Quad-Band Circular Polarized Antenna for GNSS, 5G and WIFI-6E Applications
Abstract
:1. Introduction
2. Structure and Analysis
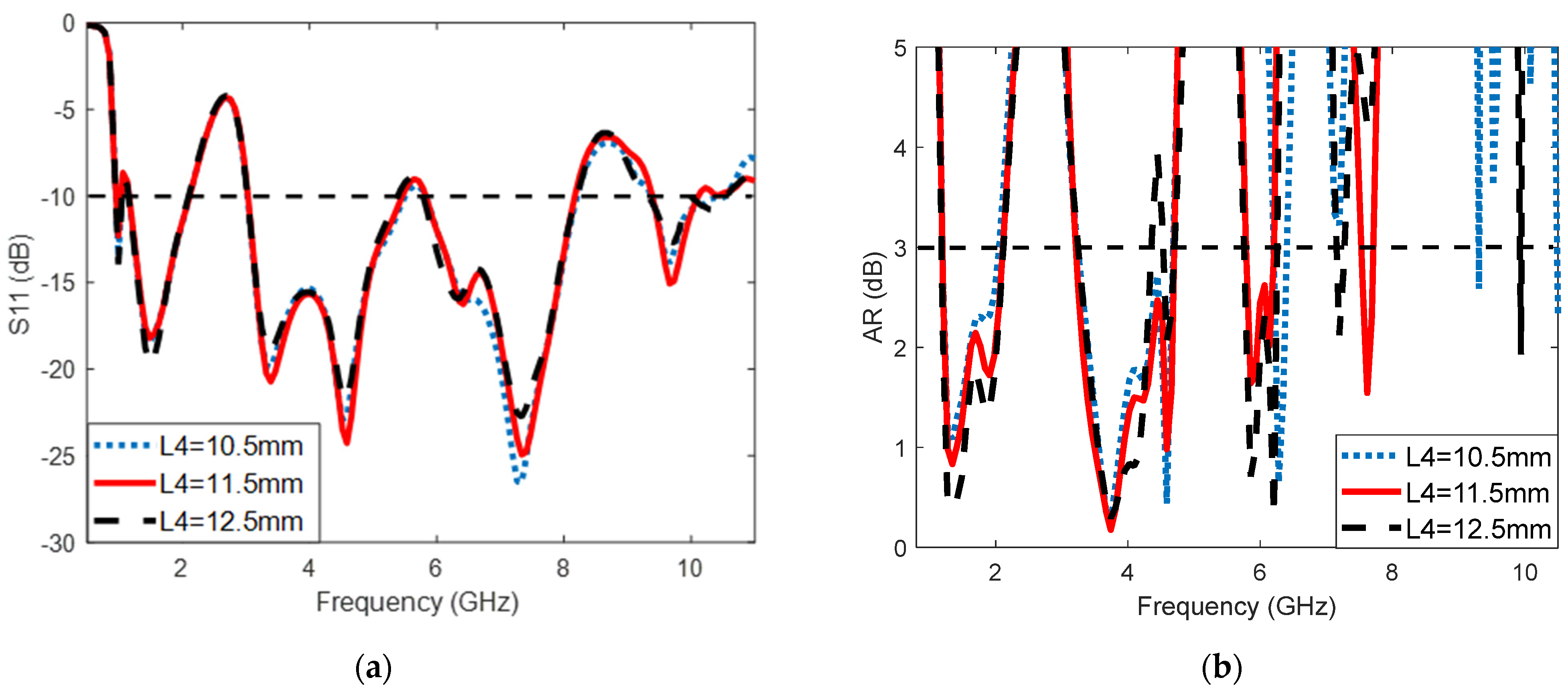
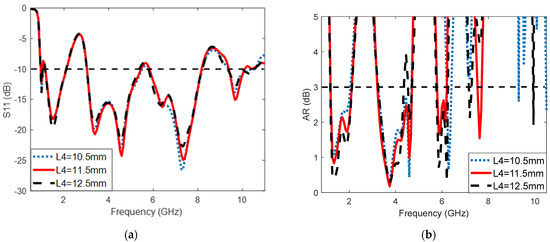
3. Parametric Study
4. Currents Distribution
5. Measurement and Discussion
6. Conclusions
Author Contributions
Funding
Conflicts of Interest
References
- Dahri, M.H.; Jamaluddin, M.H.; Khalily, M.; Abbasi, M.I.; Selvaraju, R.; Kamarudin, M.R. Polarization Diversity and Adaptive Beamsteering for 5G Reflectarrays: A Review. IEEE Access 2018, 6, 19451–19464. [Google Scholar] [CrossRef]
- Tubbal, F.E.; Raad, R.; Chin, K.-W. A Survey and Study of Planar Antennas for Pico-Satellites. IEEE Access 2015, 3, 2590–2612. [Google Scholar] [CrossRef] [Green Version]
- Chen, X.; Morton, Y.J.; Yu, W.; Truong, T.-K. GPS L1CA/BDS B1I Multipath Channel Measurements and Modeling for Dynamic Land Vehicle in Shanghai Dense Urban Area. IEEE Trans. Veh. Technol. 2020, 69, 14247–14263. [Google Scholar] [CrossRef]
- Zhong, Z.-P.; Zhang, X.; Liang, J.-J.; Han, C.-Z.; Fan, M.-L.; Huang, G.-L.; Xu, W.; Yuan, T. A Compact Dual-Band Circularly Polarized Antenna With Wide Axial-Ratio Beamwidth for Vehicle GPS Satellite Navigation Application. IEEE Trans. Veh. Technol. 2019, 68, 8683–8692. [Google Scholar] [CrossRef]
- Feng, G.; Chen, L.; Xue, X.; Shi, X. Broadband Circularly Polarized Crossed-Dipole Antenna With a Single Asymmetrical Cross-Loop. IEEE Antennas Wirel. Propag. Lett. 2017, 16, 3184–3187. [Google Scholar] [CrossRef]
- Liang, C.-F.; Lyu, Y.-P.; Chen, D.; Cheng, C.-H. Wideband Circularly Polarized Stacked Patch Antenna Based on TM11 and TM10. IEEE Trans. Antennas Propag. 2021. [Google Scholar] [CrossRef]
- Ding, K.; Gao, C.; Yu, T.; Qu, D. Broadband C-Shaped Circularly Polarized Monopole Antenna. IEEE Trans. Antennas Propag. 2015, 63, 785–790. [Google Scholar] [CrossRef]
- Cai, Y.-M.; Li, K.; Yin, Y.-Z.; Ren, X. Dual-Band Circularly Polarized Antenna Combining Slot and Microstrip Modes for GPS With HIS Ground Plane. IEEE Antennas Wirel. Propag. Lett. 2015, 14, 1129–1132. [Google Scholar] [CrossRef]
- Le, T.T.; Tran, H.H.; Park, H.C. Simple-Structured Dual-Slot Broadband Circularly Polarized Antenna. IEEE Antennas Wirel. Propag. Lett. 2018, 17, 476–479. [Google Scholar] [CrossRef]
- Xu, R.; Li, J.-Y.; Yang, J.-J.; Wei, K.; Qi, Y.-X. A Design of U-Shaped Slot Antenna With Broadband Dual Circularly Polarized Radiation. IEEE Trans. Antennas Propag. 2017, 65, 3217–3220. [Google Scholar] [CrossRef]
