An Improved Multi-Objective Cuckoo Search Approach by Exploring the Balance between Development and Exploration
Abstract
1. Introduction
2. Multi-Objective Optimization and MOCS
2.1. Multi-Objective Optimization
2.2. MOCS
3. The Proposed Improved Cuckoo Search Algorithm
3.1. Improvements
3.2. IMOCS Implementation steps
3.3. Time Complexity Analysis
- (1)
- The time complexity of IMOCS population initialization is O(N × Dim). The time complexity of each individual evaluation objective function of the population is O(f(Dim)).
- (2)
- The calculation of the non-dominant solution is divided into two parts. The first part is used to obtain the number of dominant individuals and the set of dominated individuals, and the time required is O(M × N2). The second part is used to solve individual computation except the first Pareto front, and its time complexity is O(N2). Thus, the algorithm time complexity of this process is O(M × N2).
- (3)
- In the Equation (9), the time complexity of the update stage of Levy flight population is O(N × (Dim + O(Levy)), where O(Levy) is a random number subject. Hence, its computational complexity is of a constant order. Therefore, the time complexity of population renewal process is O(N × Dim).
- (4)
- In the Equation (5), the time complexity of random migration operator optimization is O(N × Dim).
- (5)
- The worst time complexity after merging parent and child is O(2N).
- (6)
- The worst time complexity of stratification by using non-dominated sorting method after population merging is O(M × 4N2).
- (7)
- Before calculating the crowding distance of each individual, descending order is required for each sub-target whose time complexity is O(M × 2N × log(2N)), and the time for calculating the crowding distance of each individual is O(M × 2N). Therefore, the worst time complexity of the algorithm is O(M × 2N × log(2N)).
- (8)
- After calculating the non-dominated ordering and crowding degree, the crowding degree of all individuals at the same level is compared, and the worst time complexity required by the pose constructed is O(2N × log(2N)).
- (9)
- According to the above analysis, when T = 1, the worst time complexity is:
4. Numerical Experiment and Analysis
4.1. Multi-Objective Benchmark Functions
4.2. Quality Indicators
- HV: This indicator is used to calculate the volume surrounded by the non-dominated solution set S of all target minimization problems and a set of pre-set reference points distributed in the target space. If any solution is satisfied, there is . The definition of HV is as shown in Equation (11).where represents Lebesgue measure. The larger the value of HV is, the closer the non-dominated solution set S obtained by the algorithm optimization is to the true Pareto frontier, and the better the convergence and uniformity of the algorithm are reflected from the side. This metric evaluates convergence and diversity without knowing the reference set. However, the computational complexity is high, especially for high-dimensional multi-objective optimization (MOO) issues.
- IGD: This indicator is mainly calculated by calculating the minimum distance and between each point (individual) on the true Pareto front surface and the set of individuals obtained by the algorithm. The algorithm is used to evaluate the proximity and distribution of the true Pareto frontier to the optimal non-dominated solution set, and the convergence and diversity of the algorithm are comprehensively measured. Let PF be the true Pareto frontier and S be the best non-dominated solution set obtained through multi-objective algorithm. The definition of IGD is as shown in (12):
- 3.
- GD: This indicator is used to measure the distance between the optimal non-dominated solution set obtained by the algorithm and the true Pareto front, and is a measure of the convergence of the algorithm. GD indicator is defined as shown in Equation (14):
- 4.
- Wilcoxon rank-sum test: This statistical method is a non-parametric statistical test used to detect whether two or more datasets are from the same distributed population, and its confidence level is 0.05. In order to conduct an in-depth analysis of the superiority of the algorithm, the performance of the algorithm is judged according to the mean value in the Wilcoxon rank-sum check. The symbols ‘−’, ‘+’, and ‘=‘, respectively, indicate that the algorithm proposed in this article compares with other algorithms. The performance of the algorithm is poor, significantly better than that, and there is no significant difference.
- 5.
