Fast Synthesis Method for High-Dimensional Electromagnetic Bandgap Structure Using Deep Neural Network for Power/Ground Noise Suppression
Abstract
:1. Introduction
2. Proposed EBG Synthesis Method
2.1. Hybrid Model for Inverse Modeling
2.2. TM-HPO and DIM
3. Results of HD-EBG Synthesis
3.1. DNN Model and TM-HPO
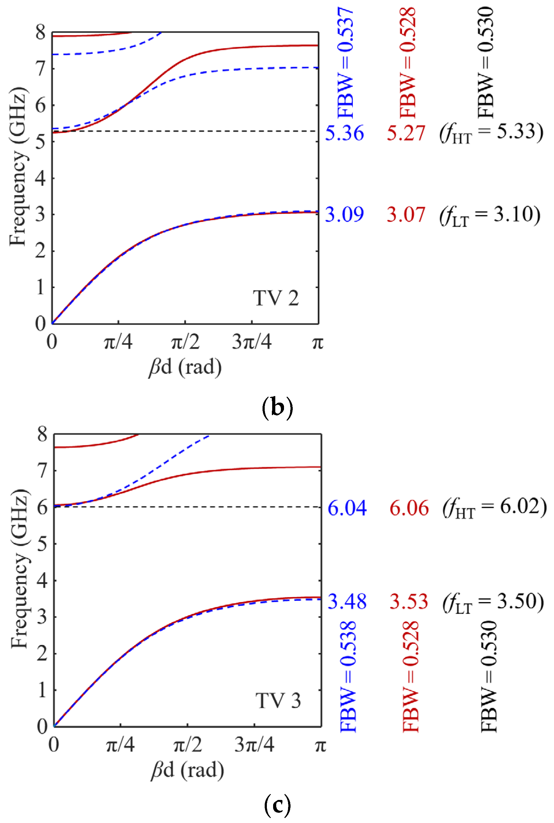
3.2. Synthesis Case 1: HD-EBG Structure with Constant FBW
3.3. Synthesis Case 2: HD-EBG Structure with fH Extension
4. Conclusions
Author Contributions
Funding
Data Availability Statement
Conflicts of Interest
References
- Wu, T.-L.; Chuang, H.-H.; Wang, T.-K. Overview of Power Integrity Solutions on Package and PCB: Decoupling and EBG Isolation. IEEE Trans. Electromagn. Compat. 2010, 52, 346–356. [Google Scholar] [CrossRef]
- Abhari, R.; Eleftheriades, G. Metallo-dielectric electromagnetic bandgap structures for suppression and isolation of the parallel-plate noise in high-speed circuits. IEEE Trans. Microw. Theory Tech. 2003, 51, 1629–1639. [Google Scholar] [CrossRef]
- Lee, J.; Kim, H.; Kim, J. High dielectric constant thin film EBG power/ground network for broad-band suppression of SSN and radiated emissions. IEEE Microw. Wirel. Compon. Lett. 2005, 15, 505–507. [Google Scholar] [CrossRef]
- Kim, M.; Koo, K.; Hwang, C.; Shim, Y.; Kim, J.; Kim, J. A Compact and Wideband Electromagnetic Bandgap Structure Using a Defected Ground Structure for Power/Ground Noise Suppression in Multilayer Packages and PCBs. IEEE Trans. Electromagn. Compat. 2012, 54, 689–695. [Google Scholar] [CrossRef]
- Kim, M.; Kam, D.G. A Wideband and Compact EBG Structure With a Circular Defected Ground Structure. IEEE Trans. Components, Packag. Manuf. Technol. 2013, 4, 496–503. [Google Scholar] [CrossRef]
- Wei, P.-S.; Tsai, M.-H.; Hsu, S.-K.; Shen, C.-K.; Wu, T.-L. An Electromagnetic Bandgap Structure Integrated With RF LNA Using Integrated Fan-Out Wafer-Level Package for Gigahertz Noise Suppression. IEEE Trans. Microw. Theory Tech. 2018, 66, 5482–5490. [Google Scholar] [CrossRef]
- Lin, D.-B.; Wang, T.-H.; Chiang, J.-W. Suppression of Wideband Simultaneous Switching Noise Through Application of a Partial Electromagnetic Band-Gap Structure in Multilayer Printed Circuit Boards. IEEE Trans. Electromagn. Compat. 2020, 62, 1247–1255. [Google Scholar] [CrossRef]
- Choi, J.; Govind, V.; Swaminathan, M.; Bharath, K. Noise Isolation in Mixed-Signal Systems Using Alternating Impedance Electromagnetic Bandgap (AI-EBG) Structure-Based Power Distribution Network (PDN). IEEE Trans. Adv. Packag. 2009, 33, 2–12. [Google Scholar] [CrossRef]