- Ellis, M.S.; Zhao, Z.; Wu, J.; Ding, X.; Nie, Z.; Liu, Q.-H. A Novel Simple and Compact Microstrip-Fed Circularly Polarized Wide Slot Antenna With Wide Axial Ratio Bandwidth for C-Band Applications. IEEE Trans. Antennas Propag. 2016, 64, 1552–1555. [Google Scholar] [CrossRef]
- Rusdiyanto, D.; Zulkifli, F.Y. Dual Band Circularly Polarized Microstrip Antenna Fed By Inverted-L Shaped With A Stub for GPS And WLAN Application. In Proceedings of the 2019 11th International Conference on Information Technology and Electrical Engineering, Pattaya, Thailand, 10–11 October 2019; IEEE: Pattaya, Thailand, 2019; pp. 1–4. [Google Scholar]
- Sharma, S.B.; Ugle, A.; Parikh, K. A Novel U-Slot Aperture Coupled Annular-Ring Microstrip Patch Antenna for Multiband GNSS Applications. In Proceedings of the 2020 14th European Conference on Antennas and Propagation, Copenhagen, Denmark, 15–20 March 2020; IEEE: Copenhagen, Denmark, 2020; pp. 1–3. [Google Scholar]
- Cao, Y.; Cheung, S.W.; Yuk, T.I. A Simple Planar Polarization Reconfigurable Monopole Antenna for GNSS/PCS. IEEE Trans. Antennas Propag. 2015, 63, 500–507. [Google Scholar] [CrossRef]
- Yuan, J.; Zheng, J.; Chen, Z.D. A Compact Meandered Ring Antenna Loaded With Parasitic Patches and a Slotted Ground for Global Navigation Satellite Systems. IEEE Trans. Antennas Propag. 2018, 66, 6835–6843. [Google Scholar] [CrossRef]
- Chen, X.; Fu, G.; Gong, S.-X.; Yan, Y.-L.; Zhao, W. Circularly Polarized Stacked Annular-Ring Microstrip Antenna With Integrated Feeding Network for UHF RFID Readers. IEEE Antennas Wirel. Propag. Lett. 2010, 9, 542–545. [Google Scholar] [CrossRef]
- Sun, X.; Zhang, Z.; Feng, Z. Dual-Band Circularly Polarized Stacked Annular-Ring Patch Antenna for GPS Application. IEEE Antennas Wirel. Propag. Lett. 2011, 10, 49–52. [Google Scholar] [CrossRef]
- Yang, H.; Fan, Y.; Liu, X. A Compact Dual-Band Stacked Patch Antenna With Dual Circular Polarizations for BeiDou Navigation Satellite Systems. IEEE Antennas Wirel. Propag. Lett. 2019, 18, 1472–1476. [Google Scholar] [CrossRef]
- Squadrito, P.; Livreri, P.; Di Donato, L.; Squadrito, C.; Sorbello, G. A Telemetry, Tracking, and Command Antennas System for Small-Satellite Applications. Electronics 2019, 8, 689. [Google Scholar] [CrossRef] [Green Version]
- Seo, D.C.; Sung, Y. Stacked Open-Loop Square Ring Antenna for Circular Polarization Operation. IEEE Antennas Wirel. Propag. Lett. 2015, 14, 835–838. [Google Scholar] [CrossRef]
