Next Article in Journal
A Two-Step Handover Strategy for GEO/LEO Heterogeneous Satellite Networks Based on Multi-Attribute Decision Making
Previous Article in Journal
Design and Fabrication of a Compact Branch-Line Coupler Using Resonators with Wide Harmonics Suppression Band
 
 
Font Type:
Arial Georgia Verdana
Font Size:
Aa Aa Aa
Line Spacing:
Column Width:
Background:
Article

Control Allocation-Based Robust Tracking Control for Overactuated Surface Vessels Subject to Time-Varying Full-State Constraints

College of Intelligent Systems Science and Engineering, Harbin Engineering University, Harbin 150001, China
*
Author to whom correspondence should be addressed.
Electronics 2022, 11(5), 794; https://doi.org/10.3390/electronics11050794
Submission received: 5 February 2022 / Revised: 24 February 2022 / Accepted: 2 March 2022 / Published: 3 March 2022
(This article belongs to the Section Systems & Control Engineering)

Abstract

:
In this paper, we propose a robust tracking control scheme for trajectory tracking of overactuated marine surface vessels subject to environmental disturbances and asymmetric time-varying full-state constraints. The proposed robust control scheme is based on the unified barrier function technique that converts the original constrained dynamic positioning system into an equivalent nonconstrained one. In contrast to barrier Lyapunov function-based methods, the unbreakable requirement on the constraints is less restrictive, and the resultant controller is much simpler in this paper. The effect of environmental disturbances is compensated by a double-layer adaptive sliding mode disturbance observer. On the basis of the proposed adaptive disturbance observer, unknown lumped uncertainty can be estimated in finite time without knowing the upper bounds of the derivative of the lumped uncertainty. Since the surface vessel is overactuated, a control allocation scheme is required to distribute the generalized force signal to the actuators. The enhanced redistributed pseudoinverse algorithm is employed to ensure that the generalized force can be redistributed among the redundant actuators. Lastly, a simulation study is carried out on a dynamic positioning ship to verify the effectiveness of the proposed control method.