- Toyota, Y.; Engin, A.E.; Kim, T.H.; Swaminathan, M. Stopband Analysis Using Dispersion Diagram for Two-Dimensional Electromagnetic Bandgap Structures in Printed Circuit Boards. IEEE Microw. Wirel. Components Lett. 2006, 16, 645–647. [Google Scholar] [CrossRef]
- Mohajer-Iravani, B.; Ramahi, O.M. Suppression of EMI and Electromagnetic Noise in Packages Using Embedded Capacitance and Miniaturized Electromagnetic Bandgap Structures With High-k Dielectrics. IEEE Trans. Adv. Packag. 2007, 30, 776–788. [Google Scholar] [CrossRef]
- Wang, T.-K.; Han, T.-W.; Wu, T.-L. A Novel Power/Ground Layer Using Artificial Substrate EBG for Simultaneously Switching Noise Suppression. IEEE Trans. Microw. Theory Tech. 2008, 56, 1164–1171. [Google Scholar] [CrossRef]
- Raimondo, L.; De Paulis, F.; Orlandi, A. A Simple and Efficient Design Procedure for Planar Electromagnetic Bandgap Structures on Printed Circuit Boards. IEEE Trans. Electromagn. Compat. 2010, 53, 482–490. [Google Scholar] [CrossRef]
- Kim, T.H.; Swaminathan, M.; Engin, A.E.; Yang, B.J. Electromagnetic Band Gap Synthesis Using Genetic Algorithms for Mixed Signal Applications. IEEE Trans. Adv. Packag. 2009, 32, 13–25. [Google Scholar] [CrossRef]
- Zhu, H.-R.; Wang, J.-B.; Sun, Y.-F.; Wu, X.-L.; Mao, J.-F. A Novel Automatically Designed EBG Structure by Improved GA for Ultrawideband SSN Mitigation of System in Package. IEEE Trans. Adv. Packag. Manuf. Technol. 2020, 10, 123–133. [Google Scholar] [CrossRef]
- Creech, G.; Paul, B.; Lesniak, C.; Jenkins, T.; Calcatera, M. Artificial neural networks for fast and accurate EM-CAD of microwave circuits. IEEE Trans. Microw. Theory Tech. 1997, 45, 794–802. [Google Scholar] [CrossRef]
- Zhang, Q.-J.; Gupta, K.C.; Devabhaktuni, V.K. Artificial neural networks for RF and microwave design—From theory to practice. IEEE Trans. Microw. Theory Tech. 2003, 51, 1339–1350. [Google Scholar] [CrossRef]
- Rayas-Sanchez, J. EM-Based Optimization of Microwave Circuits Using Artificial Neural Networks: The State-of-the-Art. IEEE Trans. Microw. Theory Tech. 2004, 52, 420–435. [Google Scholar] [CrossRef]
- Mkadem, F.; Boumaiza, S. Physically Inspired Neural Network Model for RF Power Amplifier Behavioral Modeling and Digital Predistortion. IEEE Trans. Microw. Theory Tech. 2011, 59, 913–923. [Google Scholar] [CrossRef]
- Jin, J.; Feng, F.; Zhang, J.; Yan, S.; Na, W.; Zhang, Q. A Novel Deep Neural Network Topology for Parametric Modeling of Passive Microwave Components. IEEE Access 2020, 8, 82273–82285. [Google Scholar] [CrossRef]