- Mean and Std:Mean and Std are used to evaluate the stability of each algorithm and analyze the results obtained in different operating environments. The mean and Std are calculated as shown in Equations (16) and (17):
4.3. Numerical Parameter Design
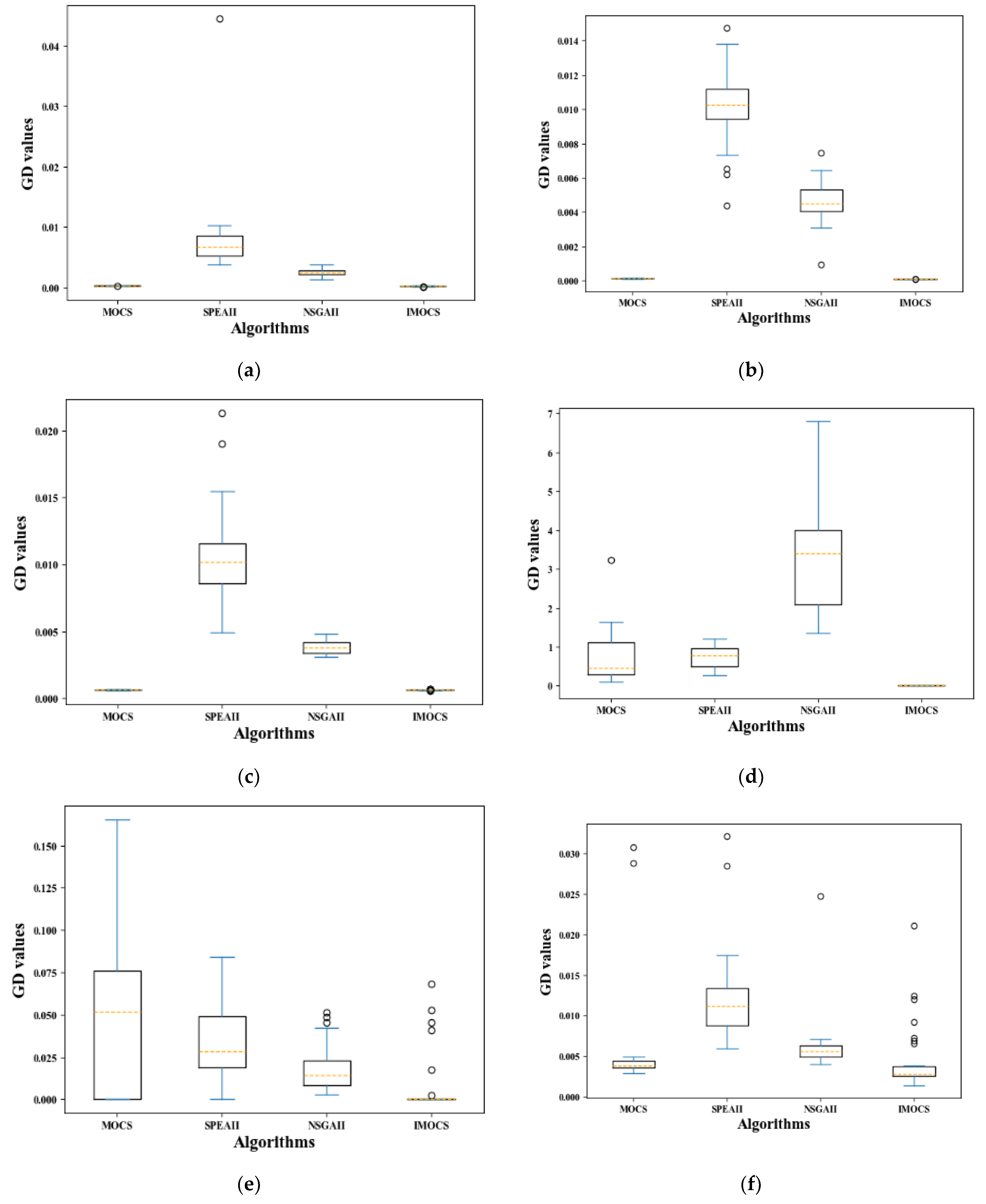
4.4. Analysis of Simulation Results
5. Collaborative Obstacle Avoidance Task of Multiple UAVs Using IMOCS
5.1. UAV Model
5.2. Simulation Experiments
6. Conclusions
Author Contributions
Funding
Acknowledgments
Conflicts of Interest
References
- Srinivas, N.; Deb, K. Multiobjective Optimization Using Nondominated Sorting in Genetic Algorithms. Evol. Comput. 1994, 2, 221–248. [Google Scholar] [CrossRef]
- Deb, K.; Pratap, A.; Agarwal, S.; Meyarivan, T.A. A fast and elitist multiobjective genetic algorithm: NSGA-II. IEEE Trans. Evol. Comput. 2002, 6, 182–197. [Google Scholar] [CrossRef]
- Zhang, Q.; Li, H. MOEA/D: A Multiobjective Evolutionary Algorithm Based on Decomposition. IEEE Trans. Evol. Comput. 2007, 11, 712–731. [Google Scholar] [CrossRef]
- Wang, Y.-N.; Wu, L.-H.; Yuan, X.-F. Multi-objective self-adaptive differential evolution with elitist archive and crowding entropy-based diversity measure. Soft Comput. 2010, 14, 193–209. [Google Scholar] [CrossRef]
- Cui, Y.; Qiao, J.; Meng, X. Multi-stage multi-objective particle swarm optimization algorithm based on the evolutionary information of population. In Proceedings of the 2020 Chinese Automation Congress (CAC), Shanghai, China, 6–8 November 2020; pp. 3412–3417. [Google Scholar]
- Mahalingam, S.; Kuppusamy, B.; Natarajan, Y. Multi-objective Soft Computing Approaches to Evaluate the Performance of Abrasive Water Jet drilling Parameters on Die Steel. Arab. J. Sci. Eng. 2021, 46, 7893–7907. [Google Scholar] [CrossRef]
- Wang, X.; Zhang, K.; Wang, J.; Jin, Y. An Enhanced Competitive Swarm Optimizer with Strongly Convex Sparse Operator for Large-Scale Multi-Objective Optimization. IEEE Trans. Evol. Comput. 2021, 1. [Google Scholar] [CrossRef]
- Hu, Z.; Zhou, T.; Su, Q.; Liu, M. A niching backtracking search algorithm with adaptive local search for multimodal multiobjective optimization. Swarm Evol. Comput. 2022, 69, 101031. [Google Scholar] [CrossRef]
