Terahertz Hybrid Topological Chip for 10-Gbps Full-Duplex Communications
Abstract
1. Introduction
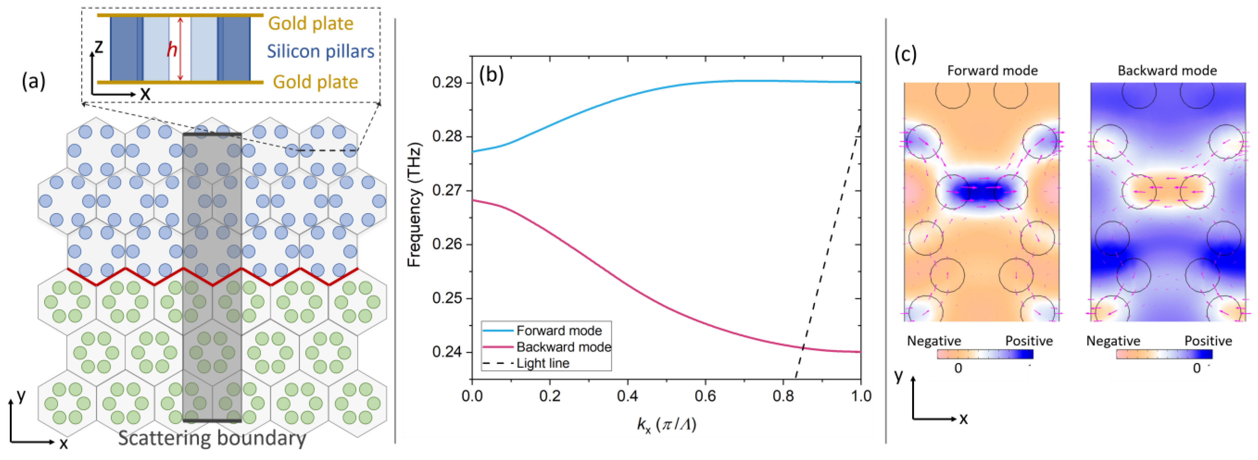
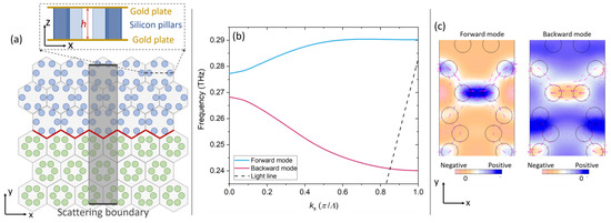
2. Waveguide Design
3. Communication Potentials
4. Conclusions
Author Contributions
Funding
Data Availability Statement
Acknowledgments
Conflicts of Interest
References
- Kumar, A.; Gupta, M.; Singh, R. Topological integrated circuits for 5G and 6G. Nat. Electron. 2022, 5, 261–262. [Google Scholar] [CrossRef]
- Xu, G.; Skorobogatiy, M. Wired THz Communications. J. Infrared Millim. Terahertz Waves 2022, 43, 728–778. [Google Scholar] [CrossRef]
- Holloway, J.W.; Dogiamis, G.C.; Han, R. Innovations in Terahertz Interconnects: High-Speed Data Transport Over Fully Electrical Terahertz Waveguide Links. IEEE Microw. Mag. 2020, 21, 35–50. [Google Scholar] [CrossRef]
- Sengupta, K.; Nagatsuma, T.; Mittleman, D.M. Terahertz integrated electronic and hybrid electronic–photonic systems. Nat. Electron. 2018, 1, 622–635. [Google Scholar] [CrossRef]
- Zhang, Y.; Lu, Y.; Yuan, M.; Xu, Y.; Xu, Q.; Yang, Q.; Liu, Y.; Gu, J.; Li, Y.; Tian, Z.; et al. Rotated Pillars for Functional Integrated On-Chip Terahertz Spoof Surface-Plasmon-Polariton Devices. Adv. Opt. Mater. 2022, 10, 2102561. [Google Scholar] [CrossRef]
- Cao, Y.; Nallappan, K.; Xu, G.; Skorobogatiy, M. Add drop multiplexers for terahertz communications using two-wire waveguide-based plasmonic circuits. Nat. Commun. 2022, 13, 4090. [Google Scholar] [CrossRef] [PubMed]
- Atakaramians, S.; Afshar, V.S.; Monro, T.M.; Abbott, D. Terahertz dielectric waveguides. Adv. Opt. Photonics 2013, 5, 169–215. [Google Scholar] [CrossRef]
- Islam, M.S.; Cordeiro, C.M.B.; Franco, M.A.R.; Sultana, J.; Cruz, A.L.S.; Abbott, D. Terahertz optical fibers [Invited]. Opt. Express 2020, 28, 16089–16117. [Google Scholar] [CrossRef]
- Li, H.; Atakaramians, S.; Lwin, R.; Tang, X.; Yu, Z.; Argyros, A.; Kuhlmey, B.T. Flexible single-mode hollow-core terahertz fiber with metamaterial cladding. Optica 2016, 3, 941–947. [Google Scholar] [CrossRef]
- Withayachumnankul, W.; Fujita, M.; Nagatsuma, T. Integrated Silicon Photonic Crystals Toward Terahertz Communications. Adv. Opt. Mater. 2018, 6, 1800401. [Google Scholar] [CrossRef]
- Zhu, H.-T.; Xue, Q.; Hui, J.-N.; Pang, S.W. Design, Fabrication, and Measurement of the Low-Loss SOI-Based Dielectric Microstrip Line and its Components. IEEE Trans. Terahertz Sci. Technol. 2016, 6, 696–705. [Google Scholar] [CrossRef]
- Tsuruda, K.; Fujita, M.; Nagatsuma, T. Extremely low-loss terahertz waveguide based on silicon photonic-crystal slab. Opt. Express 2015, 23, 31977–31990. [Google Scholar] [CrossRef] [PubMed]
- Koala, R.A.S.D.; Fujita, M.; Nagatsuma, T. Nanophotonics-inspired all-silicon waveguide platforms for terahertz integrated systems. Nanophotonics 2022, 11, 1741–1759. [Google Scholar] [CrossRef]
- Headland, D.; Yu, X.; Fujita, M.; Nagatsuma, T. Near-field out-of-plane coupling between terahertz photonic crystal waveguides. Optica 2019, 6, 1002–1011. [Google Scholar] [CrossRef]
- Gao, W.; Lee, W.S.L.; Fumeaux, C.; Withayachumnankul, W. Effective-medium-clad Bragg grating filters. APL Photonics 2021, 6, 076105. [Google Scholar] [CrossRef]
