A Novel Metasurface Lens Design for Synthesizing Plane Waves in Millimeter-Wave Bands
Abstract
:1. Introduction
- (1)
- A novel design based on a metasurface lens for generating a plane-wave condition in a reduced distance is introduced; it can be a cost-effective solution for mm-wave PWG systems.
- (2)
- The performance of the phase-shift element is investigated in millimeter wave bands; it can be used to replace expensive and inaccurate millimeter phase shifters.
- (3)
- The designed metasurface lens, working at a frequency range from 24.25 GHz to 27.5 GHz, is validated through simulations and experiments. The results show that a uniform amplitude and phase can be achieved.
2. Geometry of Metasurface Lens
3. Metasurface Lens Design
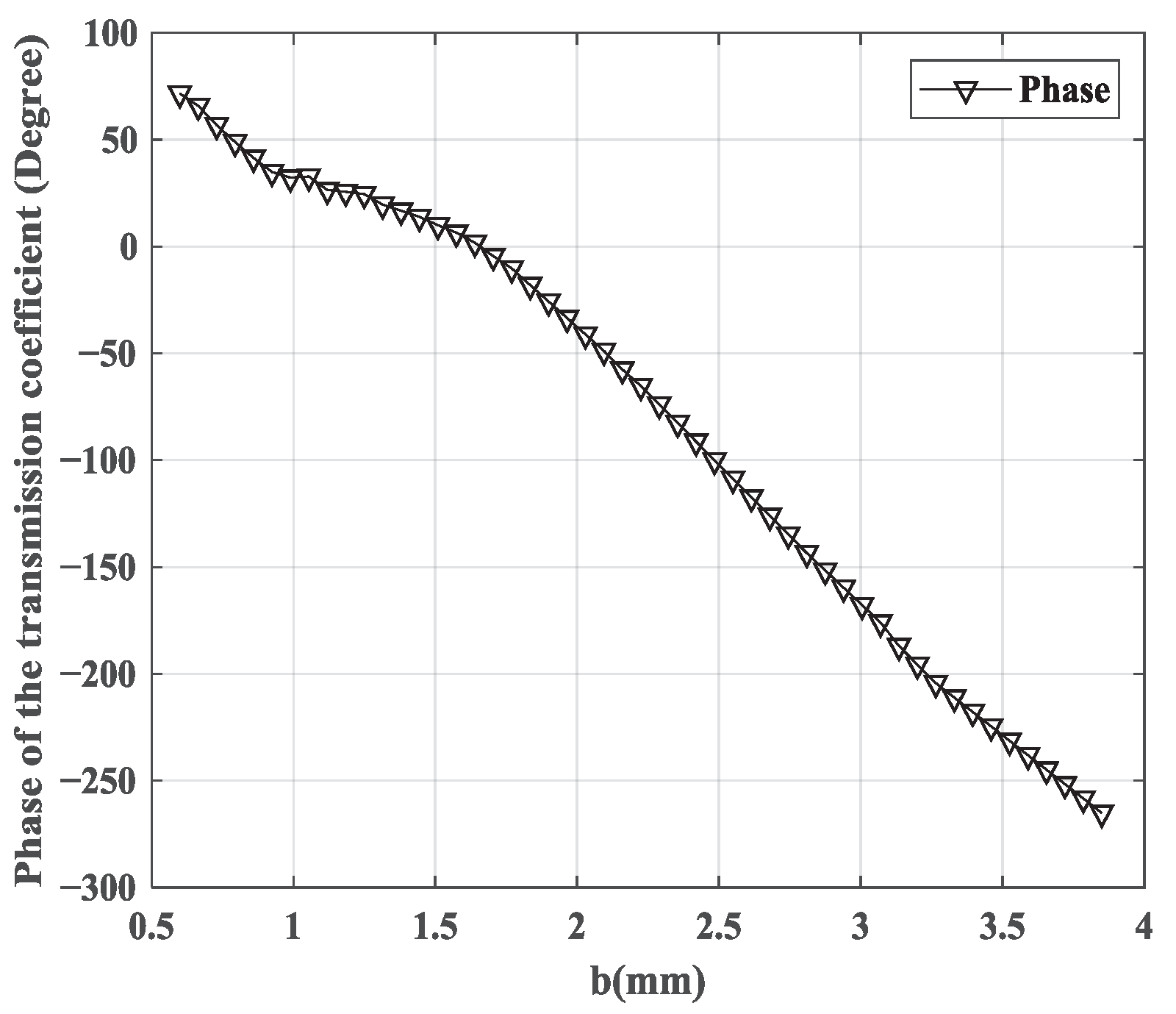
3.1. Phase-Shift Element
3.2. Metasurface Lens
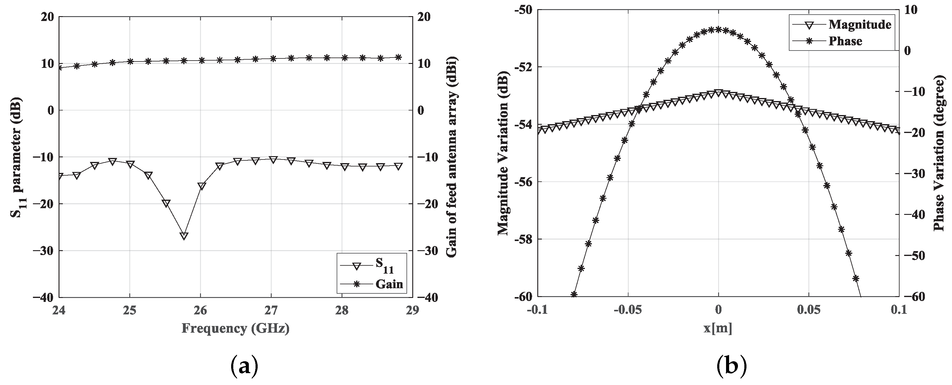
3.3. Feeding-Antenna Array Design
3.4. Simulated-Array Performance
4. Measurements and Discussion
5. Conclusions
Author Contributions
Funding
Conflicts of Interest
References
- Chen, X.; Abdullah, M.; Li, Q.; Li, J.; Zhang, A.; Svensson, T. Characterizations of Mutual Coupling Effects on Switch-Based Phased Array Antennas for 5G Millimeter-Wave Mobile Communications. IEEE Access 2019, 7, 31376–31384. [Google Scholar] [CrossRef]
- Chen, X.; Abdullah, M.; Zhang, S.; Li, T.; Li, Q. Mutual Coupling Reduction of Slot Array Antenna for 5G Millimeter-wave Handset. In Proceedings of the 2019 Photonics Electromagnetics Research Symposium-Fall (PIERS-Fall), Xiamen, China, 17–20 December 2019; pp. 1525–1530. [Google Scholar] [CrossRef]