- Yue, C.; Suganthan, P.; Liang, J.; Qu, B.; Yu, K.; Zhu, Y.; Yan, L. Differential evolution using improved crowding distance for multimodal multiobjective optimization. Swarm Evol. Comput. 2021, 62, 100849. [Google Scholar] [CrossRef]
- Zouache, D.; Abdelaziz, F.B. Guided Manta Ray foraging optimization using epsilon dominance for multi-objective optimization in engineering design. Expert Syst. Appl. 2022, 189, 116126. [Google Scholar] [CrossRef]
- Marichelvam, M.K.; Prabaharan, T.; Yang, X.-S. Improved cuckoo search algorithm for hybrid flow shop scheduling problems to minimize makespan. Appl. Soft Comput. 2014, 19, 93–101. [Google Scholar] [CrossRef]
- Karthik, G.; Deb, S. A methodology for assembly sequence optimization by hybrid Cuckoo-Search Genetic Algorithm. J. Adv. Manuf. Syst. 2018, 17, 47–59. [Google Scholar] [CrossRef]
- Yildiz, A.R. Cuckoo search algorithm for the selection of optimal machining parameters in milling operations. Int. J. Adv. Manuf. Technol. 2013, 64, 55–61. [Google Scholar] [CrossRef]
- Zhang, C.-X.; Zhou, K.-Q.; Ye, S.-Q.; Zain, A.M. An improved cuckoo search algorithm utilizing nonlinear inertia weight and differential evolution for function optimization problem. IEEE Access 2021, 9, 161352–161373. [Google Scholar] [CrossRef]
- Peng, H.; Zeng, Z.; Deng, C.; Wu, Z. Multi-strategy serial cuckoo search algorithm for global optimization. Knowl.-Based Syst. 2021, 214, 106729. [Google Scholar] [CrossRef]
- Cuong-Le, T.; Minh, H.-L.; Khatir, S.; Wahab, M.A.; Tran, M.T.; Mirjalili, S. A novel version of Cuckoo search algorithm for solving optimization problems. Expert Syst. Appl. 2021, 186, 115669. [Google Scholar] [CrossRef]
- Zhang, Y.; Zhao, Y.; Shen, X.; Zhang, J. A comprehensive wind speed prediction system based on Monte Carlo and artificial intelligence algorithms. Appl. Energy 2022, 305, 117815. [Google Scholar] [CrossRef]
- Niveditha, C.; Ashok, K. ACNN Based Speech Emotion Recognition and Noise Suppression Using Modified Cuckoo Search Algorithm. In Proceedings of the 2nd International Conference on Intelligent Computing, Instrumentation and Control Technologies (ICICICT), Kannur, India, 5–6 July 2019; Volume 1, pp. 79–86. [Google Scholar]
