Modeling and Centralized-ZVS Control for Wireless Charging Electric Vehicles Supplied by Parallel Modular Multi-Inverters
Abstract
1. Introduction
- (1)
- The PMMI topology is proposed and applied to high-power wireless charging EVs. Meanwhile, on the basis of impedance angle analysis, the modular inverter output ZVS angle varies with the number of PMMIs, and load resistance is simulated and analyzed. Moreover, by introducing the MSFF strategy, a novel centralized-ZVS control is put forward to make all inverter modules operate at the required ZVS state.
- (2)
- A common dynamic model method considering the proposed PMMIs, ICTs, and the entire WPT system is proposed, which can directly obtain the slowly changing operating frequency and ZVS angle variables instead of time-varying voltage and current variables. Moreover, the OCC configuration method is proposed for the PI controller parameter design, which can dynamically regulate operating frequency to make all PMMIs always operate at the desired ZVS angle within the required setting time.
2. Analysis of the System Structure
2.1. Structure of the WPT System Supplied by PMMIs
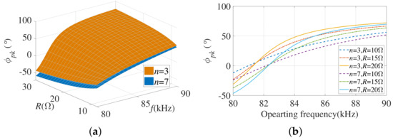
2.2. Analysis of ZVS for PMMIs Topology
- (1)
- is larger than at the same operating frequency, meaning that the operating frequency of the PMMI system is lower than that of the single inverter WPT system at the same ZVS angle. Additionally, when the ZVS state is implemented, can be negative.
- (2)
- Moreover, decreases with the number of PMMIs and gradually approaches . When n is large enough, approaches indefinitely, which means .
- (3)
- Additionally, the same operating frequency change of the PMMI system can cause a larger ZVS angle change compared with a single inverter system, meaning that is more sensitive to operating frequency than .
2.3. Control Scheme
3. Dynamic Modeling and Controller Design
3.1. The Dynamic Differential Equations
3.2. Small-Signal Modeling and Linearization
4. Controller Design and Simulation Verification
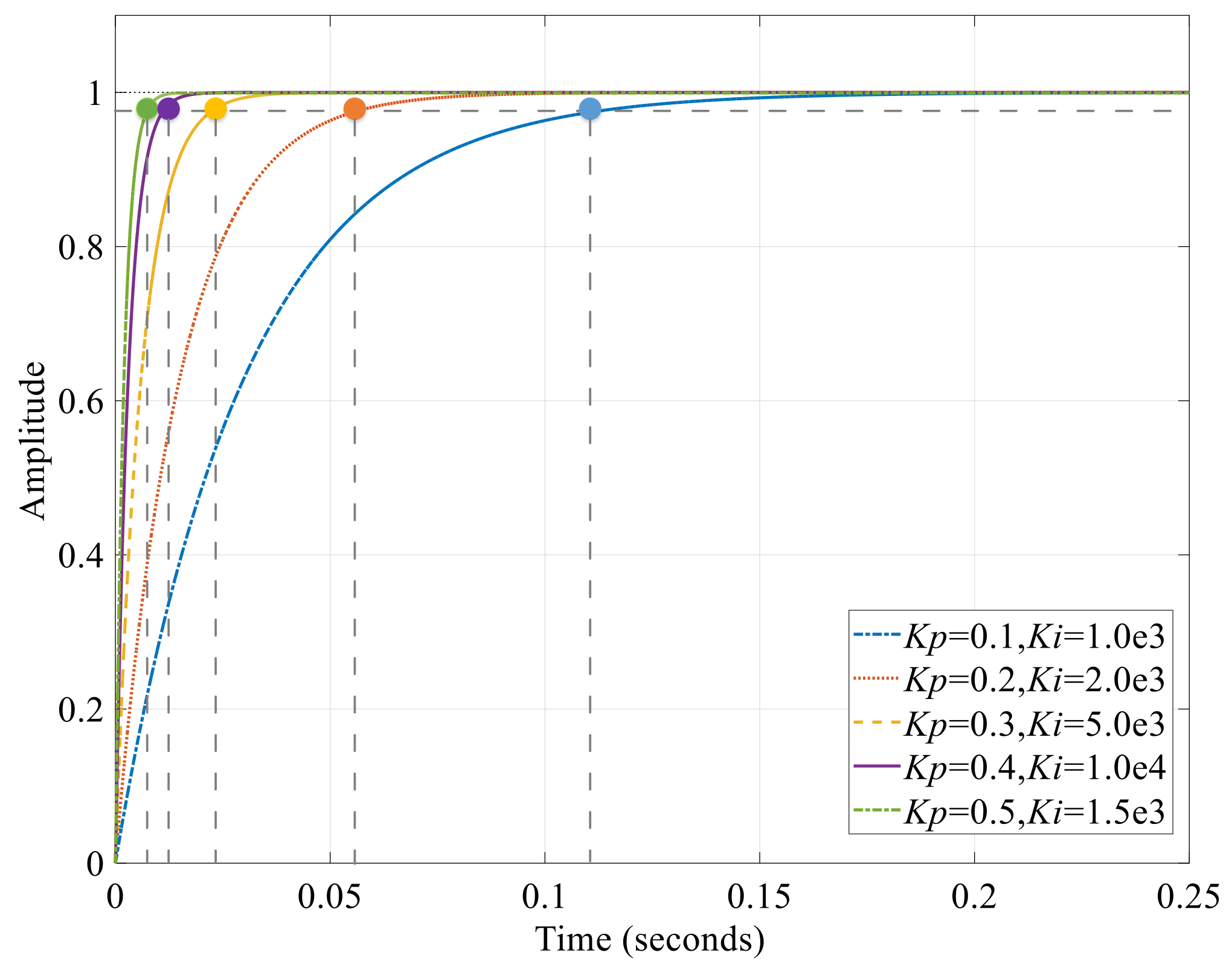
4.1. Controller Design
- (1)
- The influence of two dipoles can be neglected when analyzing the dynamic performance of the system, which mainly relies on the closed-loop dominant poles (CLDPs) that are close to the imaginary axis compared to other closed-loop poles [28].
- (2)
- A pole at the origin and a zero on the negative real axis will be added to the root locus due to the proportional and integral coefficients of the added PI controller, which means that a new CLDP will be added on the negative real axis. Hence, the required response dynamic performance of the ZVS angle control can be achieved by designing PI controller parameters to configure the new CLDP.