- Yuan, J.; Chen, Z.; Chen, Z.; Li, Y. A Compact Dual-Band Microstrip Ring Antenna Using Multiring Ground for GPS L 1/ L 2-Band. IEEE Antennas Wirel. Propag. Lett. 2021, 20, 2250–2254. [Google Scholar] [CrossRef]
- Xu, Y.; Zhu, L.; Liu, N.-W. Design Approach for A Dual-Band Circularly Polarized Slot Antenna with Flexible Frequency Ratio and Similar In-Band Gain. IEEE Antennas Wirel. Propag. Lett. 2022. [Google Scholar] [CrossRef]
- Lee, S.; Yang, Y.; Lee, K.-Y.; Hwang, K.C. Dual-Band Circularly Polarized Annular Slot Antenna With a Lumped Inductor for GPS Application. IEEE Trans. Antennas Propag. 2020, 68, 8197–8202. [Google Scholar] [CrossRef]
- Sharma, A.; Das, G.; Gupta, S.; Gangwar, R.K. Quad-Band Quad-Sense Circularly Polarized Dielectric Resonator Antenna for GPS/CNSS/WLAN/WiMAX Applications. IEEE Antennas Wirel. Propag. Lett. 2020, 19, 403–407. [Google Scholar] [CrossRef]
- Ameen, M.; Thummaluru, S.R.; Chaudhary, R.K. A Compact Multilayer Triple-Band Circularly Polarized Antenna Using Anisotropic Polarization Converter. IEEE Antennas Wirel. Propag. Lett. 2021, 20, 145–149. [Google Scholar] [CrossRef]
- Yadav, A.; Singh, V.K.; Yadav, P.; Beliya, A.K.; Bhoi, A.K.; Barsocchi, P. Design of Circularly Polarized Triple-Band Wearable Textile Antenna with Safe Low SAR for Human Health. Electronics 2020, 9, 1366. [Google Scholar] [CrossRef]
- Li, J.; Shi, H.; Li, H.; Zhang, A. Quad-Band Probe-Fed Stacked Annular Patch Antenna for GNSS Applications. IEEE Antennas Wirel. Propag. Lett. 2014, 13, 372–375. [Google Scholar] [CrossRef]
- Li, B.; Yang, C.; Yang, Z.; Shi, J.; Li, J.; Zhang, A. Circularly Polarized Array with Enhanced Isolation Using Magnetic Metamaterials. Electronics 2019, 8, 1356. [Google Scholar] [CrossRef] [Green Version]
- Lai, H.W.; Wong, H. Substrate Integrated Magneto-Electric Dipole Antenna for 5G Wi-Fi. IEEE Trans. Antennas Propag. 2015, 63, 870–874. [Google Scholar] [CrossRef]
- Syrytsin, I.; Zhang, S.; Pedersen, G.F.; Morris, A.S. User-Shadowing Suppression for 5G Mm-Wave Mobile Terminal Antennas. IEEE Trans. Antennas Propag. 2019, 67, 4162–4172. [Google Scholar] [CrossRef] [Green Version]
- Xu, R.; Li, J.-Y.; Qi, Y.-X.; Yang, G.-W.; Yang, J.-J. A Design of Triple-Wideband Triple-Sense Circularly Polarized Square Slot Antenna. IEEE Antennas Wirel. Propag. Lett. 2017, 16, 1763–1766. [Google Scholar] [CrossRef]