- Xiao, Y.; Leung, K.W.; Lu, K.; Leung, C.-S. Mode Recognition of Rectangular Dielectric Resonator Antenna Using Artificial Neural Network. IEEE Trans. Antennas Propag. 2022, 70, 5209–5216. [Google Scholar] [CrossRef]
- Beyene, W.T. Application of Artificial Neural Networks to Statistical Analysis and Nonlinear Modeling of High-Speed Interconnect Systems. IEEE Trans. Comput. Des. Integr. Circuits Syst. 2006, 26, 166–176. [Google Scholar] [CrossRef]
- Kim, H.; Sui, C.; Cai, K.; Sen, B.; Fan, J. Fast and Precise High-Speed Channel Modeling and Optimization Technique Based on Machine Learning. IEEE Trans. Electromagn. Compat. 2017, 60, 2049–2052. [Google Scholar] [CrossRef]
- Zhang, H.H.; Xue, Z.S.; Liu, X.Y.; Li, P.; Jiang, L.; Shi, G.M. Optimization of High-Speed Channel for Signal Integrity With Deep Genetic Algorithm. IEEE Trans. Electromagn. Compat. 2022, 64, 1270–1274. [Google Scholar] [CrossRef]
- Sim, S.; Kim, M. Convolutional Neural Network-based Design of EBG Structures in High-Speed Packages and PCBs. In Proceedings of the 2021 IEEE International Joint EMC/SI/PI and EMC Europe Symposium, Raleigh, NC, USA, 26 July–13 August 2021; p. 422. [Google Scholar] [CrossRef]
- Jin, J.; Zhang, C.; Feng, F.; Na, W.; Ma, J.; Zhang, Q.-J. Deep Neural Network Technique for High-Dimensional Microwave Modeling and Applications to Parameter Extraction of Microwave Filters. IEEE Trans. Microw. Theory Tech. 2019, 67, 4140–4155. [Google Scholar] [CrossRef]
- Jin, J.; Feng, F.; Zhang, W.; Zhang, J.; Zhao, Z.; Zhang, Q.-J. Recent Advances in Deep Neural Network Technique for High-Dimensional Microwave Modeling. In Proceedings of the 2020 IEEE MTT-S International Conference on Numerical Electromagnetic and Multiphysics Modeling and Optimization (NEMO), Hangzhou, China, 7–9 December 2020; pp. 1–3. [Google Scholar]
- Wu, Y.; Pan, G.; Lu, D.; Yu, M. Artificial Neural Network for Dimensionality Reduction and Its Application to Microwave Filters Inverse Modeling. IEEE Trans. Microw. Theory Tech. 2022, 70, 4683–4693. [Google Scholar] [CrossRef]
- Clevert, D.-A.; Unterthiner, T.; Hochreiter, S. Fast and accurate deep network learning by exponential linear units (elus). arXiv 2015, arXiv:1511.07289. [Google Scholar]













| Factors | Levels | ||
|---|---|---|---|
| 1 | 2 | 3 | |
| Neuron configuration | Constant | Linear decrease | Stepped decrease |
| Number of neurons in L1 (NL1) | 54 | 64 | 74 |
| Number of hidden layers (M) | 4 | 8 | 16 |
| Learning rate | 0.001 | 0.005 | 0.01 |
| Run | Neuron Configuration | NL1 | M | Learning Rate |
|---|---|---|---|---|
| 1 | Constant | 54 | 4 | 0.001 |