1. Introduction

Dynamic positioning (DP) system is a critical piece of equipment in marine surface vessel systems to automatically maintain a desired horizontal position and heading or track the desired motion trajectory by using its own actuators [1]. Examples of vessel types that employ dynamic positioning system include supply vessels, pipe-laying ships, oceanographic research vessels, and rescue ships [2,3,4].
Robust control combined with a disturbance observer technique is a constructive method to suppress feedback gains [5]. The core idea of the disturbance observer is to gather all unknown factors of the system into a single disturbance term and design an additional observer to estimate this unknown term. A finite-time sliding mode active disturbance rejection observer to estimate the unknown external disturbance of multiple ships was proposed in [6]. In [7], a fixed-time disturbance-observer-based controller was designed to handle actuator dead zones and disturbances for underactuated surface vehicles. An adaptive nonlinear disturbance observer was developed to estimate unknown time-varying uncertainties for dynamic positioning of ships in [8]. In [9], a fractional-order disturbance observer was designed by using fractional-order theory to estimate unknown disturbances in dynamic positioning systems. In [10], an adaptive sliding mode control method was proposed. A continuous projection-based adaptive law was adopted to deal with uncertainty and external load thrust, but it was assumed that the upper bound of the uncertainty was known. Most of the methods described above require the use of upper-bound information of the derivative of the disturbance in the design of a disturbance observer.
Dynamic positioning concerns the control of marine surface vessels in the horizontal plane, i.e., the three axes: surge (longitudinal), sway (lateral), and yaw (rotation about the up/down axis). In order for the ship to more efficiently track the desired position, more actuators than necessary for ensuring controllability are generally equipped, in which case the system is referred as overactuated [11]. Another reason for input redundancy is the need to guarantee fault tolerance in the control system [12]. Redundant actuators might take over the tasks of defective ones if necessary. In fault-free cases, they can be used to support the overall actuation of the system. Although actuator redundancy can improve the fault tolerance of the system, it also increases the complexity of the closed-loop control system design. Due to input redundancy in general, infinite combinations of actuator actions result in the same effect on the system [11]. The control-allocation-based method is one strategy to deal with this problem class. In this case, the first high-level control layer operates on the basis of a mathematical system model that neglects redundancy by replacing real actuators with a smaller number of artificial ones. Subsequently, the CA scheme is required to distribute the desired generalized force command from the high-level controller to the redundant actuators, so that the desired generalized force can be produced. The major difficulty of CA is that actuators always exhibit a limited operation range, leading to constrained optimization problems.
There are many methods to solve the control allocation problem (CAP), e.g., dynamic control allocation [13], direct control allocation [14], redistributed pseudoinverse [15], and optimization-based allocation [16]. A dynamic control allocation scheme was proposed in [17], where the resulting control distribution depends both on the generalized force at the current moment and the control distribution in the previous sampling instant, so that the actuator rate constraints can be handled. Direct control allocation schemes can guarantee that the maximal attainable forces without losing the desired direction can be generated within actuator constraints. However, in most cases, direct and optimization-based control allocations often require the control system to have strong computational power; thus, it is usually impossible to be solved quickly online. Practically, the CA problem must be solved within a discrete-time environment with very limited computational resources. Consequently, computational complexity should be kept as small as possible, and efficient implementation is crucial for a successful application. The redistributed pseudoinverse (RPI) method has flexibility on the computational power requirement by limiting the number of iterations per step. It can improve performance even if some actuators are saturated, and it is relatively simple to implement. However, above a certain number of active actuator constraints, the RPI scheme often fails to achieve the desired generalized force signal. To address this problem, a novel enhanced redistributed pseudoinverse (ERPI) algorithm was proposed in [18].
State constraints are ubiquitous in motion control systems. From the perspective of ship navigation safety, it is generally required that the DP system states operate under specific constraints. Ignoring these states constraints possibly degrades system control performance or even results in disasters [19,20]. Therefore, it is essential and desirable to take the system constraints into account in the motion control of DP ships. The barrier Lyapunov function (BLF) is a well-known approach for addressing state constraints [21]. In the BLF-based method, Lyapunov function values grow to infinity if the states approach constraint boundaries. Therefore, it is possible to guarantee that the system state does not violate the constraints by making the BLF bounded. However, in order to prevent violation of state constraints, the virtual control law is always required to satisfy the so-called feasibility conditions. In general, ensuring feasibility conditions tends to be conservative, since the original state constraints are enforced indirectly by imposing transformed constraints on the tracking errors [22]. Although the improved integral BLF-based method can avoid the conservativeness of feasibility conditions, the parameter design process of the integral BLF method is not only complex but also time-consuming [23]. In this paper, instead of employing the commonly used BLF, states constraints are tackled gracefully by introducing unified barrier function (UBF) into the backstepping procedure [24]. By introducing a new coordinate transformation technique, a novel backstepping control strategy which completely avoids the use of feasibility conditions is designed.
Motivated by the above observations, this paper presents a control-allocation-based robust tracking control method for DP ships subject to unknown disturbances, actuator constraints, and asymmetric state constraints. The specific contributions of this paper can be summarized as follows.
(1) A practical robust tracking control approach of the DP ship subject to environmental disturbances and asymmetric state constraints is proposed. The stability of the proposed method is proved, and simulation results are presented to verify its effectiveness.
(2) On the basis of sliding-mode techniques, a novel double-layer adaptive disturbance observer was designed to estimate the lumped uncertainty of the DP ship. Finite-time estimation of uncertainty can be achieved though upper-bound information of the uncertainty, and its derivative is unknown.
(3) By blending the unified barrier function technique into backstepping design, a control strategy completely obviating the feasibility condition was developed to address asymmetric state constraints.
(4) In practical application, actuators are subject to saturation constraints. In order to address this issue, an enhanced redistributed pseudoinverse algorithm was applied to control allocation for the dynamic positioning system.
The paper is organized as follows. Section 2 presents the system description and problem statement. The double-layer adaptive sliding mode disturbance observer and DP controller are presented in Section 3. Control allocation based on the enhanced redistributed pseudoinverse (ERPI) algorithm is proposed in Section 4. Section 5 highlights the controller performance through simulations. Lastly, concluding remarks are drawn in Section 6.
For a given vector = [ 1 , , n ] T , all operations on ∨ are component-wise unless stated otherwise, and these operations operate on each component i of vector ∨ and yield a new vector. Similarly, relational operators that are applied on vectors must be fulfilled element-wise. Further, given a vector ∨, we denote by ∨ diagonal matrix diag ( [ 1 , , n ] T ) . The right null-space of matrix A is denoted by N r ( A ) , and the left null-space is denoted by N l ( A ) . λ ̲ ( A ) and λ ¯ ( A ) are the minimal and maximal eigenvalues of matrix A, respectively. Assignments in algorithms are indicated with the ← operator.

