Intelligent Reflecting Surface Aided Wireless Systems with Imperfect Hardware
Abstract
:1. Introduction
1.1. Related Studies
1.2. Motivations and Contributions
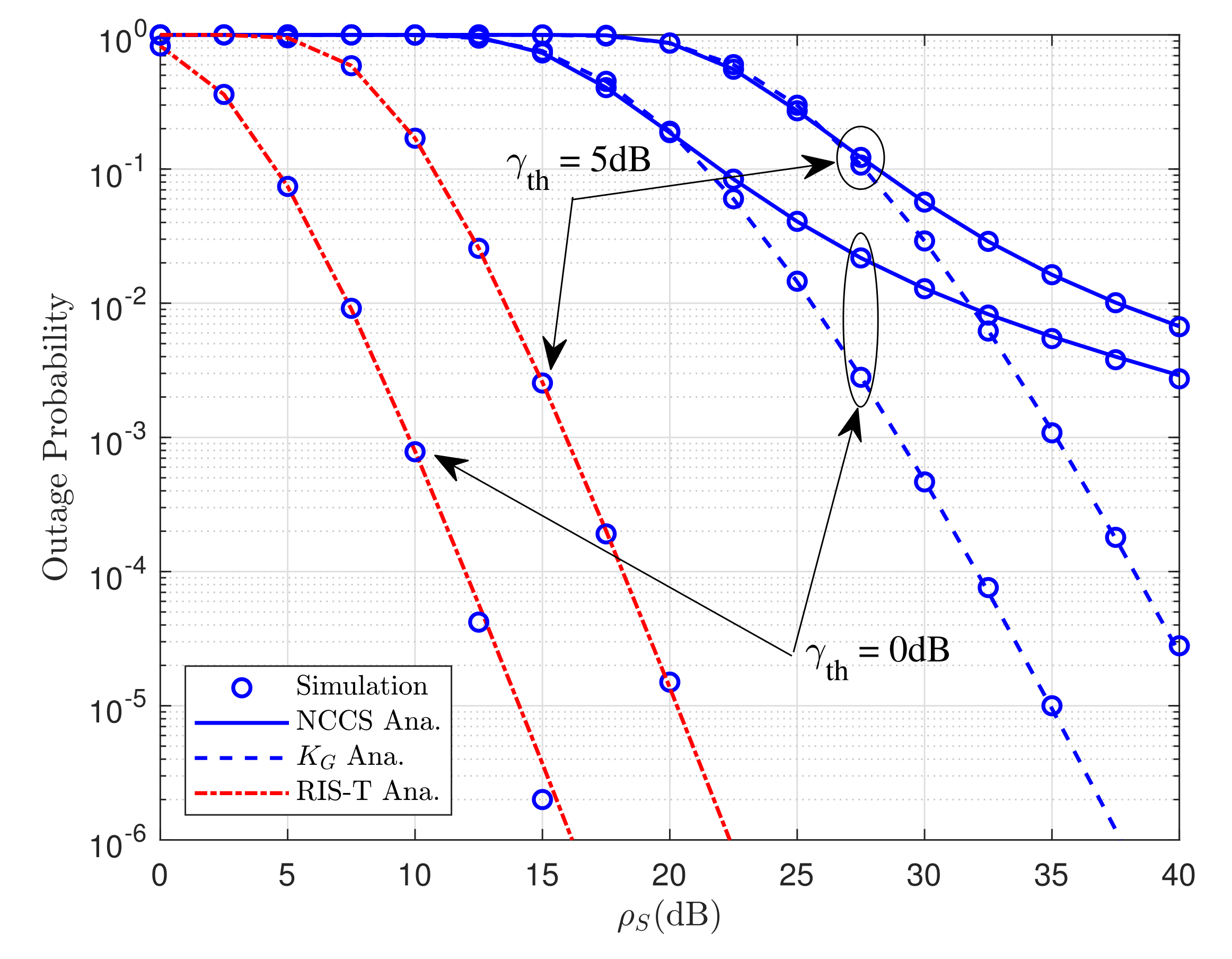
- As first study, we emphasize on performance analysis of the representative destination user by considering a detrimental factor of in-phase and quadrature-phase imbalance (IQI). We deploy the non-central chi-square (NCCS) distribution to approximate the channel distribution of the RIS-aided wireless system. To further exhibit system performance, we also adopt a squared distribution.
