Design and Analysis of Anti-Noise Parameter-Variable Zeroing Neural Network for Dynamic Complex Matrix Inversion and Manipulator Trajectory Tracking
Abstract
:1. Introduction
- (1)
- On the basis of the OZNN model and existing AFs, an ANPVZNN model is proposed;
- (2)
- Compared with the OZNN model activated by existing AFs, the proposed ANPVZNN model has better effectiveness and robustness for dynamic time-varying problems solving, which guarantees its fast online solving dynamic time-varying problems in real noisy environment;
- (3)
- Both of strict mathematical theoretical proof and experimental simulation results are provided to validate its fixed-time convergence and robustness to noises.
2. Problem and Mathematical Preparation
2.1. Problem Formulation
2.2. OZNN Model
- Linear activation function (LAF)
- Power activation function (PAF)
- Bi-power activation function (BPAF)
- Power-sigmoid activation function (PSAF)
- Sign-bi-power activation function (SBPAF)
- Versatile activation function (VAF)
3. PVCZNN Model and Its Theoretical Analysis
3.1. Design of PVCZNN Model
3.2. Convergence Analysis of the ANPVZNN Model
3.3. Robustness Analysis of the ANPVZNN
4. ANPVZNN Model Applications
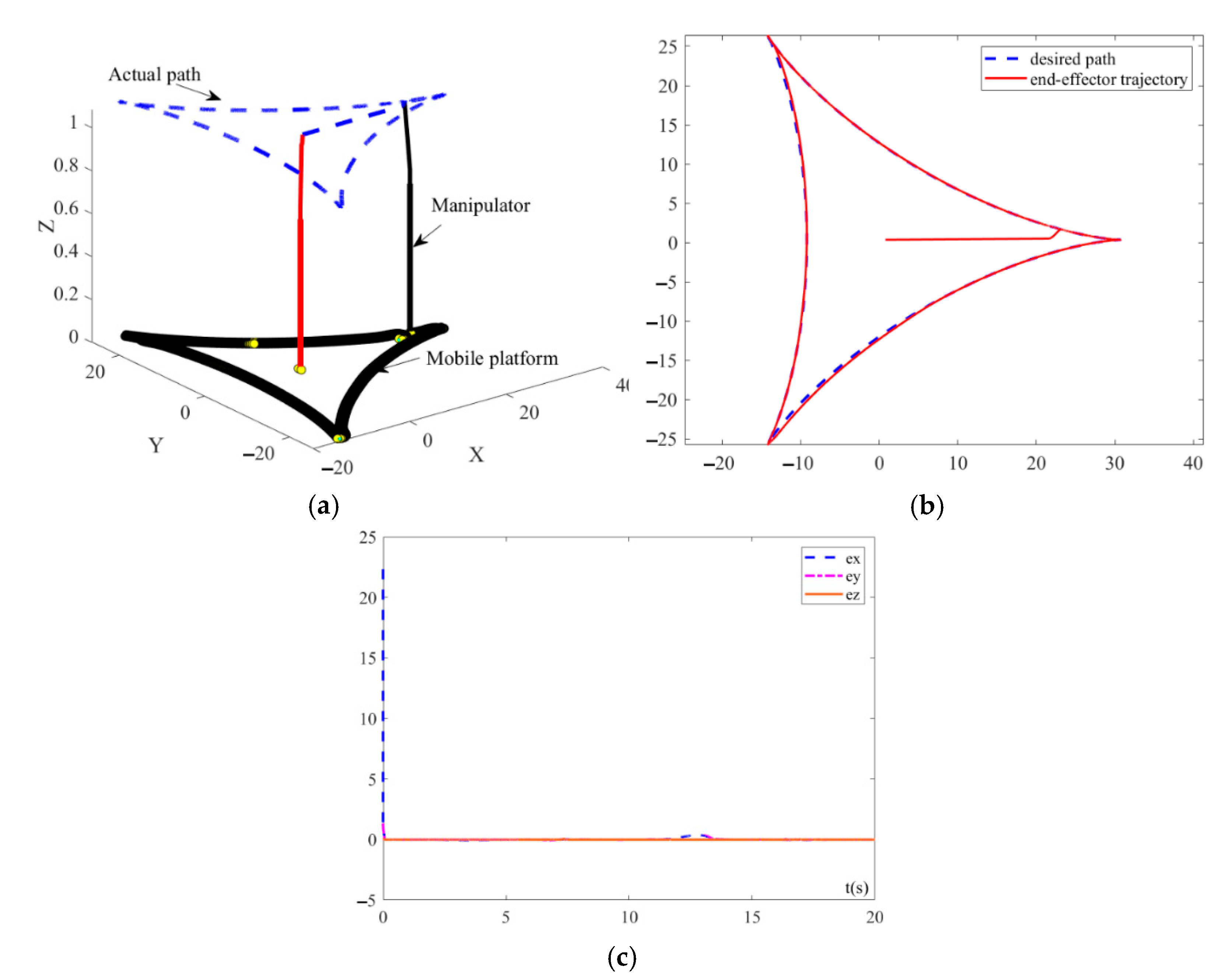
5. Application to Robotic Manipulator
6. Conclusions
Author Contributions
Funding
Data Availability Statement
Acknowledgments
Conflicts of Interest
References
- Liu, J.; Liang, Y.; Ansari, N. Spark-Based Large-Scale Matrix Inversion for Big Data Processing. IEEE Access 2016, 4, 2166–2176. [Google Scholar] [CrossRef]
- Zhang, Y.; Leithead, W.E. Exploiting Hessian matrix and trust-region algorithm in hyperparameters estimation of Gaussian process. Appl. Math. Comput. 2005, 171, 1264–1281. [Google Scholar] [CrossRef]
- Zhang, C.; Liang, X.; Wu, Z.; Wang, F.; Zhang, S.; Zhang, Z.; You, X. On the low-complexity, hardware-friendly tridiagonal matrix inversion for correlated massive MIMO systems. IEEE Trans. Veh. Technol. 2019, 68, 6272–6285. [Google Scholar] [CrossRef] [Green Version]
- Chen, T.; Lei, H. Selection based list detection with approximate matrix inversion for large-scale MIMO systems. IEEE Access 2018, 6, 71751–71766. [Google Scholar] [CrossRef]
- Rajbenbach, H.; Fainman, Y.; Lee, S.H. Optical implementation of an iterative algorithm for matrix inversion. Appl. Opt. 1987, 26, 1024–1031. [Google Scholar] [CrossRef] [PubMed]
- Xiao, L.; Zhang, Y.; Dai, J.; Chen, K.; Yang, S.; Li, W.; Liao, B.; Ding, L.; Li, J. A new noise-tolerant and predefined-time ZNN model for time-dependent matrix inversion. Neural Networks 2019, 117, 124–134. [Google Scholar] [CrossRef]
- Zhang, Y.; Ma, W.; Yi, C. The link between newton iteration for matrix inversion and Zhang neural network (ZNN). In Proceedings of the IEEE International Conference on Industrial Technology, Chengdu, China, 21–24 April 2008; pp. 1–6. [Google Scholar]