- Khanikaev, A.B.; Shvets, G. Two-dimensional topological photonics. Nat. Photonics 2017, 11, 763–773. [Google Scholar] [CrossRef]
- Price, H.; Chong, Y.; Khanikaev, A.; Schomerus, H.; Maczewsky, L.J.; Kremer, M.; Heinrich, M.; Szameit, A.; Zilberberg, O.; Yang, Y.; et al. Roadmap on topological photonics. J. Phys. Photonics 2022, 4, 032501. [Google Scholar] [CrossRef]
- Kumar, A.; Gupta, M.; Pitchappa, P.; Wang, N.; Fujita, M.; Singh, R. Terahertz topological photonic integrated circuits for 6G and beyond: A Perspective. J. Appl. Phys. 2022, 132, 140901. [Google Scholar] [CrossRef]
- Kim, M.; Jacob, Z.; Rho, J. Recent advances in 2D, 3D and higher-order topological photonics. Light Sci. Appl. 2020, 9, 130. [Google Scholar] [CrossRef] [PubMed]
- Tang, G.J.; He, X.T.; Shi, F.L.; Liu, J.W.; Chen, X.D.; Dong, J.W. Topological Photonic Crystals: Physics, Designs, and Applications. Laser Photonics Rev. 2022, 16, 2100300. [Google Scholar] [CrossRef]
- Yang, Y.; Yamagami, Y.; Yu, X.; Pitchappa, P.; Webber, J.; Zhang, B.; Fujita, M.; Nagatsuma, T.; Singh, R. Terahertz topological photonics for on-chip communication. Nat. Photonics 2020, 14, 446–451. [Google Scholar] [CrossRef]
- Webber, J.; Yamagami, Y.; Ducournau, G.; Szriftgiser, P.; Iyoda, K.; Fujita, M.; Nagatsuma, T.; Singh, R. Terahertz Band Communications With Topological Valley Photonic Crystal Waveguide. J. Light. Technol. 2021, 39, 7609–7620. [Google Scholar] [CrossRef]
- Kumar, A.; Gupta, M.; Pitchappa, P.; Wang, N.; Szriftgiser, P.; Ducournau, G.; Singh, R. Phototunable chip-scale topological photonics: 160 Gbps waveguide and demultiplexer for THz 6G communication. Nat. Commun. 2022, 13, 5404. [Google Scholar] [CrossRef] [PubMed]
- Khan, M.T.A.; Li, H.; Duong, N.N.M.; Blanco-Redondo, A.; Atakaramians, S. 3D-Printed Terahertz Topological Waveguides. Adv. Mater. Technol. 2021, 6, 2100252. [Google Scholar] [CrossRef]
- Kumar, A.; Gupta, M.; Pitchappa, P.; Tan, Y.J.; Wang, N.; Singh, R. Topological sensor on a silicon chip. Appl. Phys. Lett. 2022, 121, 011101. [Google Scholar] [CrossRef]
- Liu, X.; Huang, J.; Chen, H.; Qian, Z.; Ma, J.; Sun, X.; Fan, S.; Sun, Y. Terahertz topological photonic waveguide switch for on-chip communication. Photonics Res. 2022, 10, 1090–1096. [Google Scholar] [CrossRef]
- Yang, Q.; Wang, D.; Kruk, S.; Liu, M.; Kravchenko, I.; Han, J.; Kivshar, Y.; Shadrivov, I. Topology-empowered membrane devices for terahertz photonics. Adv. Photonics 2022, 4, 046002. [Google Scholar] [CrossRef]
- Xiong, H.; Lu, Y.; Wu, Q.; Li, Z.; Qi, J.; Xu, X.; Ma, R.; Xu, J. Topological Valley Transport of Terahertz Phonon–Polaritons in a LiNbO3 Chip. ACS Photonics 2021, 8, 2737–2745. [Google Scholar] [CrossRef]
- Li, H.; Ouyang, C.; Ma, J.; Liu, S.; Liu, Y.; Xu, Q.; Li, Y.; Tian, Z.; Gu, J.; Han, J.; et al. On/Off Switching of Valley Topological Edge States in the Terahertz Region. IEEE Photonics J. 2022, 14, 4633206. [Google Scholar] [CrossRef]
- Shen, Y.; Ji, J.; Li, H.-C.; Zhang, L.; Yu, X.; Yan, S.-B.; Rasmussen, M.; Shen, Q.; Madhi, D.; Zhou, B.-B.; et al. Realization of Photonic Topological Insulators at Terahertz Frequencies Characterized by Time-Domain Spectroscopy. Phys. Rev. Appl. 2022, 18, 064025. [Google Scholar] [CrossRef]