- To confirm the strong contribution of RIS in improving performance of distant users, we compare two possible scenarios related to the different roles of RIS in future wireless communication networks: firstly, when RIS acts as a relay in dual-hop communication (RIS-DH); and secondly, when RIS plays the role of a transmitter (RIS-T).
- Then, we focus on outage probability and average capacity for the two above-mentioned practical situations. To further provide insights into such RIS-aided systems, we derive asymptotic calculations of outage probability for both RIS-DH and RIS-T schemes.
- The main results demonstrate that, under the impact of IQI and RIS hardware impairment, the proposed dual and single hops RIS-aided scheme achieves significant improvement in terms of outage probability at high SNR and high meta-surface number N. Additionally, simulation results show that the impact of IQI on the proposed system is limited. Thus, our work provides useful guidelines for future application of RIS systems under the impact of IQI.
2. System Model
2.1. RIS-DH Scheme
2.2. RIS-T Scheme
3. Performance Analysis
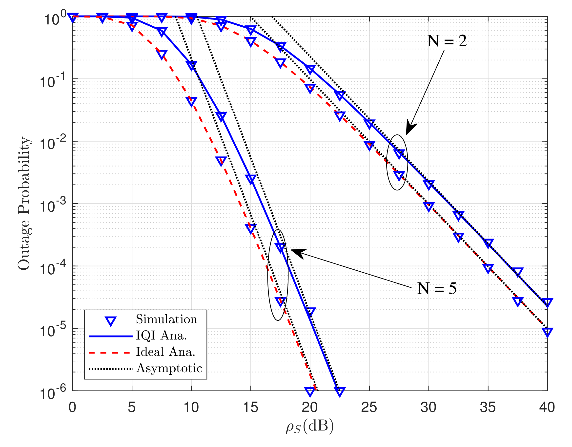
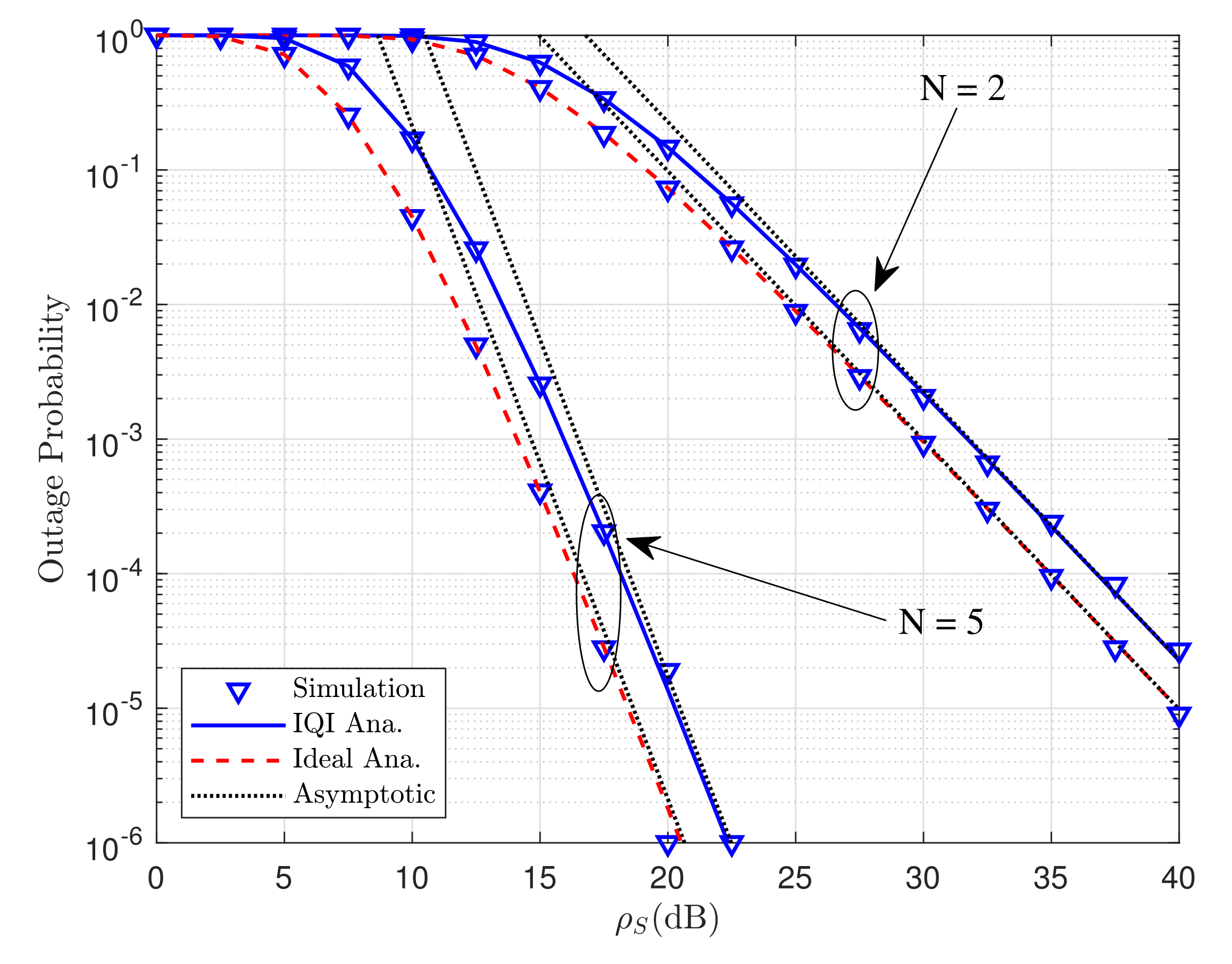
3.1. Outage Probability for RIS-DH Scheme
3.1.1. NCCS Distribution
3.1.2. Distribution
3.2. Asymptotic Analysis for RIS-DH Scheme
3.2.1. NCCS Distribution
3.2.2. Distribution
3.3. Outage Probability for RIS-T Scheme
3.4. Asymptotic Analysis for RIS-T Scheme
4. Ergordic Capacity Analysis
4.1. RIS-DH Case
4.1.1. NCCS Distribution
4.1.2. Distribution
4.2. RIS-T Case
5. Numerical Results and Discussions
6. Conclusions
Author Contributions
Funding
Acknowledgments
Conflicts of Interest
References
- Liu, Y.; Liu, E.; Wang, R.; Geng, Y. Channel Estimation and Power Scaling of Reconfigurable Intelligent Surface with Non-Ideal Hardware. In Proceedings of the 2021 IEEE Wireless Communications and Networking Conference (WCNC), Nanjing, China, 29 March–1 April 2021. [Google Scholar]
- Hemanth, A.; Umamaheswari, K.; Pogaku, A.C.; Do, D.-T.; Lee, B.M. Outage Performance Analysis of Reconfigurable Intelligent Surfaces-Aided NOMA under Presence of Hardware Impairment. IEEE Access 2020, 8, 212156–212165. [Google Scholar] [CrossRef]
- Gong, S.; Lu, X.; Hoang, D.T.; Niyato, D.; Shu, L.; Kim, D.I.; Liang, Y.C. Towards smart radio environment for wireless communications via intelligent reflecting surfaces: A comprehensive survey. IEEE Commun. Surv. Tutor. 2020, 22, 2283–2314. [Google Scholar] [CrossRef]
- Nguyen, M.-S.V.; Do, D.; Al-Rubaye, S.; Mumtaz, S.; Al-Dulaimi, A.; Dobre, O. Exploiting Impacts of Antenna Selection and Energy Harvesting for Massive Network Connectivity. IEEE Trans. Commun. 2021, 69, 7587–7602. [Google Scholar] [CrossRef]
