Analysis of Defects and Electrical Characteristics of Variable-Temperature Proton-Irradiated 4H-SiC JBS Diodes
Abstract
1. Introduction
2. Experimental Details
3. Results and Discussion
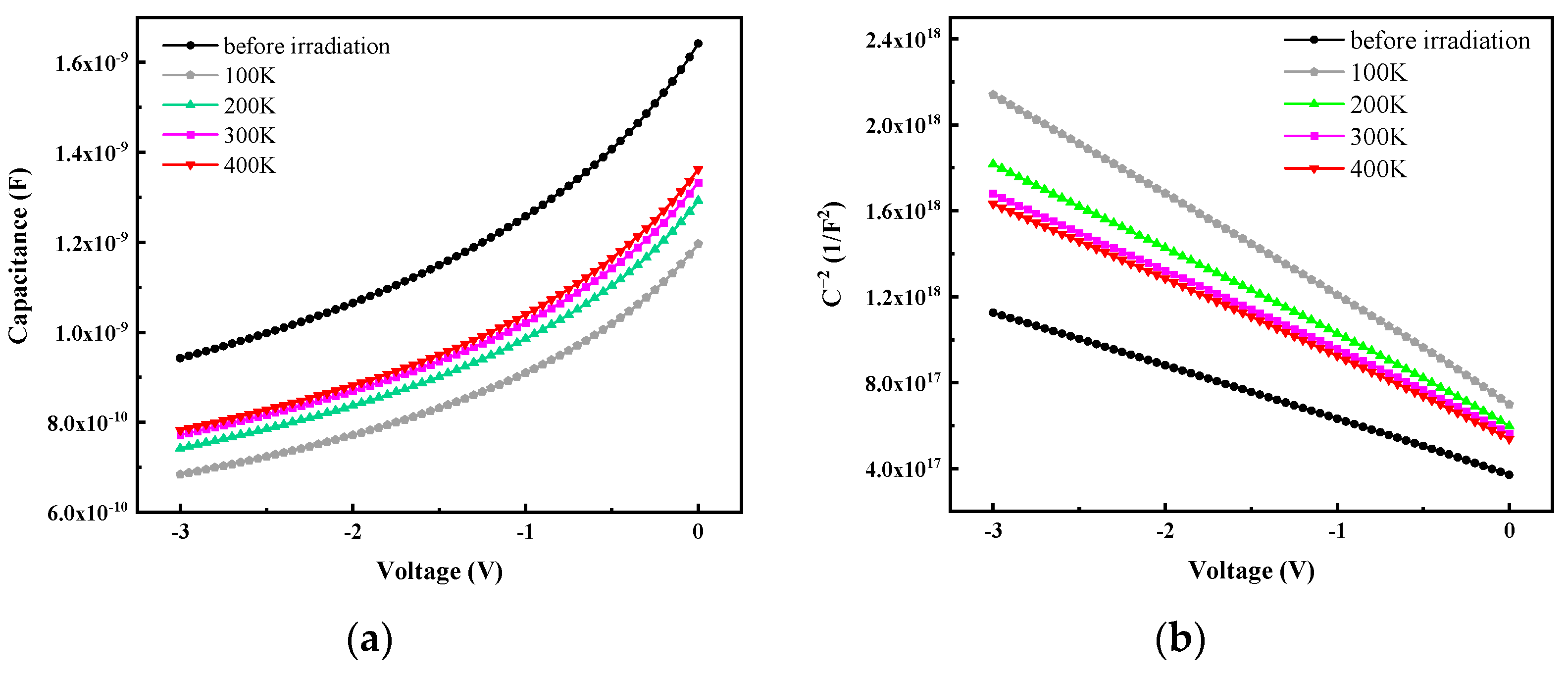
3.1. I–V and C–V Characteristics at Room Temperature
3.2. DLTS Analysis
| Irradiation Temperature | Defect Label | ET (eV) | σn (cm−3) | Identity | Reference |
|---|---|---|---|---|---|
| Before irradiation | E0.39 | EC − 0.39 | 9.91 × 10−14 | VSi | [35] |
| E0.68 | EC − 0.68 | 5.76 × 10−15 | Z1/2 | [38,44] | |
| 100 K | E0.39 | EC − 0.39 | 2.89 × 10−13 | VSi | [35] |
| E0.42 | EC − 0.42 | 3.30 × 10−15 | VSi | [36,37] | |
| E0.68 | EC − 0.68 | 1.04 × 10−14 | Z1/2 | [38,44] | |
| E0.72 | EC − 0.42 | 1.67 × 10−15 | Z1/2 | [39,40] | |
| 200 K | E0.39 | EC − 0.39 | 1.53 × 10−13 | VSi | [35] |
| E0.42 | EC − 0.42 | 4.72 × 10−15 | VSi | [36,37] | |
| E0.68 | EC − 0.68 | 9.89 × 10−15 | Z1/2 | [38,44] | |
| E0.72 | EC − 0.72 | 1.80 × 10−15 | Z1/2 | [39,40] | |
| 300 K | E0.39 | EC −0.39 | 1.02 × 10−13 | VSi | [35] |
| E0.42 | EC − 0.42 | 1.67 × 10−15 | VSi | [36,37] | |
| E0.68 | EC − 0.68 | 3.15 × 10−15 | Z1/2 | [38,44] | |
| 400 K | E0.39 | EC − 0.39 | 1.11 × 10−13 | VSi | [35] |
| E0.42 | EC − 0.42 | 2.51 × 10−15 | VSi | [36,37] | |
| E0.68 | EC − 0.68 | 4.90 × 10−15 | Z1/2 | [38,44] | |
| E0.72 | EC − 0.72 | 1.92 × 10−15 | Z1/2 | [39,40] |
3.3. Discussion
4. Conclusions
Author Contributions
Funding
Data Availability Statement
Conflicts of Interest
References
- Jordan, J.L.; Ponchak, G.E.; Spry, D.J.; Neudeck, P.G. A High Frequency (HF) Inductive Power Transfer Circuit for High Temperature Applications Using SiC Schottky Diodes. In Proceedings of the 2018 IEEE Topical Conference on Wireless Sensors and Sensor Networks (WiSNet), Anaheim, CA, USA, 14–17 January 2018; pp. 23–26. [Google Scholar]
- Qingkui, Y.; Ali, W.; Shuang, C.; He, W.; He, L.; Yi, S.; Rigen, M.; Qianyuan, W.; Bo, M.; Jiajia, S.; et al. Application of Total Ionizing Dose Radiation Test Standards to SiC MOSFETs. IEEE Trans. Nucl. Sci. 2021, 1–7. [Google Scholar] [CrossRef]
- Romijn, J.; Vollebregt, S.; Middelburg, L.M.; Mansouri, B.E.; van Zeijl, H.W.; May, A.; Erlbacher, T.; Zhang, G.; Sarro, P.M. Integrated Digital and Analog Circuit Blocks in a Scalable Silicon Carbide CMOS Technology. IEEE Trans. Electron Devices 2022, 69, 4–10. [Google Scholar] [CrossRef]