- (3)
- The dynamic performance with the setting time in tens of milliseconds is completely determined by the new CLDP, because in comparison, the original closed-loop poles of (22) are far away from the imaginary axis. Therefore, the dynamic performance of the transfer function with the PI controller is almost identical to that of the first-order system, meaning that they both have the same closed-loop characteristic root (CLCR).
4.2. Simulation Verification
5. Experimental Results
5.1. WPT Experimental Prototype Supplied by PMMIs
5.2. Experiments of Steady State
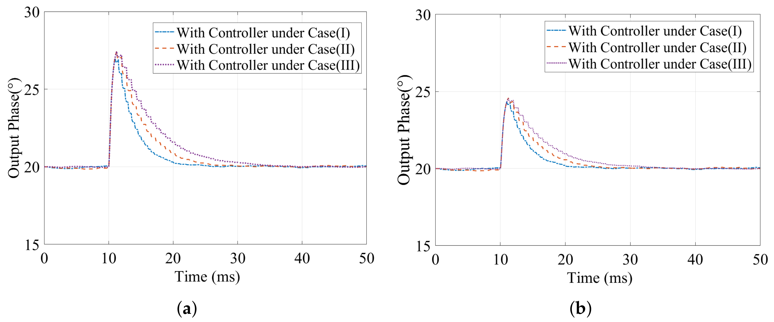
5.3. Experiments Under Disturbances
6. Conclusions
Author Contributions
Funding
Data Availability Statement
Conflicts of Interest
Appendix A
References
- Buja, G.; Bertoluzzo, M.; Mude, K.N. Design and Experimentation of WPT Charger for Electric City Car. IEEE Trans. Ind. Electron. 2015, 62, 7436–7447. [Google Scholar] [CrossRef]
- Zhou, S.; Chris Mi, C. Multi-Paralleled LCC Reactive Power Compensation Networks and Their Tuning Method for Electric Vehicle Dynamic Wireless Charging. IEEE Trans. Ind. Electron. 2016, 63, 6546–6556. [Google Scholar] [CrossRef]
- Bosshard, R.; Kolar, J.W. Multi-Objective Optimization of 50 kW/85 kHz IPT System for Public Transport. IEEE J. Emerg. Sel. Top. Power Electron. 2016, 4, 1370–1382. [Google Scholar] [CrossRef]
- Shin, J.; Shin, S.; Kim, Y.; Ahn, S.; Lee, S.; Jung, G.; Jeon, S.; Cho, D. Design and Implementation of Shaped Magnetic-Resonance-Based Wireless Power Transfer System for Roadway-Powered Moving Electric Vehicles. IEEE Trans. Ind. Electron. 2014, 61, 1179–1192. [Google Scholar] [CrossRef]
- Kan, T.; Nguyen, T.; White, J.C.; Malhan, R.K.; Mi, C.C. A New Integration Method for an Electric Vehicle Wireless Charging System Using LCC Compensation Topology: Analysis and Design. IEEE Trans. Power Electron. 2017, 32, 1638–1650. [Google Scholar] [CrossRef]
- Zhou, H.; Chen, J.; Deng, Q.; Chen, F.; Zhu, A.; Hu, W.; Gao, X. Input-Series Output-Equivalent-Parallel Multi-Inverter System for High-Voltage and High-Power Wireless Power Transfer. IEEE Trans. Power Electron. 2021, 36, 228–238. [Google Scholar] [CrossRef]
- Tavakoli, R.; Pantic, Z. Analysis, Design, and Demonstration of a 25-kW Dynamic Wireless Charging System for Roadway Electric Vehicles. IEEE J. Emerg. Sel. Top. Power Electron. 2018, 6, 1378–1393. [Google Scholar] [CrossRef]
- Shi, Y.; Wu, W.; Wang, H.; Du, Y.; Su, J. The Parallel Multi-Inverter System Based on the Voltage-Type Droop Control Method. IEEE J. Emerg. Sel. Top. Power Electron. 2016, 4, 1332–1341. [Google Scholar] [CrossRef]
