity-promoting variational approach for deblurring images corrupted by impulse noise. Comput. Vis. Med. Image Process. V 2016, 2, 87–94. [Google Scholar]
- Gu, G.Y.; Jiang, S.H.; Yang, J.F. A TVSCAD approach for image deblurring with impulsive noise. Inverse Probl. 2017, 33, 125008. [Google Scholar] [CrossRef]
- Zhang, X.J.; Bai, M.R.; Ng, M.K. Nonconvex-TV based image restoration with impulse noise removal. SIAM J. Imaging Sci. 2017, 10, 1627–1667. [Google Scholar] [CrossRef]
- Zhang, B.X.; Zhu, G.P.; Zhu, Z.B. A TV-log nonconvex approach for image deblurring with impulsive noise. Signal Process. 2020, 174, 107631. [Google Scholar] [CrossRef]
- Allard, W. Total Variation Regularization for Image Denoising, I. Geometric Theory. SIAM J. Math. Anal. 2008, 39, 1150–1190. [Google Scholar] [CrossRef]
- Michel, V.; Gramfort, A.; Varoquaux, G.; Eger, E.; Thirion, B. Total variation regularization for fMRI-based prediction of behavior. IEEE Trans. Med. Imaging 2011, 30, 1328–1340. [Google Scholar] [CrossRef] [PubMed]
- Hu, Y.; Jacob, M. Higher degree total variation (HDTV) regularization for image recovery. IEEE Trans. Image Process. 2012, 21, 2559–2571. [Google Scholar] [CrossRef] [PubMed]
- Valkonen, T.; Bredies, K.; Knoll, F. Total generalized variation in diffusion tensor imaging. SIAM J. Imaging Sci. 2013, 6, 487–525. [Google Scholar] [CrossRef]
- Gao, Y.M.; Liu, F.; Yang, X.P. Total generalized variation restoration with non-quadratic fidelity. Multidimens. Syst. Signal Process. 2018, 29, 1459–1484. [Google Scholar] [CrossRef]
- Liu, X.W.; Tang, Y.C.; Yang, Y.X. Primal-dual algorithm to solve the constrained second-order total generalized variational model for image denoising. J. Electron. Imaging 2019, 28, 043017. [Google Scholar] [CrossRef]
- Liu, G.; Huang, T.Z.; Liu, J.; Lv, X.G. Total variation with overlapping group sparsity for image deblurring under impulse noise. PLoS ONE 2015, 10, e0122562. [Google Scholar] [CrossRef]
- Nikolova, M. Minimizers of cost-functions involving nonsmooth data-fidelity terms application to the processing of outliers. SIAM J. Numer. Anal. 2002, 40, 965–994. [Google Scholar] [CrossRef]
- Nikolova, M. A variational approach to remove outliers and impulse noise. J. Math. Imaging Vis. 2004, 20, 99–120. [Google Scholar] [CrossRef]
- Ma, L.Y.; Ng, M.K.; Yu, J.; Zeng, T.Y. Efficient box-constrainted TV-type-l1 algorithms for restoring images with impulse noise. J. Comput. Math. 2013, 31, 249–270. [Google Scholar] [CrossRef]
- Yuan, G.Z.; Ghanem, B. ℓ0TV: A sparse optimization method for impulse noise image restoration. IEEE Trans. Pattern Anal. Mach. Intell. 2019, 41, 352–364. [Google Scholar] [CrossRef]
- Kang, M.M.; Kang, M.J.; Jung, M.Y. Sparse representation based image delburing model under random-valued impulse noise. Multidimens. Syst. Signal Process. Vol. 2019, 30, 1063–1092. [Google Scholar] [CrossRef]
- Yin, M.M.; Adam, T.; Paramesran, R.; Hassan, M.F. An ℓ0-overlapping group sparse total variation for impulse noise image restoration. Signal Process. Image Commun. 2022, 102, 116620. [Google Scholar] [CrossRef]
- Ji, H.; Liu, C.; Shen, Z.; Xu, Y. Robust video denoising using low rank matrix completion. In Proceedings of the 2010 IEEE Computer Society Conference on Computer Vision and Pattern Recognition, San Francisco, CA, USA, 13–18 June 2010; pp. 1791–1798. [Google Scholar]