- Li, H.; Low, M.X.; Ako, R.T.; Bhaskaran, M.; Sriram, S.; Withayachumnankul, W.; Kuhlmey, B.T.; Atakaramians, S. Broadband Single-Mode Hybrid Photonic Crystal Waveguides for Terahertz Integration on a Chip. Adv. Mater. Technol. 2020, 5, 2000117. [Google Scholar] [CrossRef]
- Wu, L.H.; Hu, X. Scheme for Achieving a Topological Photonic Crystal by Using Dielectric Material. Phys. Rev. Lett. 2015, 114, 223901. [Google Scholar] [CrossRef]
- Yang, Y.; Xu, Y.F.; Xu, T.; Wang, H.-X.; Jiang, J.-H.; Hu, X.; Hang, Z.H. Visualization of a Unidirectional Electromagnetic Waveguide Using Topological Photonic Crystals Made of Dielectric Materials. Phys. Rev. Lett. 2018, 120, 217401. [Google Scholar] [CrossRef] [PubMed]
- Degirmenci, E.; Landais, P. Finite element method analysis of band gap and transmission of two-dimensional metallic photonic crystals at terahertz frequencies. Appl. Opt. 2013, 52, 7367–7375. [Google Scholar] [CrossRef]
- Nallappan, K.; Cao, Y.; Xu, G.; Guerboukha, H.; Nerguizian, C.; Skorobogatiy, M. Dispersion-limited versus power-limited terahertz communication links using solid core subwavelength dielectric fibers. Photonics Res. 2020, 8, 1757–1775. [Google Scholar] [CrossRef]
- Wang, Y.; Gao, W.; Han, C. End-to-end Modeling and Analysis for Terahertz Wireline Transmission System with Solid Polymer Fiber. In Proceedings of the ICC 2021—IEEE International Conference on Communications, Montreal, QC, Canada, 14–23 June 2021; pp. 1–6. [Google Scholar]
- Wang, Q.; Shah, S.D.A.; Li, H.; Kuhlmey, B.; Atakaramians, S. 20 dB improvement utilizing custom-designed 3D-printed terahertz horn coupler. Opt. Express 2023, 31, 65–74. [Google Scholar] [CrossRef]






Disclaimer/Publisher’s Note: The statements, opinions and data contained in all publications are solely those of the individual author(s) and contributor(s) and not of MDPI and/or the editor(s). MDPI and/or the editor(s) disclaim responsibility for any injury to people or property resulting from any ideas, methods, instructions or products referred to in the content. |
© 2022 by the authors. Licensee MDPI, Basel, Switzerland. This article is an open access article distributed under the terms and conditions of the Creative Commons Attribution (CC BY) license (https://creativecommons.org/licenses/by/4.0/).
Share and Cite
Li, H.; Zhang, Y.; Liu, Y.; Atakaramians, S. Terahertz Hybrid Topological Chip for 10-Gbps Full-Duplex Communications. Electronics 2023, 12, 109. https://doi.org/10.3390/electronics12010109
Li H, Zhang Y, Liu Y, Atakaramians S. Terahertz Hybrid Topological Chip for 10-Gbps Full-Duplex Communications. Electronics. 2023; 12(1):109. https://doi.org/10.3390/electronics12010109
Chicago/Turabian StyleLi, Haisu, Yu Zhang, Yajing Liu, and Shaghik Atakaramians. 2023. "Terahertz Hybrid Topological Chip for 10-Gbps Full-Duplex Communications" Electronics 12, no. 1: 109. https://doi.org/10.3390/electronics12010109
APA StyleLi, H., Zhang, Y., Liu, Y., & Atakaramians, S. (2023). Terahertz Hybrid Topological Chip for 10-Gbps Full-Duplex Communications. Electronics, 12(1), 109. https://doi.org/10.3390/electronics12010109