- Hong, W.; Jiang, Z.H.; Yu, C.; Zhou, J.; Chen, P.; Yu, Z.; Zhang, H.; Yang, B.; Pang, X.; Jiang, M.; et al. Multibeam Antenna Technologies for 5G Wireless Communications. IEEE Trans. Antennas Propag. 2017, 65, 6231–6249. [Google Scholar] [CrossRef]
- Gao, H.; Wang, W.; Fan, W.; Wu, Y.; Liu, Y.; Pedersen, G.F. Beam Probability Metric for OTA Testing of Adaptive Antenna Systems in Multi-Probe Anechoic Chamber Setups. In Proceedings of the 2019 13th European Conference on Antennas and Propagation (EuCAP), Krakow, Poland, 31 March–5 April 2019; pp. 1–5. [Google Scholar]
- Gao, H.; Wang, W.; Fan, W.; Wu, Y.; Liu, Y.; Pedersen, G.F. Beam Probability Metric for 5G OTA Testing in Multi-Probe Anechoic Chamber Setups. In Proceedings of the 2019 IEEE International Symposium on Antennas and Propagation and USNC-URSI Radio Science Meeting, Atlanta, GA, USA, 7–12 July 2019; pp. 1847–1848. [Google Scholar] [CrossRef]
- Cartón Llorente, I.; Fan, W.; Pedersen, G.F. MIMO OTA Testing in Small Multiprobe Anechoic Chamber Setups. IEEE Antennas Wirel. Propag. Lett. 2016, 15, 1167–1170. [Google Scholar] [CrossRef] [Green Version]
- Fan, W.; Kyosti, P.; Rumney, M.; Chen, X.; Pedersen, G.F. Over-the-Air Radiated Testing of Millimeter-Wave Beam-Steerable Devices in a Cost-Effective Measurement Setup. IEEE Commun. Mag. 2018, 56, 64–71. [Google Scholar] [CrossRef] [Green Version]
- 3GPP TS 38.521-2. User Equipment (UE) Conformance Specification; Radio Transmission and Reception; Part 2: Range 2 Standalone. Technical Specification Release 16, V16.5.0. September. 2020; Available online: https://www.3gpp.org/ftp/Specs/archive/38_series/38.521-2/ (accessed on 24 March 2022).