2. Problem Description and Preliminaries

2.1. Mathematical Model of the DP Ship

The 3-DOF DP ship’s dynamics are described mathematically by the kinematic and kinetic equations as follows [1]
η ˙ = J ( η ) ν ν ˙ = M 1 τ M 1 D ( ν ) ν M 1 C ( ν ) ν + M 1 f
where η = [ η 1 , η 2 , η 3 ] T is the position and heading vector in the Earth-fixed frame, and ν = [ ν 1 , ν 2 , ν 3 ] T is the velocity vector in the body-fixed frame. J ( η ) is the state-dependent rotation matrix expressed as
J ( η ) = cos ( η 3 ) sin ( η 3 ) 0 sin ( η 3 ) cos ( η 3 ) 0 0 0 1
with property J ( η ) = 1 . Here, · denotes the two-norm of a vector or a matrix. The parameter matrices are given by
M = m v X u ˙ 0 0 0 m v Y v ˙ m v x g Y r ˙ 0 m v x g Y r ˙ I z N r ˙
C υ = 0 0 ( m v Y v ˙ ) υ ( m v x g Y r ˙ ) r 0 0 ( m v X u ˙ ) u ( m v Y v ˙ ) υ + ( m v x g Y r ˙ ) r ( m v X u ˙ ) u 0
D υ = X u X u u u 0 0 0 Y v Y v v v Y r v r Y r Y v r v Y r r r 0 N v N v v v N r v r N r N v r v N r r r
where m v is the mass of the DP ship, x g is the distance from the origin of the body-fixed frame to the center of gravity of the vehicle. X * , Y * , Z * are the corresponding hydrodynamic derivatives. τ = [ τ 1 , τ 2 , τ 3 ] T is the generalized force vector produced by the propulsion system.
The vector f R 3 is the environmental disturbances caused by wave, current, and wind loads. The disturbance considered in this manuscript refers to the lumped uncertainty that exists in the control channel, which is also called matching disturbance in many literatures. For dynamic positioning of ships, it mainly includes second-order wave-induced forces. Generally speaking, in simulations, marine environmental disturbances can be modeled by a 1st order Markov process [16]:
f = J T ( η ) b b ˙ = A b 1 b + B b w b
where w b R 3 is the vector of Gaussian white noise, A b is the diagonal matrix of positive time constants, and B b is a diagonal matrix scaling the amplitude of the noise.

2.2. Preliminaries

Before presenting the main results, we recall some lemmas used in subsequent controller design.
Lemma 1.
Consider the following scalar system
x ˙ = m c n a 1 b x ( m n ) / ( m ) + b x ( m + n ) / ( m )
where a , b , c are positive integers, n > 0 is an even integer, and m > n is an odd integer. Then, the equilibrium of System (7) is finite-time stable, and settling time is given by
T f = a c tan 1 ( b x n / m ( 0 ) ) < ( a π ) / ( 2 c )
Proof. 
Consider Lyapunov function V ( x ) = x n / m 0 . Differentiating V ( x ) along System (7) yields
d V d t = c a 1 b + b V 2
Thus, System (7) is global finite-time stable. Furthermore, integrating both sides of Equation (8) obtains
a tan 1 ( b V ( x ( t ) ) = a tan 1 ( b V ( x ( 0 ) ) ) c t
Since function tan 1 ( b V ) is monotonically increasing, tan 1 ( b V ) = 0 if and only if V = 0 . Thus, we can obtain settling time as follows
T f = a c tan 1 ( b x n / m ( 0 ) ) < ( a π ) / ( 2 c )
This completes the proof. □
Lemma 2
([25]). Consider the dynamics of system
σ ˙ ( t ) = a ( t ) + u s ( t )
where σ ( t ) is the sliding variable state, u s ( t ) is the control input to be designed, and a ( t ) is uncertainty that satisfies condition | a ˙ ( t ) | < a 1 , where bound a 1 is an unknown constant. Consider control input
u s ( t ) = ( k s ( t ) + η s ) sgn ( σ ( t ) )
where k s ( t ) is a varying term that satisfies the following double-layer adaptive scheme, and η s is a positive constant.
k ˙ s ( t ) = [ R s + r s ( t ) ] sgn ( δ s ) r ˙ s ( t ) = γ s | δ s ( t ) | , if   | δ s ( t ) | > Δ s 0 , otherwise
where
δ s ( t ) = k s ( t ) 1 α s | u ¯ s | ϵ s , u ¯ ˙ s = 1 τ s ( u ¯ s + u s )
If there exist positive parameters α s < 1 , ϵ s , Δ s , γ s satisfying the following condition:
1 4 ϵ s 2 > Δ s 2 + 1 γ s q s a 1 α s 2
where q s > 1 is a safety margin chosen to ensure q s a 1 > | u ¯ ˙ s | , then control input (10) combined with the double-layer adaptive law (11) ensures that the system produces sliding motion in finite time.
In order to deal with the asymmetric state constraints, the unified barrier function (UBF) was constructed as follows [24]:
ϕ u = ϕ o k ¯ l ϕ o k l ( t ) + ϕ o k ̲ h k h ( t ) ϕ o
where ϕ o and ϕ u are the original state and transformed scalar function variable, respectively. k ̲ h and k ¯ l obeying Inequalities (14). Obviously, ϕ u ± as ϕ o approaches k l ( t ) and k h ( t ) .
k l ( t ) < k ¯ l and k h ( t ) > k ̲ h
Remark 1.
The UBF technique is used in this paper to convert the original constrained systems into an unconstrained system. As analyzed in [24], UBF can handle asymmetric time-varying state constraints without changing the function structure. Therefore, we can use this property to handle position and velocity constraints of the marine surface vessel. Only being concerned with stabilizing the unconstrained system facilitates the selection of controller parameters.