- Werner, M.R.; Fahrner, W.R. Review on Materials, Microsensors, Systems and Devices for High-Temperature and Harsh-Environment Applications. IEEE Trans. Ind. Electron. 2001, 48, 249–257. [Google Scholar] [CrossRef]
- Nava, F.; Bertuccio, G.; Cavallini, A.; Vittone, E. Silicon Carbide and Its Use as a Radiation Detector Material. Meas. Sci. Technol. 2008, 19, 102001. [Google Scholar] [CrossRef]
- Tang, Y.; Ge, L.; Gu, H.; Bai, Y.; Luo, Y.; Li, C.; Liu, X. Degradation in Electrothermal Characteristics of 4H-SiC Junction Barrier Schottky Diodes under High Temperature Power Cycling Stress. Microelectron. Reliab. 2019, 102, 113451. [Google Scholar] [CrossRef]
- Lu, J.; Liu, J.; Tian, X.; Chen, H.; Tang, Y.; Bai, Y.; Li, C.; Liu, X. Impact of Varied Buffer Layer Designs on Single-Event Response of 1.2-KV SiC Power MOSFETs. IEEE Trans. Electron Devices 2020, 67, 3698–3704. [Google Scholar] [CrossRef]
- Lauenstein, J.-M.; Casey, M.C.; Ladbury, R.L.; Kim, H.S.; Phan, A.M.; Topper, A.D. Space Radiation Effects on SiC Power Device Reliability. In Proceedings of the 2021 IEEE International Reliability Physics Symposium (IRPS), Monterey, CA, USA, 21–25 March 2021; pp. 1–8. [Google Scholar]
- Wang, S.; Hu, R.; Chen, G.; Luo, C.; Gong, M.; Li, Y.; Huang, M.; Ma, Y.; Yang, Z. Investigation of 4H-SiC Schottky Barrier Diodes Irradiated with 6 MeV Au Ions at Low Temperature. Nucl. Instrum. Methods Phys. Res. Sect. B Beam Interact. Mater. At. 2021, 494–495, 53–58. [Google Scholar] [CrossRef]
- Kumar, A.; Kumar, T.; Hähnel, A.; Kanjilal, D.; Singh, R. Dynamics of Modification of Ni/n-GaN Schottky Barrier Diodes Irradiated at Low Temperature by 200 MeV Ag14+ Ions. Appl. Phys. Lett. 2014, 104, 033507. [Google Scholar] [CrossRef]
- Lucas, J.W.; Garipay, R.R.; Hagemeyer, W.A.; Saari, J.M.; Smith, J.W.; Vitkus, G. Lunar Surface Temperatures and Thermal Characteristics: Surveyor 5 Science Results. J. Geophys. Res. 1968, 73, 7209–7219. [Google Scholar] [CrossRef]
- Kozlovski, V.V.; Lebedev, A.A.; Levinshtein, M.E.; Rumyantsev, S.L.; Palmour, J.W. Effect of High Energy Electron Irradiation on Low Frequency Noise in 4H-SiC Schottky Diodes. Appl. Phys. Lett. 2017, 110, 133501. [Google Scholar] [CrossRef]
- Iwamoto, N.; Johnson, B.C.; Hoshino, N.; Ito, M.; Tsuchida, H.; Kojima, K.; Ohshima, T. Defect-Induced Performance Degradation of 4H-SiC Schottky Barrier Diode Particle Detectors. J. Appl. Phys. 2013, 113, 143714. [Google Scholar] [CrossRef]