- Yi, Q.; Xiao, L.; Zhang, Y.; Liao, B.; Ding, L.; Peng, H. Nonlinearly activated complex-valued gradient neural network for complex matrix inversion. In Proceedings of the 2018 Ninth International Conference on Intelligent Control and Information Processing (ICICIP), Wanzhou, China, 9–11 November 2018; pp. 44–48. [Google Scholar]
- Zhang, Y. Revisit the analog computer and gradient-based neural system for matrix inversion. In Proceedings of the 2005 IEEE International Symposium on, Mediterrean Conference on Control and Automation Intelligent Control, Limassol, Cyprus, 27–29 June 2005; pp. 1411–1416. [Google Scholar]
- Zhang, Y.; Chen, K.; Tan, H.Z. Performance analysis of gradient neural network exploited for online time-varying matrix inversion. IEEE Trans. Autom. Control. 2009, 54, 1940–1945. [Google Scholar] [CrossRef]
- Zhang, Y.; Jiang, D.; Wang, J. A recurrent neural network for solving Sylvester equation with time-varying coeffificients. IEEE Trans. Neural Netw. 2002, 13, 1053–1063. [Google Scholar]
- Jin, J.; Zhao, L.; Li, M.; Yu, F.; Xi, Z. Improved zeroing neural networks for finite time solving nonlinear equations. Neural Comput. Appl. 2020, 32, 4151–4160. [Google Scholar] [CrossRef]
- Jin, J. A robust zeroing neural network for solving dynamic nonlinear equations and its application to kinematic control of mobile manipulator. Complex Intell. Syst. 2021, 7, 87–99. [Google Scholar] [CrossRef]
- Gerontitis, D.; Behera, R.; Sahoo, J.K.; Stanimirovic, P. Improved finite-time zeroing neural network for time-varying division. Stud. Appl. Math. 2021, 146, 526–549. [Google Scholar] [CrossRef]
- Gong, J.; Jin, J. A faster and better robustness zeroing neural network for solving dynamic Sylvester equation. Neural Processing Lett. 2021, 53, 3591–3606. [Google Scholar] [CrossRef]
- Jin, J.; Zhu, J.; Gong, J.; Chen, W. Novel activation functions-based ZNN models for fixed-time solving dynamirc Sylvester equation. Neural Comput. Appl. 2022, 34. [Google Scholar] [CrossRef]
- Jin, J.; Gong, J. An interference-tolerant fast convergence zeroing neural network for dynamic matrix inversion and its application to mobile manipulator path tracking. Alex. Eng. J. 2020, 60, 659–669. [Google Scholar] [CrossRef]
- Xiao, L.; Liao, B.; Li, S.; Zhang, Z.; Ding, L.; Jin, L. Design and analysis of FTZNN applied to the real-time solution of a nonstationary Lyapunov equation and tracking control of a wheeled mobile manipulator. IEEE Trans. Ind. Informat. 2018, 14, 98105. [Google Scholar] [CrossRef]
- Zhu, J.; Jin, J.; Chen, W.; Gong, J. A combined power activation function based convergent factor-variable ZNN model for solving dynamic matrix inversion. Math. Comput. Simul. 2022, 197, 291–307. [Google Scholar] [CrossRef]