2.3. Problem Formulation and Objective

The control objective of this paper is to develop a control law for DP ships subject to simultaneous external disturbances and state constraints. The full state dynamic constraint set is defined as:
⨿ : = { ( η , ν ) R 6 : α l ( t ) < η < α h ( t ) , β l ( t ) < ν < β h ( t ) }
where α l ( t ) , α h ( t ) , β l ( t ) and β h ( t ) are asymmetric time-varying vectors. For simplicity, we use α l instead of α l ( t ) if there is no confusion. Specifically, in this paper, we consider state constraints, that is, constraints of the position and velocity of the ship. There are many reasons to consider the state constraints; two common reasons are as follows: (i) collision avoidance: avoiding collisions between ships by introducing safety margins, which is often the case in multiship formation control; (ii) safety: the vessel must be able to maneuver without exceeding the maximal speed and turning rate.
The overall structure of the proposed DP controller is depicted in Figure 1. The DP controller is composed of two parts: high-level controller and control allocation module. The high-level controller determines a designed generalized force signal τ that serves as the input of the control allocation unit. The CA algorithm is implemented on an intermediate layer. It distributes the desired generalized force signal among the redundant actuators. The benefits of the CA-based control approach include: (1) modular control system that is straightforward to understand and maintain; (2) actuator constraints are explicitly considered in the CA algorithm; (3) actuator faults may be easily considered in the CA unit. The control objective of this paper is twofold: (1) for any bounded initial state condition [ η ( 0 ) , ν ( 0 ) ] T ⨿ , asymmetric state constraints are not violated; (2) all signals of the dynamic positioning system are uniformly ultimately bounded.