- Rafi, J.M.; Pellegrini, G.; Godignon, P.; Ugobono, S.O.; Rius, G.; Tsunoda, I.; Yoneoka, M.; Takakura, K.; Kramberger, G.; Moll, M. Electron, Neutron, and Proton Irradiation Effects on SiC Radiation Detectors. IEEE Trans. Nucl. Sci. 2020, 67, 2481–2489. [Google Scholar] [CrossRef]
- Kozlovski, V.V.; Lebedev, A.A.; Levinshtein, M.E.; Rumyantsev, S.L.; Palmour, J.W. Electrical and Noise Properties of Proton Irradiated 4H-SiC Schottky Diodes. J. Appl. Phys. 2018, 123, 024502. [Google Scholar] [CrossRef]
- Alexandru, M.; Florentin, M.; Constant, A.; Schmidt, B.; Michel, P.; Godignon, P. 5 MeV Proton and 15 MeV Electron Radiation Effects Study on 4H-SiC NMOSFET Electrical Parameters. IEEE Trans. Nucl. Sci. 2014, 61, 1732–1738. [Google Scholar] [CrossRef]
- Szalkai, D.; Ferone, R.; Issa, F.; Klix, A.; Lazar, M.; Lyoussi, A.; Ottaviani, L.; Tutto, P.; Vervisch, V. Fast Neutron Detection With 4H-SiC Based Diode Detector up to 500 °C Ambient Temperature. IEEE Trans. Nucl. Sci. 2016, 63, 1491–1498. [Google Scholar] [CrossRef]
- Martinella, C.; Alia, R.G.; Stark, R.; Coronetti, A.; Cazzaniga, C.; Kastriotou, M.; Kadi, Y.; Gaillard, R.; Grossner, U.; Javanainen, A. Impact of Terrestrial Neutrons on the Reliability of SiC VD-MOSFET Technologies. IEEE Trans. Nucl. Sci. 2021, 68, 634–641. [Google Scholar] [CrossRef]
- Omotoso, E.; Meyer, W.E.; Auret, F.D.; Paradzah, A.T.; Diale, M.; Coelho, S.M.M.; Janse van Rensburg, P.J.; Ngoepe, P.N.M. Effects of 5.4 MeV Alpha-Particle Irradiation on the Electrical Properties of Nickel Schottky Diodes on 4H–SiC. Nucl. Instrum. Methods Phys. Res. Sect. B Beam Interact. Mater. At. 2015, 365, 264–268. [Google Scholar] [CrossRef]
- Lebedev, A.A.; Kozlovski, V.V.; Levinshtein, M.E.; Ivanov, A.E.; Davydovskaya, K.S. Effect of High Temperature Irradiation with 15 MeV Protons on Characteristics of Power SiC Schottky Diodes. Solid-State Electron. 2021, 181–182, 108009. [Google Scholar] [CrossRef]
- Lebedev, A.A.; Kozlovski, V.V.; Levinshtein, M.E.; Ivanov, A.E.; Davydovskaya, K.S.; Yuferev, V.S.; Zubov, A.V. Impact of High Temperature Electron Irradiation on Characteristics of Power SiC Schottky Diodes. Radiat. Phys. Chem. 2021, 185, 109514. [Google Scholar] [CrossRef]
- Qiu, M.; Yin, P.; Luo, C.; Zheng, L.; Chu, Y.; Xu, M.; Wang, G. Development of an Ion Beam Induced Luminescence Set-up with a Temperature Controlled Target Stage and Its Application. Nucl. Instrum. Methods Phys. Res. Sect. B Beam Interact. Mater. At. 2019, 450, 69–72. [Google Scholar] [CrossRef]