- Kamoona, A.M.; Patra, J.C. A novel enhanced cuckoo search algorithm for contrast enhancement of gray scale images. Appl. Soft Comput. 2019, 85, 105749. [Google Scholar] [CrossRef]
- He, X.; Li, N.; Yang, X.S. Non-dominated sorting cuckoo search for multiobjective optimization. In Proceedings of the IEEE Symposium on Swarm Intelligence, Orlando, FL, USA, 9–12 December 2014; pp. 1–7. [Google Scholar]
- Othman, M.S.; Kumaran, S.R.; Yusuf, L.M. Gene Selection Using Hybrid Multi-Objective Cuckoo Search Algorithm with Evolutionary Operators for Cancer Microarray Data. IEEE Access 2020, 8, 186348–186361. [Google Scholar] [CrossRef]
- Hanoun, S.; Nahavandi, S.; Creighton, D.; Kull, H. Solving a multiobjective job shop scheduling problem using Pareto Archived Cuckoo Search. In Proceedings of the 17th International Conference on Emerging Technologies & Factory Automation (ETFA 2012), Krakow, Poland, 17–21 September 2012; pp. 1–8. [Google Scholar]
- Chen, L.; Gan, W.; Li, H.; Cheng, K.; Pan, D.; Chen, L.; Zhang, Z. Solving multi-objective optimization problem using cuckoo search algorithm based on decomposition. Appl. Intell. 2021, 51, 143–160. [Google Scholar] [CrossRef]
- Paul, D.; Kumar, R.; Saha, S.; Mathew, J. Multi-objective Cuckoo Search-based Streaming Feature Selection for Multi-label Dataset. ACM Trans. Knowl. Discov. Data 2021, 15, 1–24. [Google Scholar] [CrossRef]
- Zainal, M.I.; Yasin, Z.M.; Zakaria, Z. Optimizing Voltage Profile and Loss Minimization using Multi Objective Cuckoo Search Algorithm. In Proceedings of the 11th IEEE Symposium on Computer Applications & Industrial Electronics (ISCAIE), Penang, Malaysia, 3–4 April 2021; pp. 116–122. [Google Scholar]
- Yamany, W.; El-Bendary, N.; Hassanien, A.E.; Emary, E. Multi-Objective Cuckoo Search Optimization for Dimensionality Reduction. Procedia Comput. Sci. 2016, 96, 207–215. [Google Scholar] [CrossRef][Green Version]
- Wang, Z.; Li, Y. Irreversibility analysis for optimization design of plate fin heat exchangers using a multi-objective cuckoo search algorithm. Energy Convers. Manag. 2015, 101, 126–135. [Google Scholar] [CrossRef]
- Rao, N.T.; Sankar, M.M.; Rao, S.P.; Rao, B.S. Comparative study of Pareto optimal multi objective cuckoo search algorithm and multi objective particle swarm optimization for power loss minimization incorporating UPFC. J. Ambient Intell. Humaniz. Comput. 2021, 12, 1069–1080. [Google Scholar] [CrossRef]