3. High-Level Controller Design

3.1. Disturbance Observer Design

In this section, we construct a novel double-layer adaptive sliding-mode disturbance observer (ASMDO) to estimate lumped uncertainty f. First, auxiliary state estimation error e o R 3 is defined as
e o = z ν
where z R 3 is the auxiliary variable vector and has the following dynamic:
z ˙ = M 1 τ M 1 D ( ν ) ν M 1 C ( ν ) ν m c n a b e o m n m m c b n a e o m + n m + v z
where a > 0 , b > 0 and c > 0 are positive design parameters, n > 0 is an even positive integer, m > n is an odd positive integer. v z R 3 is the switching term to be designed.
Differentiating (16) and then substituting (1) and (17) into the result yields
e ˙ o = m c n a b e o m n m m c b n a e o m + n m + v z M 1 f
Define a sliding variable
S = e ˙ o + m c n a b e o m n m + m c b n a e o m + n m
Then, the derivative of the sliding variable is given by
S ˙ = v ˙ z M 1 f ˙
Switching term v z was designed as follows
v ˙ z = ( k o ( t ) + η o ) sgn ( S )
where η o = [ η o , 1 , η o , 2 , η o , 3 ] T , k o ( t ) = [ k o , 1 ( t ) , k o , 2 ( t ) , k o , 3 ( t ) ] T , η o , i is a small positive design constant, k o , i ( t ) is a time-varying scalar term. In view of (20) and (21), we can derive that
S ˙ = ( k o ( t ) + η o ) sgn ( S ) M 1 f ˙
If k o ( t ) > | M 1 f ˙ | is guaranteed, then states enter the sliding mode surface in finite time. To improve the practicability of the adaptive law, inspired by Lemma 2, gain k o , i ( t ) is updated by the following double-layer adaptive law:
k ˙ o , i ( t ) = [ R o , i + r o , i ( t ) ] sgn ( δ o , i ) , i = 1 , 2 , 3
r ˙ o , i ( t ) = γ o , i | δ o , i ( t ) | , if   | δ o , i ( t ) | > Δ o , i 0 , otherwise
where Δ o , i and γ o , i are parameters to be designed, and R o , i is a fixed positive scalar. Variables δ o , i ( t ) and u ¯ e q , i are defined as
u ¯ ˙ e q , i = 1 τ o , i [ v ˙ z , i u ¯ e q , i ] , i = 1 , 2 , 3
δ o , i ( t ) = k o , i ( t ) 1 α o , i | u ¯ e q , i | ϵ o , i , i = 1 , 2 , 3
where τ o , i is a small time constant, and 0 < α o , i < 1 , ϵ o , i > 0 are positive parameters to be designed (see Theorem 1).
Assumption A1.
For DP systems, parameter M = M T > 0 is positive definite. The uncertain disturbance signal of the system has a norm-bounded second time derivative except for a set of measure zero, i.e., | ( M 1 f ¨ ) [ i ] | L i < + .
Theorem 1.
For DP System (1), consider the ASMDO as (17) and (21) in which the gain is updated by the double-layer adaptive law given by Equations (23) and (24). Positive parameters 0 < α o , i < 1 , Δ o , i , γ o , i and ϵ o , i are chosen, such that inequality
1 4 ϵ o , i 2 > Δ o , i 2 + 1 γ o , i q o , i L i α o , i 2 , i = 1 , 2 , 3
holds, where q o , i > 1 is a positive design parameter chosen to ensure q o , i L i > | u ¯ ˙ e q , i | . Then, condition k o , i ( t ) > | ( M 1 f ˙ ) [ i ] | is achieved in finite time, which guarantees a persistent sliding motion. Consequently, e o converges to zero; then, the estimation of the disturbance is obtained as
f ^ = M v z
Proof. 
Consider System (20) under double-layer adaptive laws (23) and (24), it can be easily proven by using Lemma 2 that sliding mode variable S converges to zero in a finite time T d . As a result, by using (19), one obtains
e ˙ o = m c n a b e o ( m n ) / m m c b n a e o ( m + n ) / m
Furthermore, using Lemma 1, it is obvious from (27) that e o converges to zero in a finite time, and corresponding reaching time is T = T d + T f . Lastly, according to the definition of sliding variable (18), it is concluded that disturbance estimation (26) can converge to its true value f. □
Remark 2.
Different from the existing DO, the proposed ASMDO has two main advantages. (1) By introducing fractional power, the proposed ASMDO has the finite-time convergence property. (2) The assumption about upper-bound information of the derivative of disturbances that is required in traditional DO design procedure is relaxed. Such features contribute to the proposed DO’s excellent estimation performance and easy implementation in practice. To deal with the unknown upper bound of external disturbance, adaptive sliding mode backstepping control was proposed in [26]. However, the monotonicity of the single-layer adaptive law is too conservative in practical applications because the estimated value of the disturbance bound cannot be reduced as disturbance decays. Double-layer adaptive law is introduced in the design of the DO. Although upper-bound information of the disturbances and their derivative is no longer needed, the order of the upper bound of the second derivative of the disturbances is still required. In fact, Inequality (25) is only a sufficient condition for sliding motion. In order to satisfy it, it is not required to exactly know magnitude L i . However, by selecting a sufficiently large adaptive gain γ o , i (to dominate L i ), for any value of Δ o , i , q o , i , L i and α o , i there always exists an ϵ o , i to ensure that Inequality (25) is satisfied.
Remark 3.
The robustness of the proposed control method mainly refers to the introduction of two safety margin parameters α o , i and ϵ o , i in the design of the adaptive sliding-mode disturbance observer. More specifically, during sliding motion, so-called equivalent control u e q , i must exactly cancel unknown uncertainty ( M 1 f ˙ ) [ i ] . Although the equivalent control was conceived as an abstraction to allow for the analysis of the reduced-order sliding motion, a close approximation u ¯ e q , i can be obtained in real time by low-pass filtering of switching signal (21). In observer design, equivalent control approximation u ¯ e q , i was used to construct the adaptive algorithm for k o , i . To improve the robustness of the ASMDO, safety margin parameters α o , i and ϵ o , i were introduced to ensure that approximation u ¯ e q , i satisfied | u ¯ e q , i | / α o , i + ϵ o , i > | u e q , i | . Further, parameter q o , i > 1 is a safety margin parameter chosen to ensure q o , i L i > | u ˙ e q , i | . For a more detailed description, please refer to [25].