- Do, D.; Le, A.; Liu, Y.; Jamalipour, A. User Grouping and Energy Harvesting in UAV-NOMA System with AF/DF Relaying. IEEE Trans. Veh. Technol. 2021, 70, 11855–11868. [Google Scholar] [CrossRef]
- Wu, Q.; Zhang, R. Towards smart and reconfigurable environment: Intelligent reflecting surface aided wireless network. IEEE Commun. Mag. 2020, 58, 106–112. [Google Scholar] [CrossRef] [Green Version]
- Yan, W.; Yuan, X.; He, Z.-Q.; Kuai, X. Passive beamforming and information transfer design for reconfigurable intelligent surfaces aided multiuser MIMO systems. IEEE J. Sel. Areas Commun. 2020, 38, 1793–1808. [Google Scholar] [CrossRef]
- Yang, G.; Liang, Y.; Zhang, R.; Pei, Y. Modulation in the air: Backscatter communication over ambient OFDM carrier. IEEE Trans. Commun. 2018, 66, 1219–1233. [Google Scholar] [CrossRef] [Green Version]
- Guo, S.; Lv, S.; Zhang, H.; Ye, J.; Zhang, P. Reflecting modulation. IEEE J. Sel. Areas Commun. 2020, 38, 2548–2561. [Google Scholar] [CrossRef]
- Pan, C.; Ren, H.; Wang, K.; Xu, W.; Elkashlan, M.; Nallanathan, A.; Hanzo, L. Multicell MIMO communications relying on intelligent reflecting surfaces. IEEE Trans. Wirel. Commun. 2020, 19, 5218–5233. [Google Scholar] [CrossRef]
- Xie, H.; Xu, J.; Liu, Y. Max-Min Fairness in IRS-Aided Multi-Cell MISO Systems via Joint Transmit and Reflective Beamforming. In Proceedings of the ICC 2020—2020 IEEE International Conference on Communications (ICC), Dublin, Ireland, 7–11 June 2020; pp. 1–6. [Google Scholar]
- Hu, S.; Wei, Z.; Cai, Y.; Ng, D.W.K.; Yuan, J. Sum-Rate Maximization for Multiuser MISO Downlink Systems with Self-Sustainable IRS. arXiv 2020, arXiv:2005.11663. [Google Scholar]
- Hua, M.; Wu, Q.; Ng, D.W.K.; Zhao, J.; Yang, L. Intelligent reflecting surface-aided joint processing coordinated multi-point transmission. arXiv 2020, arXiv:2003.13909. [Google Scholar]
- Wu, Q.; Zhang, R. Joint active and passive beamforming optimization for intelligent reflecting surface assisted SWIPT under QoS constraints. IEEE J. Sel. Areas Commun. 2020, 38, 1735–1748. [Google Scholar] [CrossRef]
- Wu, Q.; Zhang, R. Weighted sum power maximization for intelligent reflecting surface aided SWIPT. IEEE Wirel. Commun. Lett. 2020, 9, 586–590. [Google Scholar] [CrossRef] [Green Version]
- Hua, M.; Yang, L.; Wu, Q.; Pan, C.; Li, C.; Swindlehurst, A.L. UAV-Assisted Intelligent Reflecting Surface Symbiotic Radio System. IEEE Trans. Wirel. Commun. 2021, 20, 5769–5785. [Google Scholar] [CrossRef]