- 3GPP TS 38.533, NR; User Equipment (UE) Conformance Specification; Radio Resource Management (RRM). Technical Specification Release 16, V16.5.0. September 2020. Available online: https://www.3gpp.org/ftp/Specs/archive/38_series/38.533/ (accessed on 24 March 2022).
- 3GPP TS 38.827. Study on Radiated Metrics and Test Methodology for the Verification of Multi-Antenna Reception Performance of NR User Equipment (UE). Technical Specification Release 16, V16.0.0. June 2020. Available online: https://www.3gpp.org/ftp/Specs/archive/38_series/38.827/ (accessed on 24 March 2022).
- Selvan, K.T.; Janaswamy, R. Fraunhofer and Fresnel Distances: Unified derivation for aperture antennas. IEEE Antennas Propag. Mag. 2017, 59, 12–15. [Google Scholar] [CrossRef]
- Li, G.; Chen, H.; Chen, J. SG128 multi-probe spherical near-field antenna test range and novel antenna measurements. In Proceedings of the 7th International Conference on Communications and Networking, Kunming, China, 8–10 August 2012; pp. 689–693. [Google Scholar] [CrossRef]
- Kordella, S.C.; Grimm, K.R. Determination of the far-field radiation pattern of an antenna from a set of sparse near-field measurements. In Proceedings of the Antenna Measurement Techniques Association Symposium, Austin, TX, USA, 30 October–3 November 2016; pp. 1–6. [Google Scholar] [CrossRef]
- Zhang, Y.; Wang, Z.; Sun, X.; Qiao, Z.; Fan, W.; Miao, J. Design and Implementation of a Wideband Dual-Polarized Plane Wave Generator With Tapered Feeding Nonuniform Array. IEEE Antennas Wirel. Propag. Lett. 2020, 19, 1988–1992. [Google Scholar] [CrossRef]
- Qiao, Z.; Wang, Z.; Fan, W.; Zhang, X.; Gao, S.; Miao, J. Low Scattering Plane Wave Generator Design Using a Novel Non-Coplanar Structure for Near-Field Over-the-Air Testing. IEEE Access 2020, 8, 211348–211357. [Google Scholar] [CrossRef]
- Swanstrom, J. A compact test range for demonstrating antenna and RCS measurement performance. In Proceedings of the IEE Colloquium on Antenna Measurements using the Compact Antenna Test Range, London, UK, 25 January 1991; pp. 2/1–2/6. [Google Scholar]
- Chen, X.; Liu, X.; Yu, J.; Yao, Y.; Yang, C.; Wang, H.; Liu, H.; Lu, Z.; Wylde, R. A tri-reflector compact antenna test range operating in the THz range. In Proceedings of the 2015 9th European Conference on Antennas and Propagation (EuCAP), Lisbon, Portugal, 13–17 April 2015; pp. 1–3. [Google Scholar]
- Zahra, H.; Abbas, S.M.; Shafique, M.F.; Esselle, K.P. A switchable FSS based on modified Jerusalem-cross unit cell with extended top loading. In Proceedings of the 2015 International Symposium on Antennas and Propagation (ISAP), Hobart, TAS, Australia, 9–12 November 2015; pp. 1–2. [Google Scholar]
- Zahra, H.; Rafique, S.; Shafique, M.F.; Esselle, K.P. A switchable frequency selective surface based on a modified Jerusalem-cross unit cell. In Proceedings of the 2015 9th European Conference on Antennas and Propagation (EuCAP), Lisbon, Portugal, 13–17 April 2015; pp. 1–2. [Google Scholar]