- Altan, A.; Hacioglu, R. Model predictive control of three-axis gimbal system mountedon UAV for real-time target tracking under external disturbances. Mech. Syst. Signal Processing 2020, 138, 106548. [Google Scholar] [CrossRef]
- Altan, A.; Aslan, O.; Hacıoglu, R. Real-Time Control based on NARX Neural Network of Hexarotor UAV with Load Transporting System for Path Tracking. In Proceedings of the 2018 6th International Conference on Control Engineering & Information Technology (CEIT), Istanbul, Turkey, 25–27 October 2018; pp. 1–6. [Google Scholar] [CrossRef]
- Altan, A. Performance of Metaheuristic Optimization Algorithms based on Swarm Intelligence in Attitude and Altitude Control of Unmanned Aerial Vehicle for Path Following. In Proceedings of the 2020 4th International Symposium on Multidisciplinary Studies and Innovative Technologies (ISMSIT), Istanbul, Turkey, 22–24 October 2020; pp. 1–6. [Google Scholar] [CrossRef]
- Altan, A.; Karasu, S.; Zio, E. A new hybrid model for wind speed forecasting combining long short-term memory neural network, decomposition methods and grey wolf optimizer. Appl. Soft Comput. 2021, 100, 106996. [Google Scholar] [CrossRef]
- Xiao, L.; Zhang, Y.; Hu, Z.; Dai, J. Performance Benefits of Robust Nonlinear Zeroing Neural Network for Finding Accurate Solution of Lyapunov Equation in Presence of Various Noises. IEEE Trans. Ind. Inform. 2019, 15, 5161–5171. [Google Scholar] [CrossRef]
- Jin, J.; Gong, J. A noise-tolerant fast convergence ZNN for Dynamic Matrix Inversion. Int. J. Comput. Math. 2021, 98, 2202–2219. [Google Scholar] [CrossRef]
- Gong, J.; Jin, J. A better robustness and fast convergence zeroing neural network for solving dynamic nonlinear equations. Neural Comput. Appl. 2021, 33. [Google Scholar] [CrossRef]
- Li, S.; Chen, S.; Liu, B. Accelerating a recurrent neural network to finite-time convergence for solving time-varying Sylvester equation by using a sign-bi-power activation function. Neural Processing Lett. 2013, 37, 189–205. [Google Scholar] [CrossRef]
- Shen, Y.; Miao, P.; Huang, Y.; Shen, Y. Finite-time stability and its application for solving time-varying Sylvester equation by recurrent neural network. Neural Processing Lett. 2015, 42, 763–784. [Google Scholar] [CrossRef]
- Guo, D.; Nie, Z.; Yan, L. Novel discrete-time Zhang neural network for time-varying matrix inversion. IEEE Trans. Syst. Man Cybern. Syst. 2017, 47, 2301–2310. [Google Scholar] [CrossRef]
- Xiao, L.; Liao, B.; Jin, J.; Lu, R.; Yang, X.; Ding, L. A fifinite-time convergent dynamic system for solving online simultaneous linear equations. Int. J. Comput. Math. 2017, 94, 1778–1786. [Google Scholar] [CrossRef]