- Deng, Q.; Sun, P.; Hu, W.; Czarkowski, D.; Kazimierczuk, M.K.; Zhou, H. Modular Parallel Multi-Inverter System for High-Power Inductive Power Transfer. IEEE Trans. Power Electron. 2019, 34, 9422–9434. [Google Scholar] [CrossRef]
- Liu, K.; Cao, W.; Zhao, J. Dual-Loop-Based Harmonic Current Control Strategy and Admittance Modeling for a Multimodular Parallel SAPFs System. IEEE Trans. Ind. Electron. 2020, 67, 5456–5466. [Google Scholar] [CrossRef]
- Deng, Q.; Liu, J.; Czarkowski, D.; Hu, W.; Zhou, H. An Inductive Power Transfer System Supplied by a Multiphase Parallel Inverter. IEEE Trans. Ind. Electron. 2017, 64, 7039–7048. [Google Scholar] [CrossRef]
- Deng, Q.; Wang, Z.; Chen, C.; Czarkowski, D.; Kazimierczuk, M.K.; Zhou, H.; Hu, W. Modeling and Control of Inductive Power Transfer System Supplied by Multiphase Phase-Controlled Inverter. IEEE Trans. Power Electron. 2019, 34, 9303–9315. [Google Scholar] [CrossRef]
- Bojarski, M.; Czarkowski, D.; de Leon, F.; Deng, Q.; Kazimierczuk, M.K.; Sekiya, H. Multiphase resonant inverters with common resonant circuit. In Proceedings of the 2014 IEEE International Symposium on Circuits and Systems (ISCAS), Melbourne, Australia, 1–5 June 2014; pp. 2445–2448. [Google Scholar] [CrossRef]
- Bojarski, M.; Asa, E.; Colak, K.; Czarkowski, D. Analysis and Control of Multiphase Inductively Coupled Resonant Converter for Wireless Electric Vehicle Charger Applications. IEEE Trans. Transp. Electrif. 2017, 3, 312–320. [Google Scholar] [CrossRef]
- Tebianian, H.; Salami, Y.; Jeyasurya, B.; Quaicoe, J.E. A 13.56-MHz Full-Bridge Class-D ZVS Inverter With Dynamic Dead-Time Control for Wireless Power Transfer Systems. IEEE Trans. Ind. Electron. 2020, 67, 1487–1497. [Google Scholar] [CrossRef]
- Tian, J.; Hu, A.P. A DC-Voltage-Controlled Variable Capacitor for Stabilizing the ZVS Frequency of a Resonant Converter for Wireless Power Transfer. IEEE Trans. Power Electron. 2017, 32, 2312–2318. [Google Scholar] [CrossRef]
- Li, H.; Wang, K.; Fang, J.; Tang, Y. Pulse Density Modulated ZVS Full-Bridge Converters for Wireless Power Transfer Systems. IEEE Trans. Power Electron. 2019, 34, 369–377. [Google Scholar] [CrossRef]
- Jiang, Y.; Wang, L.; Fang, J.; Zhao, C.; Wang, K.; Wang, Y. A Joint Control With Variable ZVS Angles for Dynamic Efficiency Optimization in Wireless Power Transfer System. IEEE Trans. Power Electron. 2020, 35, 11064–11081. [Google Scholar] [CrossRef]