- Tang, Y.D.; Liu, X.Y.; Bai, Y.; Dong, S.X.; Xu, S.D. Study of Temperature-Dependent Mechanisms and Characteristics of 4H-SiC Junction Barrier Schottky Rectifiers. MSF 2018, 924, 589–592. [Google Scholar] [CrossRef]
- Kozlovski, V.V.; Korol’kov, O.; Davidovskaya, K.S.; Lebedev, A.A.; Levinshtein, M.E.; Slepchuk, N.; Strel’chuk, A.M.; Toompuu, J. Influence of the Proton Irradiation Temperature on the Characteristics of High-Power High-Voltage Silicon Carbide Schottky Diodes. Tech. Phys. Lett. 2020, 46, 287–289. [Google Scholar] [CrossRef]
- Goldberg, Y.; Levinshtein, M.; Rumyantsev, S. Properties of Advanced Semiconductor Materials: GaN, AIN, InN, BN, SiC, SiGe. SciTech Book News 2001, 25, 93–146. [Google Scholar]
- Paradzah, A.T.; Auret, F.D.; Legodi, M.J.; Omotoso, E.; Diale, M. Electrical Characterization of 5.4 MeV Alpha-Particle Irradiated 4H-SiC with Low Doping Density. Nucl. Instrum. Methods Phys. Res. Sect. B Beam Interact. Mater. At. 2015, 358, 112–116. [Google Scholar] [CrossRef]
- Singh, R.; Arora, S.K.; Kanjilal, D. Swift Heavy Ion Irradiation Induced Modification of Electrical Characteristics of Au/n-Si Schottky Barrier Diode. Mater. Sci. Semicond. Processing 2001, 4, 425–432. [Google Scholar] [CrossRef]
- Li, J.-L.; Li, Y.; Wang, L.; Xu, Y.; Yan, F.; Han, P.; Ji, X.-L. Influence of Deep Defects on Electrical Properties of Ni/4H-SiC Schottky Diode. Chin. Phys. B 2019, 28, 027303. [Google Scholar] [CrossRef]
- Baliga, B.J. Fundamentals of Power Semiconductor Devices; Springer: Boston, MA, USA, 2008; ISBN 978-0-387-47313-0. [Google Scholar]
- Umezawa, H.; Saito, T.; Tokuda, N.; Ogura, M.; Ri, S.-G.; Yoshikawa, H.; Shikata, S. Leakage Current Analysis of Diamond Schottky Barrier Diode. Appl. Phys. Lett. 2007, 90, 073506. [Google Scholar] [CrossRef]
- Yang, Z.; Ma, Y.; Gong, M.; Li, Y.; Huang, M.; Gao, B.; Zhao, X. Recrystallization Effects of Swift Heavy 209 Bi Ions Irradiation on Electrical Degradation in 4H-SiC Schottky Barrier Diode. Nucl. Instrum. Methods Phys. Res. Sect. B Beam Interact. Mater. At. 2017, 401, 51–55. [Google Scholar] [CrossRef]
- Doolittle, W.A.; Rohatgi, A.; Ahrenkiel, R.; Levi, D.; Augustine, G.; Hopkins, R.H. Understanding The Role Of Defects In Limiting The Minority Carrier Lifetime In Sic. MRS Proc. 1997, 483, 197. [Google Scholar] [CrossRef]
- Luo, Z.; Chen, T.; Cressler, J.D.; Sheridan, D.C.; Williams, J.R.; Reed, R.A.; Marshall, P.W. Impact of Proton Irradiation on the Static and Dynamic Characteristics of High-Voltage 4H-SiC JBS Switching Diodes. IEEE Trans. Nucl. Sci. 2003, 50, 1821–1826. [Google Scholar] [CrossRef]