3.2. Robust Tracking Controller Design

In this subsection, combining the disturbance observer and dynamic surface control technique, the design for the robust tracking controller based on UBF is shown for the DP ship. The detailed process of controller design is given by the three following steps:
Step (1). Define UBFs for DP system as
η u = η α ¯ l η α l + η α ̲ h α h η ν u = ν β ¯ l ν β l + ν β ̲ h β h ν
The expression for η u and ν u in (28) can be rewritten as
η u = H a η + H b ν u = N a ν + N b
where
H a = α ¯ l α l + α h α ̲ h ( η α l ) ( α h η ) , H b = α l α ̲ h α ¯ l α h ( η α l ) ( α h η )
N a = β ¯ l β l + β h β ̲ h ( ν β l ) ( β h ν ) , N b = β l β ̲ h β ¯ l β h ( ν β l ) ( β h ν )
which are all well-defined in set ⨿. In addition, let
H c = H a 1 H b = α l α ̲ h α ¯ l α h α ¯ l α l + α h α ̲ h N c = N a 1 N b = β l β ̲ h β ¯ l β h β ¯ l β l + β h β ̲ h
which are also well-defined in set ⨿. Then, it is deduced from (29) that, for any ( η , ν ) ⨿ , we have
η = H a 1 η u H c ν = N a 1 ν u N c
The time derivative of η u and ν u can be presented as
η ˙ u = H 1 η ˙ + H 2 ν ˙ u = N 1 ν ˙ + N 2
where
H 1 = α ¯ l α l ( η α l ) 2 + α h α ̲ h ( α h η ) 2 , H 2 = ( η α ¯ l ) α ˙ l ( η α l ) 2 ( η α ̲ h ) α ˙ h ( α h η ) 2
N 1 = β ¯ l β l ( ν β l ) 2 + β h β ̲ h ( β h ν ) 2 , N 2 = ( ν β ¯ l ) β ˙ l ( ν β l ) 2 ( ν β ̲ h ) β ˙ h ( β h ν ) 2
It is easy to verify that H 1 , H 2 , N 1 and N 2 are all well-defined in set ⨿ and can be used for DP controller design.
Substituting DP System (1) into (32) yields
η ˙ u = H 1 J ( η ) N a 1 ν u H 1 J ( η ) N c + H 2 ν ˙ u = N 1 ( M 1 τ M 1 D ( ν ) ν M 1 C ( ν ) ν + M 1 f ) + N 2
where η = H a 1 η u H c , ν = N a 1 ν u N c . Therefore, the original control problem with constraints is transformed into an unconstrained control problem.
Step (2). Define tracking error
e c = η η d
where η d R 3 is the desired trajectory vector. The new desired trajectory constructed by UBF can be defined as
η u d = η d α ¯ l η d α l + η d α ̲ h α h η d
Then, the new UBF tracking error is defined as
e 1 = η u η u d
Furthermore, in light of (28), original tracking error e c and transformed UBF tracking error e 1 have the following relationship:
e 1 = δ e c
where
δ = α ¯ l α l ( η α l ) ( η d α l ) + α h α ̲ h ( α h η ) ( α h η d )
Differentiating e 1 , we can obtain
e ˙ 1 = η ˙ u η ˙ u d = H 1 J N a 1 ν u H 1 J N c + H 2 η ˙ u d
where H 1 , H 2 , N a and N c are given by Equations (29) and (32).
Virtual control input ν u d is chosen as
ν u d = N a N c + N a J T H 1 1 ( H 2 + η ˙ u d K 1 e 1 )
where K 1 R 3 × 3 is a positive definite symmetric matrix to be designed. In this paper, we used the dynamic surface control technique to avoid the tedious derivative of virtual control input ν u d . Let ν u d pass through first-order low-pass filter
T v ν ¯ ˙ u d = ν ¯ u d + ν u d
where ν ¯ u d R 3 is the output of the low-pass filter, and T v > 0 is a design constant denoting the bandwidth of the filter. Filter error is defined as
e f v = ν ¯ u d ν u d
Step (3). Define virtual velocity error vector e 2 as
e 2 = ν u ν ¯ u d
Differentiating e 2 , we can obtain
e ˙ 2 = N 1 ( M 1 τ M 1 D ( ν ) ν M 1 C ( ν ) ν + M 1 f ) + N 2 + e f v / T v
Then, control law τ was designed as
τ = C ( ν ) ν + D ( ν ) ν f ^ + M N 1 1 N 2 e f v T v K 2 e 2 N a 1 J T H 1 e 1
where K 2 R 3 × 3 is the positive definite gain matrix, and f ^ is estimated by the adaptive sliding mode disturbance observer in Theorem 1.
Theorem 2.
Consider the DP ship (1) with uncertain environmental disturbances and asymmetric time-varying state constraints under Assumption 1 and the robust tracking controller (45) based on UBF (28), the disturbance observer (17) and (21), the first-order filter (41). Then, the control objective can be guaranteed by selecting proper parameter T v and gain matrices K 1 and K 2 such that 2 1 > 0 / b v .
Proof. 
The Lyapunov function candidate was chosen as