- Le, A.-T.; Ha, N.-D.X.; Do, D.; Silva, A.; Yadav, S. Enabling User Grouping and Fixed Power Allocation Scheme for Reconfigurable Intelligent Surfaces-Aided Wireless Systems. IEEE Access 2021, 9, 92263–92275. [Google Scholar] [CrossRef]
- Le, C.-B.; Do, D.-T.; Li, X.; Huang, Y.-F.; Chen, H.-C.; Voznak, M. Enabling NOMA in Backscatter Reconfigurable Intelligent Surfaces-Aided Systems. IEEE Access 2021, 9, 33782–33795. [Google Scholar] [CrossRef]
- Guan, X.; Wu, Q.; Zhang, R. Intelligent reflecting surface assisted secrecy communication: Is artificial noise helpful or not? IEEE Wirel. Commun. Lett. 2020, 9, 778–782. [Google Scholar] [CrossRef] [Green Version]
- Shen, H.; Xu, W.; Gong, S.; He, Z.; Zhao, C. Secrecy rate maximization for intelligent reflecting surface assisted multi-antenna communications. IEEE Commun. Lett. 2019, 23, 1488–1492. [Google Scholar] [CrossRef] [Green Version]
- Guan, X.; Wu, Q.; Zhang, R. Joint power control and passive beamforming in IRS-assisted spectrum sharing. IEEE Commun. Lett. 2020, 24, 1153–1157. [Google Scholar] [CrossRef] [Green Version]
- Bai, T.; Pan, C.; Deng, Y.; Elkashlan, M.; Nallanathan, A.; Hanzo, L. Latency minimization for intelligent reflecting surface aided mobile edge computing. IEEE J. Sel. Areas Commun. 2020, 38, 2666–2682. [Google Scholar] [CrossRef]
- Nadeem, Q.-U.-A.; Kammoun, A.; Chaaban, A.; Debbah, M.; Alouini, M.-S. Asymptotic max-min SINR analysis of reconfigurable intelligent surface assisted MISO systems. IEEE Trans. Wirel. Commun. 2020, 19, 7748–7764. [Google Scholar] [CrossRef] [Green Version]
- Zhao, M.-M.; Wu, Q.; Zhao, M.-J.; Zhang, R. Intelligent reflecting surface enhanced wireless network: Two-timescale beamforming optimization. arXiv 2020, arXiv:1912.01818. [Google Scholar]
- Zhao, M.-M.; Wu, Q.; Zhao, M.-J.; Zhang, R. Exploiting amplitude control in intelligent reflecting surface aided wireless communication with imperfect CSI. arXiv 2020, arXiv:2005.07002. [Google Scholar] [CrossRef]
- Zhou, G.; Pan, C.; Ren, H.; Wang, K.; Nallanathan, A. A framework of robust transmission design for IRS-aided MISO communications with imperfect cascaded channels. IEEE Trans. Signal Process. 2020, 68, 5092–5106. [Google Scholar] [CrossRef]
- Zhou, G.; Pan, C.; Ren, H.; Wang, K.; Renzo, M.D.; Nallanathan, A. Robust beamforming design for intelligent reflecting surface aided MISO communication systems. IEEE Wirel. Commun. Lett. 2020, 9, 1658–1662. [Google Scholar] [CrossRef]
- Hu, C.; Dai, L. Two-timescale channel estimation for reconfigurable intelligent surface aided wireless communications. arXiv 2020, arXiv:1912.07990. [Google Scholar] [CrossRef]