- Jin, L.; Zhang, Y.; Li, S. Integration-enhanced Zhang neural network for real-time-varying matrix inversion in the presence of various kinds of noises. IEEE Trans. Neural Netw. Learn. Syst. 2016, 27, 2615–2627. [Google Scholar] [CrossRef]
- Jin, L.; Zhang, Y.; Li, S.; Zhang, Y. Noise-tolerant ZNN models for solving time-varying zero-finding problems: A control-theoretic approach. IEEE Trans. Autom. Control. 2017, 62, 992–997. [Google Scholar] [CrossRef]
- Song, J.; Yam, Y. Complex recurrent neural network for computing the inverse and pseudo-inverse of the complex matrix. Appl. Math. Comput. 1998, 93, 195–205. [Google Scholar] [CrossRef]
- Hu, J.; Wang, J. Global stability of complex-valued recurrent neural networks with time-delays. IEEE Trans. Neural Netw. Learn. Syst. 2012, 23, 853–865. [Google Scholar] [CrossRef]
- Liao, B.; Zhang, Y. Different complex ZFs leading to different complex ZNN models for time-varying complex generalized inverse matrices. IEEE Trans. Neural Netw. Learn. Syst. 2014, 25, 1621–1631. [Google Scholar] [CrossRef]
- Xiao, L.; Zhang, Y.; Li, K.; Liao, B.; Tan, Z. A novel recurrent neural network and its finite-time solution to time-varying complex matrix inversion. Neurocomputing 2019, 331, 483–492. [Google Scholar] [CrossRef]
- Jin, J. An Improved Finite Time Convergence Recurrent Neural Network with Application to Time-Varying Linear Complex Matrix Equation Solution. Neural Processing Lett. 2021, 53, 777–786. [Google Scholar] [CrossRef]
- Zhang, Y.; Li, Z.; Li, K. Complex-valued zhang neural network for online complex-valued time-varying matrix inversion. Appl. Math. Comput. 2011, 217, 10066–10073. [Google Scholar] [CrossRef]
- Liu, S.; Tan, H.; Xiao, L. A Fully Complex-Valued and Robust ZNN Model for Dynamic Complex Matrix Inversion under External Noises. IEEE Access 2020, 8, 87478–87489. [Google Scholar] [CrossRef]
- Sowmya, G.; Thangavel, P.; Shankar, V. A novel hybrid Zhang neural network model for time-varying matrix inversion. Eng. Sci. Technol. 2022, 26, 101009. [Google Scholar] [CrossRef]
- Stanimirovic, P.; Gerontitis, D.; Tzekis, P.; Behera, R. KeshariSahood. Simulation of Varying Parameter Recurrent Neural Network with application to matrix inversion. Math. Comput. Simul. 2021, 185, 614–628. [Google Scholar] [CrossRef]
- Zuo, Q.; Xiao, L.; Li, K. Comprehensive design and analysis of time-varying delayed zeroing neural network and its application to matrix inversion. Neurocomputing 2020, 379, 273–283. [Google Scholar] [CrossRef]
- Xiao, X.; Jiang, C.; Lu, H.; Jin, L.; Liu, D.; Huang, H.; Pan, Y. A parallel computing method based on zeroing neural networks for time-varying complex-valued matrix Moore-Penrose inversion. Inf. Sci. 2020, 524, 216–228. [Google Scholar] [CrossRef]
- Jin, L.; Wei, L.; Li, S. Gradient-Based Differential Neural-Solution to Time-Dependent Nonlinear Optimization. IEEE Trans. Autom. Control. 2022, 1. [Google Scholar] [CrossRef]