V = 1 2 e 1 T e 1 + 1 2 e 2 T e 2 + 1 2 e f v T e f v
The time derivative of Lyapunov function along state trajectories (39), (41), and (44) can be presented as:
V ˙ = e 1 T e ˙ 1 + e 2 T e ˙ 2 + e f v T e ˙ f v = e 1 T H 1 J N a 1 e f v e 1 T K 1 e 1 + e 2 T N 1 M 1 f ˜ e 2 T K 2 e 2 e f v T e f v T v e f v T ν ˙ u d
where f ˜ = f f ^ . Then, according Young’s inequality, we have
e 1 T H 1 J N a 1 e f v 1 2 ϵ 1 e 1 T H 1 2 e 1 + 1 2 ϵ 1 e f v T N a 2 e f v e 2 T N 1 M 1 f ˜ 1 2 ϵ 2 e 2 T N 1 2 e 2 + 1 2 ϵ 2 f ˜ T M 2 f ˜ e f v T ν ˙ u d 1 2 ϵ 3 ν ˙ u d T ν ˙ u d + 1 2 ϵ 3 e f v T e f v
Then, (47) can be further expressed as
V ˙ e 1 T ϝ 1 e 1 e 2 T ϝ 2 e 2 e f v T ϝ 3 e f v + ϝ 0
where ϝ 1 = K 1 ϵ 1 2 H 1 2 , ϝ 2 = K 2 ϵ 2 2 N 1 2 , ϝ 3 = 1 T v 1 2 ϵ 1 N a 2 1 2 ϵ 3 , ϝ 0 = 1 2 ϵ 2 f ˜ T M 2 f ˜ + ϵ 3 2 ν ˙ u d T ν ˙ u d .
Consider compact set Π { ( e 1 , e 2 , e f v ) | V b v , b v > 0 } in R 9 . First, the proposed ASMDO converges in finite time, which implies that error f ˜ is bounded. N a , H 1 and H 2 are bounded for all initial conditions ( η ( 0 ) , ν ( 0 ) ) in set ⨿. According to (46), e 1 , e 2 and e f v are bounded too. Then, from (40), virtual control input ν u d is bounded. Since ν u = e 2 + e f v + ν u d , it follows that ν u is bounded. Consequently, ν is confined within set ⨿, and η ˙ u is bounded due to (32). According to the definition of η u d , and selecting desired trajectory η d belonging to set ⨿ ensures that η ˙ u d , η ¨ u d L . Further recalling Equation (39), e ˙ 1 is bounded. It is clear from (40) that ν ˙ u d is a continuous function; consequently, ν ˙ u d has a maximal value on Π . Lastly, two-norm ϝ 0 has maximal 0 on Π .
Then, according to the Rayleigh–Ritz theorem, (49) can be further transformed as
V ˙ 2 1 V + 0
where 1 = min { λ ̲ ( ϝ 1 ) , λ ̲ ( ϝ 2 ) , λ ̲ ( ϝ 3 ) } . As long as we choose 2 1 > 0 / b v , then V ˙ 0 on the level set V = b v . Therefore, compact set Π is forward invariant, indicating that V ( t ) b v , t 0 . As a direct result, (50) holds for all initial conditions lying in the compact set Π and time t 0 .
Solving (50), we have
V ( t ) 0 2 1 ( 1 exp ( 2 1 t ) ) + V ( 0 ) exp ( 2 1 t )
Equation (51) clearly shows that Lyapunov function V ( t ) is uniformly bounded for all V ( 0 ) b v . Therefore, in light of (46), e 1 , e 2 and e f v are bounded. Since ν u = e 2 + e f v + ν u d , which implies that ν u is bounded for all time. Further according to the definition of UBF (28), states η and ν of the DP system are always confined within constraint set (15). All signals in the closed-loop system are, therefore, bounded for any initial state condition V ( 0 ) < b v . We can deduce that original tracking error e c is bounded from Equation (37). Further, (50) can be transformed into V ˙ < 1 e 1 T e 1 + 0 ; Ω e 1 = { e 1 R 3 : e 1 0 / 1 } is a forward invariant set. Then, according to the Equation (37), the forward invariant set for original tracking error e c can be obtained as Ω e c = { e c R 3 : e c 1 δ 0 / 1 } . Moreover, 0 can become arbitrarily small by choosing small positive parameter ϵ 3 > 0 ; consequently, the DP ship can track desired trajectory η d with arbitrarily small error. □
Remark 4.
In existing studies on tracking control for surface vessels, research on full-state constraints seldom considers asymmetric constraints. To the best of the authors’ knowledge, this is the first time that unified barrier function technique is applied to vessel tracking control to deal with asymmetric time-varying constraints. In addition, a novel double-layer adaptive sliding mode disturbance observer was designed by fusion of sliding mode technique and finite-time stability theory to estimate the lumped uncertainty of the surface vessel system. In contrast to existing disturbance observers, finite-time estimation of uncertainty can be achieved, though the bound of the derivative of the uncertainty is unknown.