- Gong, M.; Fung, S.; Beling, C.D.; You, Z. Electron-Irradiation-Induced Deep Levels in n-Type 6H–SiC. J. Appl. Phys. 1999, 85, 7604–7608. [Google Scholar] [CrossRef]
- Omotoso, E.; Meyer, W.E.; Auret, F.D.; Diale, M.; Ngoepe, P.N.M. Response of Ni/4H-SiC Schottky Barrier Diodes to Alpha-Particle Irradiation at Different Fluences. Phys. B Condens. Matter 2016, 480, 196–200. [Google Scholar] [CrossRef][Green Version]
- Omotoso, E.; Paradzah, A.T.; Janse van Rensburg, P.J.; Legodi, M.J.; Auret, F.D.; Igumbor, E.; Danga, H.T.; Diale, M.; Meyer, W.E. Electrical Characterisation of Deep Level Defects Created by Bombarding the N-Type 4H-SiC with 1.8 MeV Protons. Surf. Coat. Technol. 2018, 355, 2–6. [Google Scholar] [CrossRef]
- Doyle, J.P.; Linnarsson, M.K.; Pellegrino, P.; Keskitalo, N.; Svensson, B.G.; Schöner, A.; Nordell, N.; Lindström, J.L. Electrically Active Point Defects in N-Type 4H–SiC. J. Appl. Phys. 1998, 84, 1354–1357. [Google Scholar] [CrossRef]
- Brodar, T.; Capan, I.; Radulović, V.; Snoj, L.; Pastuović, Ž.; Coutinho, J.; Ohshima, T. Laplace DLTS Study of Deep Defects Created in Neutron-Irradiated n-Type 4H-SiC. Nucl. Instrum. Methods Phys. Res. Sect. B Beam Interact. Mater. At. 2018, 437, 27–31. [Google Scholar] [CrossRef]
- Hemmingsson, C.G.; Son, N.T.; Ellison, A.; Zhang, J.; Janzén, E. Negative- U Centers in 4 H Silicon Carbide. Phys. Rev. B 1998, 58, R10119–R10122. [Google Scholar] [CrossRef]
- Son, N.T.; Trinh, X.T.; Løvlie, L.S.; Svensson, B.G.; Kawahara, K.; Suda, J.; Kimoto, T.; Umeda, T.; Isoya, J.; Makino, T.; et al. Negative- U System of Carbon Vacancy in 4H-SiC. Phys. Rev. Lett. 2012, 109, 187603. [Google Scholar] [CrossRef]
- Li, H.; Liu, C.; Zhang, Y.; Qi, C.; Wei, Y.; Zhou, J.; Wang, T.; Ma, G.; Wang, Z.; Dong, S.; et al. Irradiation Effect of Primary Knock-on Atoms on Conductivity Compensation in N-Type 4H-SiC Schottky Diode under Various Irradiations. Semicond. Sci. Technol. 2019, 34, 095010. [Google Scholar] [CrossRef]
- Gong, M.; Fung, S.; Beling, C.D.; Brauer, G.; Wirth, H.; Skorupa, W. Gallium Implantation Induced Deep Levels in N-Type 6H–SIC. J. Appl. Phys. 1999, 85, 105–107. [Google Scholar] [CrossRef][Green Version]
- Ayedh, H.M.; Hallén, A.; Svensson, B.G. Elimination of Carbon Vacancies in 4H-SiC Epi-Layers by near-Surface Ion Implantation: Influence of the Ion Species. J. Appl. Phys. 2015, 118, 175701. [Google Scholar] [CrossRef]