- Valasek, J. Small Unmanned Aircraft: Theory and Practice. J. Guid. Control. Dyn. 2013, 36, 344–345. [Google Scholar] [CrossRef]
- Qiu, H.; Duan, H. A multi-objective pigeon-inspired optimization approach to UAV distributed flocking among obstacles. Inf. Sci. 2020, 509, 515–529. [Google Scholar] [CrossRef]
- Ruan, W.-Y.; Duan, H.-B. Multi-UAV obstacle avoidance control via multi-objective social learning pigeon-inspired optimization. Front. Inf. Technol. Electron. Eng. 2020, 21, 740–748. [Google Scholar] [CrossRef]





















| Name | Functions | Dim | M | Characteristics | Space Search |
|---|---|---|---|---|---|
| ZDT1 | 30 | 2 | convex | [0, 1] | |
| ZDT2 | 30 | 2 | nonconvex | [0, 1] | |
| ZDT3 | 30 | 2 | discreteness convex | [0, 1] | |
| ZDT4 | 10 | 2 | convex multimodal | x1 ∈ [0, 1] xi ∈ [−5, 5] | |
| ZDT6 | 10 | 2 | nonconvex | [0, 1] | |
| DTLZ2 | 12 | 3 | convex | [0, 1] | |
| DTLZ4 | 12 | 3 | convex | [0, 1] |
| Algorithms | Population | Iterations | Parameters |
|---|---|---|---|
| IMOCS | 100 | 1000 | amin = 0.1, amax = 0.3, Pa = 0.25, λ = 1.5 |
| NSGAII [2] | 100 | 1000 | |
| SPEAII [4] | 100 | 1000 | |
| MOCS [20] | 100 | 1000 | a = 0.1, Pa = 0.25, λ = 1.5 |
| GD | MOCS | SPEAII | NSGAII | IMOCS | |
|---|---|---|---|---|---|
| ZDT1 | mean | 2.46E-04 | 1.38E-02 | 2.46E-03 | 2.10E-04 |
| Std | 3.59E-05 | 8.46E-03 | 5.95E-04 | 6.17E-05 | |
| best | 1.32E-04 | 7.33E-03 | 1.26E-03 | 4.26E-05 | |
| worst | 3.10E-04 | 5.50E-02 | 3.75E-03 | 3.07E-04 | |
| Wilcox test | + | + | + | ||
| ZDT2 | mean | 1.34E-04 | 1.60E-02 | 4.66E-03 | 9.43E-05 |
| Std | 1.48E-05 | 3.92E-03 | 1.17E-03 | 5.29E-06 | |
| best | 1.08E-04 | 1.10E-02 | 9.46E-04 | 8.32E-05 | |
| worst | 1.67E-04 | 3.04E-02 | 7.44E-03 | 1.06E-04 | |
| Wilcox test | + | + | + | ||
| ZDT3 | mean | 6.40E-04 | 1.07E-02 | 3.81E-03 | 6.19E-04 |
| Std | 2.91E-05 | 3.66E-03 | 4.37E-04 | 3.08E-05 | |
| best | 5.90E-04 | 4.90E-03 | 3.09E-03 | 5.61E-04 | |
| worst | 7.03E-04 | 2.13E-02 | 4.80E-03 | 7.03E-04 | |
| Wilcox test | + | + | + | ||
| ZDT4 | mean | 7.39E-01 | 1.50E+00 | 3.29E+00 | 4.68E-04 |
| Std | 6.50E-01 | 6.04E-01 | 1.29E+00 | 5.93E-05 | |