- Wang, Z.; Liu, L.; Cui, S. Channel estimation for intelligent reflecting surface assisted multiuser communications: Framework, algorithms, and analysis. IEEE Trans. Wirel. Commun. 2020, 19, 6607–6620. [Google Scholar] [CrossRef]
- Chen, J.; Liang, Y.-C.; Cheng, H.V.; Yu, W. Channel estimation for reconfigurable intelligent surface aided multi-user MIMO systems. arXiv 2019, arXiv:1912.03619. [Google Scholar]
- Trigui, I.; Agbogla, E.K.; Benjillali, M.; Ajib, W.; Zhu, W.-P. Bit Error Rate Analysis for Reconfigurable Intelligent Surfaces with Phase Errors. IEEE Commun. Lett. 2021, 25, 2176–2180. [Google Scholar] [CrossRef]
- Mao, Z.; Peng, M.; Liu, X. Channel estimation for reconfigurable intelligent surface assisted wireless communication systems in mobility scenarios. China Commun. 2021, 18, 29–38. [Google Scholar] [CrossRef]
- Sun, S.; Yan, H. Channel Estimation for Reconfigurable Intelligent Surface-Assisted Wireless Communications Considering Doppler Effect. IEEE Wirel. Commun. Lett. 2021, 10, 790–794. [Google Scholar] [CrossRef]
- Li, L.; Ma, D.; Ren, H.; Wang, D.; Tang, X.; Liang, W.; Bai, T. Enhanced reconfigurable intelligent surface assisted mmWave communication: A federated learning approach. China Commun. 2020, 17, 115–128. [Google Scholar] [CrossRef]
- Jin, Y.; Zhang, J.; Zhang, X.; Xiao, H.; Ai, B.; Ng, D.W.K. Channel Estimation for Semi-Passive Reconfigurable Intelligent Surfaces With Enhanced Deep Residual Networks. IEEE Trans. Veh. Technol. 2021, 70, 11083–11088. [Google Scholar] [CrossRef]
- Jin, Y.; Zhang, J.; Huang, C.; Yang, L.; Xiao, H.; Ai, B.; Wang, Z. Multiple Residual Dense Networks for Reconfigurable Intelligent Surfaces Cascaded Channel Estimation. IEEE Trans. Veh. Technol. 2021, 71, 2134–2139. [Google Scholar] [CrossRef]
- Zhang, S.; Li, M.; Jian, M.; Zhao, Y.; Gao, F. AIRIS: Artificial intelligence enhanced signal processing in reconfigurable intelligent surface communications. China Commun. 2021, 18, 158–171. [Google Scholar] [CrossRef]
- Sheen, B.; Yang, J.; Feng, X.; Chowdhury, M.M.U. A Deep Learning Based Modeling of Reconfigurable Intelligent Surface Assisted Wireless Communications for Phase Shift Configuration. IEEE Open J. Commun. Soc. 2021, 2, 262–272. [Google Scholar] [CrossRef]
- Zhou, Z.; Ge, N.; Wang, Z.; Hanzo, L. Joint Transmit Precoding and Reconfigurable Intelligent Surface Phase Adjustment: A Decomposition-Aided Channel Estimation Approach. IEEE Trans. Commun. 2021, 69, 1228–1243. [Google Scholar] [CrossRef]
- Zhi, K.; Pan, C.; Ren, H.; Wang, K. Statistical CSI-Based Design for Reconfigurable Intelligent Surface-Aided Massive MIMO Systems with Direct Links. IEEE Wirel. Commun. Lett. 2021, 10, 1128–1132. [Google Scholar] [CrossRef]