- Omotoso, E.; Meyer, W.E.; Auret, F.D.; Paradzah, A.T.; Legodi, M.J. Electrical Characterization of Deep Levels Created by Bombarding Nitrogen-Doped 4H-SiC with Alpha-Particle Irradiation. Nucl. Instrum. Methods Phys. Res. Sect. B Beam Interact. Mater. At. 2016, 371, 312–316. [Google Scholar] [CrossRef]
- Gao, F.; Weber, W.J. Recovery of Close Frenkel Pairs Produced by Low Energy Recoils in SiC. J. Appl. Phys. 2003, 94, 4348–4356. [Google Scholar] [CrossRef]
- Patterson, J.D.; Bailey, B.C. Solid-State Physics: Introduction to the Theory; Springer International Publishing: Cham, Switzerland, 2018; ISBN 978-3-319-75321-8. [Google Scholar]
- Zhang, Y.; Weber, W.J.; Jiang, W.; Hallén, A.; Possnert, G. Damage Evolution and Recovery on Both Si and C Sublattices in Al-Implanted 4H–SiC Studied by Rutherford Backscattering Spectroscopy and Nuclear Reaction Analysis. J. Appl. Phys. 2002, 91, 6388–6395. [Google Scholar] [CrossRef]










Publisher’s Note: MDPI stays neutral with regard to jurisdictional claims in published maps and institutional affiliations. |
© 2022 by the authors. Licensee MDPI, Basel, Switzerland. This article is an open access article distributed under the terms and conditions of the Creative Commons Attribution (CC BY) license (https://creativecommons.org/licenses/by/4.0/).
Share and Cite
Zhao, L.; Tang, Y.; Bai, Y.; Qiu, M.; Wu, Z.; Yang, Y.; Yang, C.; Tian, X.; Liu, X. Analysis of Defects and Electrical Characteristics of Variable-Temperature Proton-Irradiated 4H-SiC JBS Diodes. Electronics 2022, 11, 1341. https://doi.org/10.3390/electronics11091341
Zhao L, Tang Y, Bai Y, Qiu M, Wu Z, Yang Y, Yang C, Tian X, Liu X. Analysis of Defects and Electrical Characteristics of Variable-Temperature Proton-Irradiated 4H-SiC JBS Diodes. Electronics. 2022; 11(9):1341. https://doi.org/10.3390/electronics11091341
Chicago/Turabian StyleZhao, Liansheng, Yidan Tang, Yun Bai, Menglin Qiu, Zhikang Wu, Yu Yang, Chengyue Yang, Xiaoli Tian, and Xinyu Liu. 2022. "Analysis of Defects and Electrical Characteristics of Variable-Temperature Proton-Irradiated 4H-SiC JBS Diodes" Electronics 11, no. 9: 1341. https://doi.org/10.3390/electronics11091341
APA StyleZhao, L., Tang, Y., Bai, Y., Qiu, M., Wu, Z., Yang, Y., Yang, C., Tian, X., & Liu, X. (2022). Analysis of Defects and Electrical Characteristics of Variable-Temperature Proton-Irradiated 4H-SiC JBS Diodes. Electronics, 11(9), 1341. https://doi.org/10.3390/electronics11091341