| Parameter | Value/mm | Parameter | Value/mm |
|---|---|---|---|
| G | 80 | Lf | 11 |
| B | 60 | W1 | 9.5 |
| H | 1.6 | W2 | 11.5 |
| L1 | 36.5 | Wf | 3 |
| L2 | 8 | S | 18 |
| L3 | 20 | S1 | 30 |
| L4 | 11.5 | K1 | 8 |
| L5 | 5 | K2 | 15.5 |
| References | Size (mm3) | Number of Bands | S11 < 10 dB | AR < 3 dB | Applications |
|---|---|---|---|---|---|
| [8] | 150 × 150 × 18 | 2 | 12.7%, 10.1% | 3.3%,3.1% | GPS |
| [9] | 101 × 64 × 1.52 | 1 | 86.9% | 74.3% | 5G, WIFI-6E |
| [15] | 50 × 50 × 5 | 1 | 3.2% | 1.8% | GPS, GLONASS |
| [19] | 47.7 × 47.7 × 5.8 | 1 | 19.7% | 13.9% | Telemetry tracking and command system |
| [22] | 93.6 × 96 × 1 | 2 | 14.75%,9.44% | around 2.84GHz,5.24GHz | WLAN |
| [23] | 130 × 130 × 31.52 | 2 | 40.57% | 6.56%, 7.74% | GPS |
| [24] | 120 × 120 × 29.6 | 4 | 21.1%, 12.8%, 27.1%, 7.5% | 11.6%, 7.6%, 7.0%, 7.1% | GPS, BDS, WLAN, Wi-MAX |
| [25] | 35 × 35 × 13.8 | 3 | 13.0%, 18.2%, 14.7% | 3.53%, 1.73%, 13.62% | Satellite application |
| [26] | 25 × 25 × 1 | 3 | 23.4%,56.5%, 31.14% | 10.1%, 4.95%, 10.44% | WLAN/C band X/Ku band |
| [31] | 60 × 60 × 1.0 | 3 | 44.0%, 70.9% | 35.9%, 44%, 6.3% | WLAN, 5G |
| This work | 80 × 80 × 1.6 | 4 | 75.8%, 55.8%, 39.9%, 10.3% | 59.4%, 35.8%, 8.4%, 2.6% | GNSS, 5G, WIFI-6E |
Publisher’s Note: MDPI stays neutral with regard to jurisdictional claims in published maps and institutional affiliations. |
© 2022 by the authors. Licensee MDPI, Basel, Switzerland. This article is an open access article distributed under the terms and conditions of the Creative Commons Attribution (CC BY) license (https://creativecommons.org/licenses/by/4.0/).
Share and Cite
Liu, X.; Wang, H.; Yang, X.; Wang, J. Quad-Band Circular Polarized Antenna for GNSS, 5G and WIFI-6E Applications. Electronics 2022, 11, 1133. https://doi.org/10.3390/electronics11071133
Liu X, Wang H, Yang X, Wang J. Quad-Band Circular Polarized Antenna for GNSS, 5G and WIFI-6E Applications. Electronics. 2022; 11(7):1133. https://doi.org/10.3390/electronics11071133
Chicago/Turabian StyleLiu, Xiaoming, Haiyang Wang, Xiaofan Yang, and Jinhong Wang. 2022. "Quad-Band Circular Polarized Antenna for GNSS, 5G and WIFI-6E Applications" Electronics 11, no. 7: 1133. https://doi.org/10.3390/electronics11071133
APA StyleLiu, X., Wang, H., Yang, X., & Wang, J. (2022). Quad-Band Circular Polarized Antenna for GNSS, 5G and WIFI-6E Applications. Electronics, 11(7), 1133. https://doi.org/10.3390/electronics11071133