| 2 | Linear decrease | 54 | 8 | 0.005 |
| 3 | Stepped decrease | 54 | 16 | 0.01 |
| 4 | Linear decrease | 64 | 4 | 0.01 |
| 5 | Stepped decrease | 64 | 8 | 0.001 |
| 6 | Constant | 64 | 16 | 0.005 |
| 7 | Stepped decrease | 74 | 4 | 0.005 |
| 8 | Constant | 74 | 8 | 0.01 |
| 9 | Linear decrease | 74 | 16 | 0.001 |
| Parameters | Dimensions | Parameters | Dimensions |
|---|---|---|---|
| dc | 5.2 mm | s4 | 0.1 mm |
| dp | 5.0 mm | s5 | 0.9 mm |
| hv | 0.2 mm | s6 | 0.9 mm |
| hc | 0.1 mm | rv | 0.2 mm |
| s1 | 0.1 mm | ws1, ⋯, ws6 | 0.1–0.5 mm |
| s2 | 0.9 mm | Ls1, ⋯, Ls6 | 0.1–4.8 mm |
| s3 | 0.9 mm |
| Parameters | A | B1 | B2 | C |
|---|---|---|---|---|
| Ls1 | 2.56 | 4.65 | 2.56 | 4.35 |
| ws1 | 0.44 | 0.44 | 0.50 | 0.33 |
| Ls2 | 4.05 | 0.92 | 3.38 | 1.89 |
| ws2 | 0.10 | 0.33 | 0.27 | 0.27 |
| Ls3 | 4.58 | 2.41 | 2.93 | 3.76 |
| ws3 | 0.27 | 0.21 | 0.10 | 0.50 |
| Ls4 | 3.61 | 4.80 | 3.53 | 3.08 |
| ws4 | 0.27 | 0.50 | 0.16 | 0.21 |
| Ls5 | 4.58 | 3.08 | 2.49 | 2.41 |
| ws5 | 0.10 | 0.39 | 0.16 | 0.27 |
| Ls6 | 3.98 | 4.73 | 3.68 | 2.41 |
| ws6 | 0.21 | 0.33 | 0.33 | 0.16 |
| OA Runs | |||||||||
|---|---|---|---|---|---|---|---|---|---|
| 1 | 2 | 3 | 4 | 5 | 6 | 7 | 8 | 9 | |
| RMSEfLE (GHz) | 0.16 | 0.29 | 0.10 | 0.10 | 0.18 | 0.15 | 0.18 | 0.10 | 0.15 |
| RMSEfHE (GHz) | 0.48 | 0.45 | 0.22 | 0.23 | 0.51 | 0.12 | 0.45 | 0.33 | 0.48 |
| kerror (%) | 6.94 | 8.70 | 3.60 | 3.69 | 7.53 | 3.45 | 6.98 | 4.65 | 6.79 |
| Conventional Method | Proposed Method | |||||
|---|---|---|---|---|---|---|
| TV1 | TV2 | TV3 | TV1 | TV2 | TV3 | |
| Ls1 | 3.40 | 2.29 | 3.88 | 0.24 | 3.38 | 0.10 |
| ws1 | 0.23 | 0.33 | 0.41 | 0.10 | 0.44 | 0.38 |
| Ls2 | 2.47 | 2.06 | 1.29 | 1.96 | 3.15 | 3.60 |
| ws2 | 0.43 | 0.39 | 0.30 | 0.44 | 0.44 | 0.38 |
| Ls3 | 4.09 | 4.75 | 4.18 | 4.50 | 3.45 | 1.59 |
| ws3 | 0.47 | 0.23 | 0.36 | 0.38 | 0.10 | 0.44 |
| Ls4 | 4.12 | 2.76 | 1.14 | 4.80 | 4.2 | 2.48 |
| ws4 | 0.28 | 0.30 | 0.12 | 0.32 | 0.21 | 0.32 |
| Ls5 | 0.25 | 3.34 | 0.65 | 2.86 | 4.27 | 4.72 |
| ws5 | 0.22 | 0.20 | 0.27 | 0.10 | 0.38 | 0.44 |
| Ls6 | 2.56 | 3.56 | 2.72 | 3.90 | 0.17 | 3.3 |
| ws6 | 0.18 | 0.37 | 0.35 | 0.32 | 0.50 | 0.10 |
| NDIM | N/A | N/A | N/A | 9 | 6 | 8 |
| fL (GHz) | 2.45 | 3.09 | 3.48 | 2.49 | 3.07 | 3.53 |
| fH (GHz) | 4.31 | 5.36 | 6.04 | 4.33 | 5.27 | 6.06 |
| fL error (%) | 2.0 | 0.3 | 0.6 | 0.4 | 1.0 | 0.9 |
| fH error (%) | 0.2 | 0.6 | 0.3 | 0.7 | 1.1 | 0.7 |
| FBW | 0.550 | 0.537 | 0.538 | 0.539 | 0.528 | 0.528 |
| Synthesis time (s) | 50,946 | 55,111 | 45,909 | 767 | 520 | 706 |
| Conventional Method | Proposed Method | |||||