- Gu, S.; Zhang, L.; Zuo, W.; Feng, X. Weighted Nuclear Norm Minimization with Application to Image Denoising. In Proceedings of the 2014 IEEE Conference on Computer Vision and Pattern Recognition, Columbus, OH, USA, 23–28 June 2014; pp. 2862–2869. [Google Scholar]
- Chang, K.; Zhang, X.Y.; Ding, P.L.K.; Li, B.X. Data-adaptive low-rank modeling and external gradient prior for single image super-resolution. Signal Process. 2019, 161, 36–49. [Google Scholar] [CrossRef]
- Huang, W.Q.; Ke, Z.W.; Cui, Z.X.; Cheng, J.; Qiu, Z.; Jia, S.; Ying, L.; Zhu, Y.; Liang, D. Deep low-rank plus sparse network for dynamic mr imaging. Med. Image Anal. 2021, 73, 102190. [Google Scholar] [CrossRef] [PubMed]
- Wang, X.; Ren, Y.S.; Zhang, W.S. Depression disorder classification of fmri data using sparse low-rank functional brain network and graph-based features. Comput. Math. Methods Med. 2017, 2017, 3609821. [Google Scholar] [CrossRef]
- Zhang, L.; Zuo, W. Image Restoration: From Sparse and Low-Rank Priors to Deep Priors. IEEE Signal Process. Mag. 2017, 34, 172–179. [Google Scholar] [CrossRef]
- Zhang, H.; Chen, H.; Yang, G.; Zhang, L. LR-Net: Low-Rank Spatial-Spectral Network for Hyperspectral Image Denoising. IEEE Trans. Image Process. 2021, 30, 8743–8758. [Google Scholar] [CrossRef]
- Wu, Y.M.; Sun, J.N.; Chen, W.G.; Yin, J.P. Improved Image Compressive Sensing Recovery with Low-Rank Prior and Deep Image Prior. Signal Process. 2023, 205, 108896. [Google Scholar] [CrossRef]











| Image | Noise Levels | Input PSNR/SSIM | TV | TV | OGSTV | Ours |
|---|---|---|---|---|---|---|
| House | ||||||
| Mountain | ||||||
| Pepper | ||||||
| Building | ||||||
| Image | Noise Levels | Input PSNR/SSIM | TV | TV | OGSTV | Ours |
|---|---|---|---|---|---|---|
| House | ||||||
| Mountain | ||||||
| Pepper | ||||||
| Building | ||||||
| Image | Noise Levels | Input PSNR/SSIM | TV | TV | OGSTV | Ours |
|---|---|---|---|---|---|---|
| House | ||||||
| Mountain | ||||||
| Pepper | ||||||
| Building | ||||||
Disclaimer/Publisher’s Note: The statements, opinions and data contained in all publications are solely those of the individual author(s) and contributor(s) and not of MDPI and/or the editor(s). MDPI and/or the editor(s) disclaim responsibility for any injury to people or property resulting from any ideas, methods, instructions or products referred to in the content. |
© 2023 by the authors. Licensee MDPI, Basel, Switzerland. This article is an open access article distributed under the terms and conditions of the Creative Commons Attribution (CC BY) license (https://creativecommons.org/licenses/by/4.0/).
Share and Cite
Wang, Y.; Tang, Y.; Deng, S. Low-Rank and Total Variation Regularization with ℓ0 Data Fidelity Constraint for Image Deblurring under Impulse Noise. Electronics 2023, 12, 2432. https://doi.org/10.3390/electronics12112432
Wang Y, Tang Y, Deng S. Low-Rank and Total Variation Regularization with ℓ0 Data Fidelity Constraint for Image Deblurring under Impulse Noise. Electronics. 2023; 12(11):2432. https://doi.org/10.3390/electronics12112432
Chicago/Turabian StyleWang, Yuting, Yuchao Tang, and Shirong Deng. 2023. "Low-Rank and Total Variation Regularization with ℓ0 Data Fidelity Constraint for Image Deblurring under Impulse Noise" Electronics 12, no. 11: 2432. https://doi.org/10.3390/electronics12112432
APA StyleWang, Y., Tang, Y., & Deng, S. (2023). Low-Rank and Total Variation Regularization with ℓ0 Data Fidelity Constraint for Image Deblurring under Impulse Noise. Electronics, 12(11), 2432. https://doi.org/10.3390/electronics12112432