- Zhang, X.; Cai, T.; Duan, S.; Feng, H.; Hu, H.; Niu, J.; Chen, C. A Control Strategy for Efficiency Optimization and Wide ZVS Operation Range in Bidirectional Inductive Power Transfer System. IEEE Trans. Ind. Electron. 2019, 66, 5958–5969. [Google Scholar] [CrossRef]
- Liu, W.; Chau, K.T.; Lee, C.H.T.; Tian, X.; Jiang, C. Hybrid Frequency Pacing for High-Order Transformed Wireless Power Transfer. IEEE Trans. Power Electron. 2021, 36, 1157–1170. [Google Scholar] [CrossRef]
- Jiang, Y.; Wang, L.; Wang, Y.; Liu, J.; Wu, M.; Ning, G. Analysis, Design, and Implementation of WPT System for EV’s Battery Charging Based on Optimal Operation Frequency Range. IEEE Trans. Power Electron. 2019, 34, 6890–6905. [Google Scholar] [CrossRef]
- Liu, F.; Ding, Z.; Fu, X.; Kennel, R.M. Parametric Optimization of a Three-Phase MCR WPT System With Cylinder-Shaped Coils Oriented by Soft-Switching Range and Stable Output Power. IEEE Trans. Power Electron. 2020, 35, 1036–1044. [Google Scholar] [CrossRef]
- Liu, J.; Deng, Q.; Wang, W.; Li, Z. Modeling and Control of Inverter Zero-Voltage-Switching for Inductive Power Transfer System. IEEE Access 2019, 7, 139885–139894. [Google Scholar] [CrossRef]
- Zhou, H.; Zhu, A.; Deng, Q.; Chen, J.; Yang, F.; Hu, W. Protection Strategy for Wireless Charging Electrical Vehicles. IEEE Trans. Veh. Technol. 2020, 69, 13510–13520. [Google Scholar] [CrossRef]
- Li, H.; Wang, K.; Huang, L.; Chen, W.; Yang, X. Dynamic Modeling Based on Coupled Modes for Wireless Power Transfer Systems. IEEE Trans. Power Electron. 2015, 30, 6245–6253. [Google Scholar] [CrossRef]
- Kurs, A.; Karalis, A.; Moffatt, R.; Joannopoulos, J.D.; Fisher, P.; Soljacic, M. Wireless Power Transfer via Strongly Coupled Magnetic Resonances. Science 2007, 317, 83–86. [Google Scholar] [CrossRef] [PubMed]
- Jiang, Y.; Wang, L.; Wang, Y.; Liu, J.; Li, X.; Ning, G. Analysis, Design, and Implementation of Accurate ZVS Angle Control for EV Battery Charging in Wireless High-Power Transfer. IEEE Trans. Ind. Electron. 2019, 66, 4075–4085. [Google Scholar] [CrossRef]
- Chen, C.; Zhou, H.; Deng, Q.; Hu, W.; Yu, Y.; Lu, X.; Lai, J. Modeling and Decoupled Control of Inductive Power Transfer to Implement Constant Current/Voltage Charging and ZVS Operating for Electric Vehicles. IEEE Access 2018, 6, 59917–59928. [Google Scholar] [CrossRef]













| Symbol | Parameter | Value |
|---|---|---|
| Output voltage of the DC source | 50 V | |
| Operating frequency | 80∼90 kHz | |
| M | Mutual inductance between two coils | 7.25 H |
| Inductances of both resonant coils | 32.5 H | |
| Capacitances of both resonant loops | 113.0 nF | |
| R | Load resistance | 10 |
| Mutual inductance between two ICTs | 14 H | |
| Leakage inductance between two ICTs | 2 H | |