- Shi, Z.; Wang, H.; Fu, Y.; Yang, G.; Ma, S.; Gao, F. Outage Analysis of Reconfigurable Intelligent Surface Aided MIMO Communications with Statistical CSI. IEEE Trans. Wirel. Commun. 2021, 21, 823–839. [Google Scholar] [CrossRef]
- Liu, H.; Yuan, X.; Zhang, Y.-J.A. Matrix-Calibration-Based Cascaded Channel Estimation for Reconfigurable Intelligent Surface Assisted Multiuser MIMO. IEEE J. Sel. Areas Commun. 2020, 38, 2621–2636. [Google Scholar] [CrossRef]
- Wu, Q.; Zhang, R. Intelligent reflecting surface enhanced wireless network via joint active and passive beamforming. IEEE Trans. Wirel. Commun. 2019, 18, 5394–5409. [Google Scholar] [CrossRef] [Green Version]
- Pan, C.; Ren, H.; Wang, K.; Elkashlan, M.; Nallanathan, A.; Wang, J.; Hanzo, L. Intelligent reflecting surface aided MIMO broadcasting for simultaneous wireless information and power transfer. arXiv 2020, arXiv:1908.04863. [Google Scholar] [CrossRef]
- Du, H.; Zhang, J.; Cheng, J.; Ai, B. Millimeter Wave Communications with Reconfigurable Intelligent Surfaces: Performance Analysis and Optimization. IEEE Trans. Commun. 2021, 69, 2752–2768. [Google Scholar] [CrossRef]
- Xu, J.; Ai, B. When mmWave High-Speed Railway Networks Meet Reconfigurable Intelligent Surface: A Deep Reinforcement Learning Method. IEEE Wirel. Commun. Lett. 2021, 11, 533–537. [Google Scholar] [CrossRef]
- Liu, H.; Zhang, J.; Wu, Q.; Xiao, H.; Ai, B. ADMM Based Channel Estimation for RISs Aided Millimeter Wave Communications. IEEE Commun. Lett. 2021, 25, 2894–2898. [Google Scholar] [CrossRef]
- Li, S.; Duo, B.; Renzo, M.D.; Tao, M.; Yuan, X. Robust Secure UAV Communications With the Aid of Reconfigurable Intelligent Surfaces. IEEE Trans. Wirel. Commun. 2021, 20, 6402–6417. [Google Scholar] [CrossRef]
- Yuan, J.; Liang, Y.-C.; Joung, J.; Feng, G.; Larsson, E.G. Intelligent Reflecting Surface-Assisted Cognitive Radio System. IEEE Trans. Commun. 2021, 69, 675–687. [Google Scholar] [CrossRef]
- Zhou, G.; Pan, C.; Ren, H.; Wang, K.; Peng, Z. Secure Wireless Communication in RIS-Aided MISO System with Hardware Impairments. IEEE Wirel. Commun. Lett. 2021, 10, 1309–1313. [Google Scholar] [CrossRef]
- Chen, Q.; Li, M.; Yang, X.; Alturki, R.; Alshehri, M.D.; Khan, F. Impact of Residual Hardware Impairment on the IoT Secrecy Performance of RIS-Assisted NOMA Networks. IEEE Access 2021, 9, 42583–42592. [Google Scholar] [CrossRef]
- Zhou, S.; Xu, W.; Wang, K.; Renzo, M.D.; Alouini, M.-S. Spectral and Energy Efficiency of IRS-Assisted MISO Communication With Hardware Impairments. IEEE Wirel. Commun. Lett. 2020, 9, 1366–1369. [Google Scholar] [CrossRef]