|---|---|---|---|---|---|---|
| TV4 | TV5 | TV6 | TV4 | TV5 | TV6 | |
| Ls1 | 2.34 | 0.52 | 4.66 | 2.56 | 0.92 | 3.90 |
| ws1 | 0.12 | 0.20 | 0.41 | 0.50 | 0.44 | 0.21 |
| Ls2 | 1.23 | 2.71 | 1.62 | 0.10 | 1.81 | 1.21 |
| ws2 | 0.29 | 0.26 | 0.41 | 0.27 | 0.32 | 0.27 |
| Ls3 | 2.33 | 0.58 | 3.15 | 0.10 | 0.39 | 3.45 |
| ws3 | 0.38 | 0.26 | 0.11 | 0.10 | 0.38 | 0.10 |
| Ls4 | 4.63 | 4.59 | 3.48 | 4.65 | 4.50 | 3.30 |
| ws4 | 0.48 | 0.13 | 0.29 | 0.44 | 0.32 | 0.27 |
| Ls5 | 3.75 | 3.85 | 3.20 | 4.80 | 3.30 | 2.56 |
| ws5 | 0.19 | 0.20 | 0.16 | 0.27 | 0.21 | 0.44 |
| Ls6 | 1.53 | 1.70 | 2.71 | 2.33 | 0.99 | 1.66 |
| ws6 | 0.26 | 0.13 | 0.37 | 0.15 | 0.10 | 0.21 |
| NDIM | N/A | N/A | N/A | 5 | 1 | 3 |
| fL (GHz) | 3.13 | 3.18 | 3.18 | 3.17 | 3.21 | 3.14 |
| fH (GHz) | 5.07 | 5.43 | 5.79 | 4.94 | 5.40 | 5.81 |
| fL error (%) | 2.2 | 0.6 | 0.6 | 0.9 | 0.3 | 1.9 |
| fH error (%) | 1.4 | 0.6 | 0.2 | 1.2 | 0 | 0.2 |
| Synthesis time (s) | 25,206 | 43,494 | 46,750 | 400 | 80 | 239 |
Disclaimer/Publisher’s Note: The statements, opinions and data contained in all publications are solely those of the individual author(s) and contributor(s) and not of MDPI and/or the editor(s). MDPI and/or the editor(s) disclaim responsibility for any injury to people or property resulting from any ideas, methods, instructions or products referred to in the content. |
© 2023 by the authors. Licensee MDPI, Basel, Switzerland. This article is an open access article distributed under the terms and conditions of the Creative Commons Attribution (CC BY) license (https://creativecommons.org/licenses/by/4.0/).
Share and Cite
Sim, S.; Kim, M. Fast Synthesis Method for High-Dimensional Electromagnetic Bandgap Structure Using Deep Neural Network for Power/Ground Noise Suppression. Electronics 2023, 12, 2399. https://doi.org/10.3390/electronics12112399
Sim S, Kim M. Fast Synthesis Method for High-Dimensional Electromagnetic Bandgap Structure Using Deep Neural Network for Power/Ground Noise Suppression. Electronics. 2023; 12(11):2399. https://doi.org/10.3390/electronics12112399
Chicago/Turabian StyleSim, Seongbo, and Myunghoi Kim. 2023. "Fast Synthesis Method for High-Dimensional Electromagnetic Bandgap Structure Using Deep Neural Network for Power/Ground Noise Suppression" Electronics 12, no. 11: 2399. https://doi.org/10.3390/electronics12112399
APA StyleSim, S., & Kim, M. (2023). Fast Synthesis Method for High-Dimensional Electromagnetic Bandgap Structure Using Deep Neural Network for Power/Ground Noise Suppression. Electronics, 12(11), 2399. https://doi.org/10.3390/electronics12112399