| best | 1.60E-01 | 3.62E-01 | 1.36E+00 | 3.59E-04 | |
| worst | 3.23E+00 | 2.52E+00 | 6.80E+00 | 5.88E-04 | |
| Wilcox test | + | + | + | ||
| ZDT6 | mean | 5.13E-02 | 4.55E-02 | 1.86E-02 | 7.32E-03 |
| Std | 4.90E-02 | 4.17E-02 | 1.42E-02 | 1.82E-02 | |
| best | 1.16E-04 | 3.52E-04 | 2.97E-03 | 1.14E-04 | |
| worst | 1.65E-01 | 1.43E-01 | 5.14E-02 | 6.80E-02 | |
| Wilcox test | + | + | + | ||
| DTLZ2 | mean | 5.62E-03 | 1.23E-02 | 6.23E-03 | 4.61E-03 |
| Std | 6.62E-03 | 5.73E-03 | 3.59E-03 | 4.22E-03 | |
| best | 2.86E-03 | 5.93E-03 | 3.99E-03 | 1.33E-03 | |
| worst | 3.08E-02 | 3.21E-02 | 2.48E-02 | 2.11E-02 | |
| Wilcox test | + | + | + | ||
| DTLZ4 | mean | 4.66E-03 | 1.85E-02 | 3.09E-03 | 3.79E-03 |
| Std | 3.78E-03 | 4.45E-03 | 1.34E-03 | 4.52E-03 | |
| best | 2.32E-03 | 8.95E-03 | 2.13E-03 | 1.82E-03 | |
| worst | 1.79E-02 | 2.75E-02 | 6.76E-03 | 2.74E-02 | |
| Wilcox test | + | + | − | ||
| W+/W− | 28/0 | 28/0 | 26/2 | ||
| +/−/= | 7/0/0 | 7/0/0 | 6/1/0 |
| IGD | MOCS | SPEAII | NSGAII | IMOCS | |
|---|---|---|---|---|---|
| ZDT1 | mean | 4.85E-03 | 7.96E-02 | 2.64E-02 | 4.59E-03 |
| Std | 2.80E-04 | 1.32E-02 | 6.21E-03 | 1.65E-04 | |
| best | 4.40E-03 | 5.54E-02 | 1.40E-02 | 4.25E-03 | |
| worst | 5.59E-03 | 1.10E-01 | 3.80E-02 | 4.97E-03 | |
| Wilcox test | + | + | + | ||
| ZDT2 | mean | 5.00E-03 | 1.06E-01 | 5.68E-02 | 4.60E-03 |
| Std | 2.31E-04 | 1.52E-02 | 1.05E-01 | 2.51E-04 | |
| best | 4.60E-03 | 7.35E-02 | 2.57E-02 | 4.31E-03 | |
| worst | 5.68E-03 | 1.38E-01 | 6.12E-01 | 5.45E-03 | |
| Wilcox test | + | + | + | ||
| ZDT3 | mean | 5.17E-03 | 8.02E-02 | 3.02E-02 | 5.17E-03 |
| Std | 2.62E-04 | 1.31E-02 | 3.27E-03 | 1.59E-04 | |
| best | 4.68E-03 | 5.33E-02 | 2.38E-02 | 4.75E-03 | |
| worst | 5.82E-03 | 1.06E-01 | 3.77E-02 | 5.38E-03 | |
| Wilcox test | − | + | + | ||
| ZDT4 | mean | 7.06E+00 | 7.64E+00 | 2.17E+01 | 4.60E-03 |
| Std | 6.65E+00 | 3.37E+00 | 8.72E+00 | 2.51E-04 | |
| best | 1.43E+00 | 1.68E+00 | 8.86E+00 | 4.31E-03 | |
| worst | 3.29E+01 | 1.43E+01 | 4.55E+01 | 5.45E-03 | |
| Wilcox test | + | + | + | ||
| ZDT6 | mean | 3.95E-03 | 9.31E-02 | 6.63E-03 | 3.43E-03 |
| Std | 7.45E-04 | 7.23E-02 | 3.75E-03 | 5.62E-04 | |
| best | 2.84E-03 | 1.24E-02 | 2.69E-03 | 2.56E-03 | |