- Shen, H.; Xu, W.; Gong, S.; Zhao, C.; Ng, D.W.K. Beamforming Optimization for IRS-Aided Communications with Transceiver Hardware Impairments. IEEE Trans. Commun. 2021, 69, 1214–1227. [Google Scholar] [CrossRef]
- Dayo, Z.A.; Cao, Q.; Wang, Y.; Pirbhulal, S.; Sodhro, A.H. A compact high-gain coplanar waveguide-fed antenna for military RADAR applications. Int. J. Antennas Propag. 2020, 2020, 8024101. [Google Scholar] [CrossRef]
- Lakhan, A.; Dootio, M.A.; Groenli, T.M.; Sodhro, A.H.; Khokhar, M.S. Multi-Layer Latency Aware Workload Assignment of E-Transport IoT Applications in Mobile Sensors Cloudlet Cloud Networks. Electronics 2021, 10, 1719. [Google Scholar] [CrossRef]
- Li, J.; Matthaiou, M.; Svensson, T. I/Q Imbalance in AF DualHop Relaying: Performance Analysis in Nakagami-m Fading. IEEE Trans. Commun. 2014, 62, 836–847. [Google Scholar] [CrossRef]
- Li, X.; Zhao, M.; Gao, X.C.; Li, L.; Do, D.T.; Rabie, K.M.; Kharel, R. Physical Layer Security of Cooperative NOMA for IoT Networks under I/Q Imbalance. IEEE Access 2020, 8, 51189–51199. [Google Scholar] [CrossRef]
- Yang, L.; Yang, Y.; Hasna, M.O.; Alouini, M.-S. Coverage, Probability of SNR Gain, and DOR Analysis of RIS-Aided Communication Systems. IEEE Wire. Commu. Lett. 2020, 9, 1268–1272. [Google Scholar] [CrossRef]
- Basar, E.; Renzo, M.D.; Rosny, J.D.; Debbah, M.; Alouini, M.S.; Zhang, R. Wireless communications through reconfigurable intelligent surfaces. IEEE Access 2019, 7, 116753–116773. [Google Scholar] [CrossRef]
- Gradshteyn, I.S.; Ryzhik, I.M. Table of Integrals, Series, and Products, 7th ed.; Academic: San Diego, CA, USA, 2007. [Google Scholar]
- Kapinas, V.M.; Mihos, S.K.; Karagiannidis, G.K. On the monotonicity of the meneralized Marcum and Nuttall Q-functions. IEEE Trans. Inf. Theory 2009, 55, 3701–3710. [Google Scholar] [CrossRef]
- Yang, L.; Meng, F.; Wu, Q.; da Costa, D.B.; Alouini, M.-S. Accurate Closed-Form Approximations to Channel Distributions of RIS-Aided Wireless Systems. IEEE Wirel. Commu. Lett. 2020, 9, 1985–1989. [Google Scholar] [CrossRef]
- Peppas, K.P. Accurate closed-form approximations to generalised-K sum distributions and applications in the performance analysis of equal-gain combining receivers. IET Commun. 2011, 5, 982–989. [Google Scholar] [CrossRef]
- Yang, L.; Yang, Y.; da Costa, D.B.; Trigui, I. Outage Probability and Capacity Scaling Law of Multiple RIS-Aided Networks. IEEE Wirel. Commu. Lett. 2021, 10, 256–260. [Google Scholar] [CrossRef]










| References | System Model | Performance Analysis | Key Findings |
|---|---|---|---|