- Peng, Z.; Zhang, Y.; Sun, R.; Zhao, W.S.; Yue, H.; Wang, G. Design of a Novel Miniaturized Frequency Selective Surface Based on 2.5-Dimensional Jerusalem Cross for 5G Applications. Wirel. Commun. Mob. Comput. 2018, 2018, 1–6. [Google Scholar]
- Zahra, H.; Abbas, S.M.; Hashmi, R.M.; Esselle, K.P. Switchable Frequency Selective Surface Based on Composite Flexible Substrate for Modern Communication Systems. In Proceeding of the Union Radio-Scientifique Internationale, New Delhi, India, 9–15 March 2019; pp. 1–2. [Google Scholar]
- Zahra, H.; Abbas, S.M.; Hashmi, R.M.; Matekovits, L.; Esselle, K.P. Bending Analysis of Switchable Frequency Selective Surface Based on Flexible Composite Substrate. In Proceedings of the 2019 IEEE International Symposium on Antennas and Propagation and USNC-URSI Radio Science Meeting, Atlanta, GA, USA, 7–12 July 2019; pp. 2033–2034. [Google Scholar] [CrossRef]
- Melais, S.E.; Weller, T.M. A multilayer Jerusalem Cross Frequency Selective Surface. In Proceedings of the 2009 IEEE 10th Annual Wireless and Microwave Technology Conference, Clearwater, FL, USA, 20–21 April 2009; pp. 1–5. [Google Scholar] [CrossRef]
- Tang, J.; Chen, X.; Meng, X.; Wang, Z.; Ren, Y.; Pan, C.; Huang, X.; Li, M.; Kishk, A.A. Compact Antenna Test Range Using Very Small F/D Transmitarray Based on Amplitude Modification and Phase Modulation. IEEE Trans. Instrum. Meas. 2022, 71, 1–14. [Google Scholar] [CrossRef]










| a | b | c | d |
|---|---|---|---|
| 3.9 mm | 0.6–3.9 mm | 0.2–0.5 mm | 3.1 mm |
| L | W | D | L | H | H |
|---|---|---|---|---|---|
| 405 mm | 39 mm | 8 mm | 2.4 mm | 1.575 mm | 0.254 mm |
Publisher’s Note: MDPI stays neutral with regard to jurisdictional claims in published maps and institutional affiliations. |
© 2022 by the authors. Licensee MDPI, Basel, Switzerland. This article is an open access article distributed under the terms and conditions of the Creative Commons Attribution (CC BY) license (https://creativecommons.org/licenses/by/4.0/).
Share and Cite
Zhang, Y.; Wang, Z.; Ren, Y.; Pan, C.; Zhang, J.; Jia, L.; Zhu, X. A Novel Metasurface Lens Design for Synthesizing Plane Waves in Millimeter-Wave Bands. Electronics 2022, 11, 1403. https://doi.org/10.3390/electronics11091403
Zhang Y, Wang Z, Ren Y, Pan C, Zhang J, Jia L, Zhu X. A Novel Metasurface Lens Design for Synthesizing Plane Waves in Millimeter-Wave Bands. Electronics. 2022; 11(9):1403. https://doi.org/10.3390/electronics11091403
Chicago/Turabian StyleZhang, Yu, Zhiqin Wang, Yuxin Ren, Chong Pan, Jinling Zhang, Lifei Jia, and Xiongzhi Zhu. 2022. "A Novel Metasurface Lens Design for Synthesizing Plane Waves in Millimeter-Wave Bands" Electronics 11, no. 9: 1403. https://doi.org/10.3390/electronics11091403
APA StyleZhang, Y., Wang, Z., Ren, Y., Pan, C., Zhang, J., Jia, L., & Zhu, X. (2022). A Novel Metasurface Lens Design for Synthesizing Plane Waves in Millimeter-Wave Bands. Electronics, 11(9), 1403. https://doi.org/10.3390/electronics11091403