- Liu, M.; Chen, L.; Du, X.; Jin, L.; Shang, M. Activated Gradients for Deep Neural Networks. In IEEE Transactions on Neural Networks and Learning Systems; IEEE: Piscataway Township, NJ, USA, 2021. [Google Scholar] [CrossRef]
- Jin, J.; Xiao, L.; Lu, M.; Li, J. Design and Analysis of Two FTRNN Models With Application to Time-Varying Sylvester Equation. IEEE Access 2019, 7, 58945–58950. [Google Scholar] [CrossRef]
- Chen, L.; Zheng, M.; Liu, Z.; Lv, M.; Zhao, L.; Wang, Z. SDAE+BiLSTM-Based Situation Awareness Algorithm for the CAN Bus of Intelligent Connected Vehicles. Electronics 2022, 11, 110. [Google Scholar] [CrossRef]
- Jin, J.; Qiu, L. A Robust Fast Convergence Zeroing Neural Network and Its applications to Dynamic Sylvester Equation Solving and Robot Trajectory Tracking. J. Frankl. Inst. 2022, in press. [Google Scholar] [CrossRef]
- Zhao, L.; Jin, J.; Gong, J. Robust zeroing neural network for fixed-time kinematic control of wheeled mobile robot in noise-polluted environment. Math. Comput. Simul. 2021, 185, 289–307. [Google Scholar] [CrossRef]
- Xiao, L.; Zhang, Y. A New Performance Index for the Repetitive Motion of Mobile Manipulators. IEEE Trans. Cybern. 2014, 44, 280–292. [Google Scholar] [CrossRef]

























Publisher’s Note: MDPI stays neutral with regard to jurisdictional claims in published maps and institutional affiliations. |
© 2022 by the authors. Licensee MDPI, Basel, Switzerland. This article is an open access article distributed under the terms and conditions of the Creative Commons Attribution (CC BY) license (https://creativecommons.org/licenses/by/4.0/).
Share and Cite
Zhou, P.; Tan, M.; Ji, J.; Jin, J. Design and Analysis of Anti-Noise Parameter-Variable Zeroing Neural Network for Dynamic Complex Matrix Inversion and Manipulator Trajectory Tracking. Electronics 2022, 11, 824. https://doi.org/10.3390/electronics11050824
Zhou P, Tan M, Ji J, Jin J. Design and Analysis of Anti-Noise Parameter-Variable Zeroing Neural Network for Dynamic Complex Matrix Inversion and Manipulator Trajectory Tracking. Electronics. 2022; 11(5):824. https://doi.org/10.3390/electronics11050824
Chicago/Turabian StyleZhou, Peng, Mingtao Tan, Jianbo Ji, and Jie Jin. 2022. "Design and Analysis of Anti-Noise Parameter-Variable Zeroing Neural Network for Dynamic Complex Matrix Inversion and Manipulator Trajectory Tracking" Electronics 11, no. 5: 824. https://doi.org/10.3390/electronics11050824
APA StyleZhou, P., Tan, M., Ji, J., & Jin, J. (2022). Design and Analysis of Anti-Noise Parameter-Variable Zeroing Neural Network for Dynamic Complex Matrix Inversion and Manipulator Trajectory Tracking. Electronics, 11(5), 824. https://doi.org/10.3390/electronics11050824