| worst | 5.24E-03 | 2.55E-01 | 1.86E-02 | 4.80E-03 | |
| Wilcox test | + | + | + | ||
| DTLZ2 | mean | 8.54E-02 | 8.91E-02 | 1.11E-01 | 6.95E-02 |
| Std | 3.34E-02 | 3.38E-02 | 7.11E-03 | 3.49E-03 | |
| best | 7.28E-02 | 7.04E-02 | 9.75E-02 | 6.38E-02 | |
| worst | 2.52E-01 | 2.56E-01 | 1.26E-01 | 7.83E-02 | |
| Wilcox test | + | + | + | ||
| DTLZ4 | mean | 7.33E-02 | 7.39E-02 | 2.63E-01 | 7.11E-02 |
| Std | 3.92E-03 | 2.68E-03 | 2.18E-01 | 2.48E-03 | |
| best | 6.79E-02 | 6.83E-02 | 7.64E-02 | 6.57E-02 | |
| worst | 8.88E-02 | 7.87E-02 | 9.31E-01 | 7.78E-02 | |
| Wilcox test | + | + | + | ||
| W+/W− | 24/4 | 28/0 | 28/0 | ||
| +/−/= | 6/1/0 | 7/0/0 | 7/0/0 |
| HV | MOCS | SPEAII | NSGAII | IMOCS | |
|---|---|---|---|---|---|
| ZDT1 | mean | 6.60E-01 | 5.54E-01 | 6.26E-01 | 6.61E-01 |
| Std | 3.82E-04 | 2.41E-02 | 8.90E-03 | 3.57E-04 | |
| best | 6.61E-01 | 6.49E-01 | 6.44E-01 | 6.61E-01 | |
| worst | 6.59E-01 | 5.22E-01 | 6.09E-01 | 6.59E-01 | |
| Wilcox test | + | + | + | ||
| ZDT2 | mean | 3.27E-01 | 2.17E-01 | 2.66E-01 | 7.68E-01 |
| Std | 2.65E-04 | 4.82E-02 | 5.09E-02 | 2.70E-04 | |
| best | 3.27E-01 | 4.61E-01 | 2.90E-01 | 7.68E-01 | |
| worst | 3.26E-01 | 1.81E-01 | 0.00E+00 | 7.67E-01 | |
| Wilcox test | + | + | + | ||
| ZDT3 | mean | 1.04E+00 | 9.20E-01 | 9.69E-01 | 1.04E+00 |
| Std | 1.67E-04 | 2.34E-02 | 7.14E-03 | 1.12E-04 | |
| best | 1.04E+00 | 9.66E-01 | 9.79E-01 | 1.04E+00 | |
| worst | 1.04E+00 | 8.69E-01 | 9.57E-01 | 1.04E+00 | |
| Wilcox test | = | + | + | ||
| ZDT4 | mean | 0.00E+00 | 0.00E+00 | 0.00E+00 | 8.71E-01 |
| Std | 0.00E+00 | 0.00E+00 | 0.00E+00 | 3.41E-04 | |
| best | 0.00E+00 | 0.00E+00 | 0.00E+00 | 8.71E-01 | |
| worst | 0.00E+00 | 0.00E+00 | 0.00E+00 | 8.69E-01 | |
| Wilcox test | + | + | + | ||
| ZDT6 | mean | 3.22E-01 | 2.99E-01 | 3.16E-01 | 7.06E-01 |
| Std | 2.33E-04 | 6.92E-03 | 3.93E-03 | 1.78E-04 | |
| best | 3.22E-01 | 3.11E-01 | 3.21E-01 | 7.06E-01 | |
| worst | 3.21E-01 | 2.79E-01 | 3.07E-01 | 7.05E-01 | |
| Wilcox test | + | + | + | ||
| DTLZ2 | mean | 3.92E-01 | 3.95E-01 | 3.11E-01 | 6.93E-01 |
| Std | 1.66E-01 | 1.65E-01 | 1.12E-01 | 7.66E-03 | |
| best | 1.00E+00 | 1.00E+00 | 8.99E-01 | 7.12E-01 | |
| worst | 3.29E-01 | 3.26E-01 | 2.50E-01 | 6.81E-01 | |
| Wilcox test | + | + | + | ||