| [50] | A reconfigurable intelligent surface (RIS)-aided secure communication system. | The successive convex approximation (SCA) method is used to solve the active beamforming optimization subproblem, while the passive beamforming is obtained by using the semidefinite program (SDP) method. | The proposed transmission design scheme is more robust to the hardware impairments than the conventional non-robust scheme. |
| [51] | RIS-assisted NOMA technology applied in the internet of things (IoT) with a single eavesdropper. | The closed-form formula of the user’s secrecy outage probability (SOP). | The main factors affecting the SOP are parameters of RIS, target rate and transmit SNR. |
| [52] | RIS-assisted multiple-input single-output (MISO) downlink network. | The spectral and energy efficiency. | The degraded performance at high SNR regime is confirmed to be mainly affected by hardware impairments rather than by the RIS’s phase noise. |
| [53] | RIS assisted multiple antennas systems. | A closed-form optimal solution to the source transmit beamforming. | The proposed beamforming scheme is more robust to the imperfect hardware than that of the conventional SNR maximized approach. |
| Our work | Dual and single hops RIS-aided systems. | Outage Performance and average rate. | Outage performance and average rate are mostly adjusted by configuration of RIS. |
Publisher’s Note: MDPI stays neutral with regard to jurisdictional claims in published maps and institutional affiliations. |
© 2022 by the authors. Licensee MDPI, Basel, Switzerland. This article is an open access article distributed under the terms and conditions of the Creative Commons Attribution (CC BY) license (https://creativecommons.org/licenses/by/4.0/).
Share and Cite
Nguyen, N.D.; Le, A.-T.; Munochiveyi, M.; Afghah, F.; Pallis, E. Intelligent Reflecting Surface Aided Wireless Systems with Imperfect Hardware. Electronics 2022, 11, 900. https://doi.org/10.3390/electronics11060900
Nguyen ND, Le A-T, Munochiveyi M, Afghah F, Pallis E. Intelligent Reflecting Surface Aided Wireless Systems with Imperfect Hardware. Electronics. 2022; 11(6):900. https://doi.org/10.3390/electronics11060900
Chicago/Turabian StyleNguyen, Nhan Duc, Anh-Tu Le, Munyaradzi Munochiveyi, Fatemeh Afghah, and Evangelos Pallis. 2022. "Intelligent Reflecting Surface Aided Wireless Systems with Imperfect Hardware" Electronics 11, no. 6: 900. https://doi.org/10.3390/electronics11060900
APA StyleNguyen, N. D., Le, A.-T., Munochiveyi, M., Afghah, F., & Pallis, E. (2022). Intelligent Reflecting Surface Aided Wireless Systems with Imperfect Hardware. Electronics, 11(6), 900. https://doi.org/10.3390/electronics11060900