| Parasitic resistance of single ICT | 20 | |
| Parasitic resistance at both resonant sides | 50 | |
| n | Number of the PMMIs | 3∼7 |
| Case | Setting Time | Parameter of | Parameter of |
|---|---|---|---|
| Case (I) | = 10 ms | 0.50 | 9.00 × 10 |
| Case (II) | = 15 ms | 0.50 | 6.04 × 10 |
| Case (III) | = 20 ms | 0.50 | 4.55 × 10 |
| Symbol | Parameter | Value |
|---|---|---|
| DC power source output voltage | 200 V | |
| M | Mutual inductance between two coils | 7.89 H |
| Inductance at the primary side | 35.92 H | |
| Capacitance at the primary side | 100.2 nF | |
| Parasitic resistance at the primary side | 31 | |
| Inductance at the secondary side | 35.30 H | |
| Capacitance at the secondary side | 101.1 nF | |
| Parasitic resistance at the secondary side | 32 | |
| Inductance of the ICTs | 13.8∼14.3 H | |
| Leakage inductance between two ICTs | 1.95∼2.03 H | |
| Parasitic resistance of ICTS | 29.3∼30.5 |
Disclaimer/Publisher’s Note: The statements, opinions and data contained in all publications are solely those of the individual author(s) and contributor(s) and not of MDPI and/or the editor(s). MDPI and/or the editor(s) disclaim responsibility for any injury to people or property resulting from any ideas, methods, instructions or products referred to in the content. |
© 2023 by the authors. Licensee MDPI, Basel, Switzerland. This article is an open access article distributed under the terms and conditions of the Creative Commons Attribution (CC BY) license (https://creativecommons.org/licenses/by/4.0/).
Share and Cite
Chen, J.; Zhu, A.; Zhang, Z.; Yu, S.; Li, R.; Zhang, W.; Cai, J. Modeling and Centralized-ZVS Control for Wireless Charging Electric Vehicles Supplied by Parallel Modular Multi-Inverters. Electronics 2023, 12, 2209. https://doi.org/10.3390/electronics12102209
Chen J, Zhu A, Zhang Z, Yu S, Li R, Zhang W, Cai J. Modeling and Centralized-ZVS Control for Wireless Charging Electric Vehicles Supplied by Parallel Modular Multi-Inverters. Electronics. 2023; 12(10):2209. https://doi.org/10.3390/electronics12102209
Chicago/Turabian StyleChen, Jing, Ao Zhu, Zhengqing Zhang, Shuai Yu, Rui Li, Weilong Zhang, and Jiuqing Cai. 2023. "Modeling and Centralized-ZVS Control for Wireless Charging Electric Vehicles Supplied by Parallel Modular Multi-Inverters" Electronics 12, no. 10: 2209. https://doi.org/10.3390/electronics12102209
APA StyleChen, J., Zhu, A., Zhang, Z., Yu, S., Li, R., Zhang, W., & Cai, J. (2023). Modeling and Centralized-ZVS Control for Wireless Charging Electric Vehicles Supplied by Parallel Modular Multi-Inverters. Electronics, 12(10), 2209. https://doi.org/10.3390/electronics12102209