| DTLZ4 | mean | 3.77E-01 | 3.67E-01 | 3.17E-01 | 7.08E-01 |
| Std | 7.53E-03 | 5.82E-03 | 8.89E-02 | 8.59E-03 | |
| best | 3.91E-01 | 3.78E-01 | 3.79E-01 | 7.30E-01 | |
| worst | 3.65E-01 | 3.49E-01 | 0.00E+00 | 6.90E-01 | |
| Wilcox test | + | + | + | ||
| W+/W− | 21/0 | 28/0 | 28/0 | ||
| +/−/= | 6/0/1 | 7/0/0 | 7/0/0 |
| Parameters | Values |
|---|---|
| 1 s | |
| 0.75 s | |
| 0.3 s | |
| 1 s | |
| (15, 5) m/s | |
| 10 | |
| (6, −6) m/s |
| UAVi | xi (m) | yi (m) | hi (m) |
|---|---|---|---|
| 1 | 13.8 | 148 | 66.8 |
| 2 | 20.4 | 157.6 | 33.5 |
| 3 | 19.5 | 154.7 | 23.3 |
| 4 | 2.7 | 150.0 | 95.1 |
| 5 | 9.4 | 152.3 | 28.8 |
| Obstaclej | xj (m) | yj (m) | Rj (m) |
|---|---|---|---|
| 1 | 80 | 190 | 5 |
| 2 | 100 | 130 | 5 |
| 3 | 200 | 175 | 5 |
| 4 | 220 | 250 | 5 |
| 5 | 190 | 110 | 5 |
| 6 | 310 | 200 | 10 |
| 7 | 300 | 125 | 10 |
Publisher’s Note: MDPI stays neutral with regard to jurisdictional claims in published maps and institutional affiliations. |
© 2022 by the authors. Licensee MDPI, Basel, Switzerland. This article is an open access article distributed under the terms and conditions of the Creative Commons Attribution (CC BY) license (https://creativecommons.org/licenses/by/4.0/).
Share and Cite
Ye, S.-Q.; Zhou, K.-Q.; Zhang, C.-X.; Mohd Zain, A.; Ou, Y. An Improved Multi-Objective Cuckoo Search Approach by Exploring the Balance between Development and Exploration. Electronics 2022, 11, 704. https://doi.org/10.3390/electronics11050704
Ye S-Q, Zhou K-Q, Zhang C-X, Mohd Zain A, Ou Y. An Improved Multi-Objective Cuckoo Search Approach by Exploring the Balance between Development and Exploration. Electronics. 2022; 11(5):704. https://doi.org/10.3390/electronics11050704
Chicago/Turabian StyleYe, Shao-Qiang, Kai-Qing Zhou, Cheng-Xu Zhang, Azlan Mohd Zain, and Yun Ou. 2022. "An Improved Multi-Objective Cuckoo Search Approach by Exploring the Balance between Development and Exploration" Electronics 11, no. 5: 704. https://doi.org/10.3390/electronics11050704
APA StyleYe, S.-Q., Zhou, K.-Q., Zhang, C.-X., Mohd Zain, A., & Ou, Y. (2022). An Improved Multi-Objective Cuckoo Search Approach by Exploring the Balance between Development and Exploration. Electronics, 11(5), 704. https://doi.org/10.3390/electronics11050704