4. Formulation of Control Allocation

In this section, control allocation is solved by using the ERPI algorithm to determine the thrust and direction of each actuator. For DP ships, generalized force signal τ is related to the control input through equation
τ = G ( α ) u c
with
G ( α ) = cos ( α i ) sin ( α i ) l x , i sin ( α i ) l y , i cos ( α i )
where α i denotes the angle between the force of the i-th actuator and surge direction, ( l x , i , l y , i ) is the location of the i-th actuator in the body-fixed frame, and u c R m × 1 is the actuator commands.
For ships, additional control inputs α given by an azimuth thruster lead to a nonlinear optimization problem, which is nontrivial to solve. To this end, the extended thrust vector is constructed by decomposing the individual thrust vector in the horizontal plane according to
u A , i = u x , i u y , i = u c , i cos ( α i ) u c , i sin ( α i )
where subscript ( A , i ) denotes the i-th azimuth thruster, u x , i and u y , i represent the equivalent control inputs for the i-th azimuth thruster. Then, the generalized force vector is given by the linear equation
τ = 1 0 1 0 0 0 0 1 0 1 1 1 l y , 1 l x , 1 l y , m A l x , m A l x , m A + 1 l x , m B u u
where u [ u A , 1 , , u A , m A , u T , 1 , , u T , m T ] T , with u T , i stands for the thrust of the i-th transverse tunnel thrusters. m A and m T denote the number of azimuth thrusters and transverse tunnel thrusters, respectively. Let μ = 2 m A + m T , then the matrices B u R 3 × μ and u R μ .
Consider 3-dimensional (3-D) generalized force Equation (54); then, the system is called input-redundant if N r ( B u ) 0 . Thus, for any u 0 N r ( B u ) , u N r ( B u ) , we have B u u = B u ( u + u 0 ) . In other words, B u does not have full column rank, so perturbations of u in null-space directions do not affect system dynamics. This enables an input matrix factorization of B u into a virtual input matrix B v R 3 × 3 and a control effectivity matrix B R 3 × μ , i.e.,
B u = B v B
with both of their ranks being
rank ( B v ) = rank ( B ) = 3
Then, we have
τ = B v v v = B u
where v R 3 is called the virtual control vector, the control effectivity matrix B characterizing the relationship between v and u. Typically, actuators are subject to constraints that define the feasible subset of μ -D control space
Ω = { u R μ | u ̲ u u ¯ }
Remark 5.
Definition Ω nvagnitude and rate of actuator actions. All these can be treated as time-varying bounds in principle. Due to the fact that CA is carried out in each step, bounds are still considered to be constant during one execution cycle. The CA problem is to find a control command u Ω that fulfils (57) for given desired generalized force τ and virtual input matrix B v . However, this goal can be unachievable if the desired τ exceeds the capabilities of the actuators because of constraints. In such situations, the objective of the CA algorithm is to minimize the allocation error in some sense.

4.1. Weighted Pseudoinverse

As weighted pseudoinverse (WPI) algorithm is the basis of the ERPI control allocation method, the WPI is first introduced. Since the unconstrained CA problem theoretically has an infinite number of solutions, a reasonable choice is to choose the solution with the lowest energy consumption. Pseudoinverse algorithm is a common way to solve this CA problem and can be expressed as follows:
min u J = min u 1 2 ( u + ζ ) T W ( u + ζ ) s . t . B u = v
where W R μ × μ is a weighting matrix, and ζ R μ is an offset vector. The purpose of ζ is to specify preferred control positions or to account for saturated actuators. To solve this constrained optimization problem, the Lagrangian function was designed as follows:
L = 1 2 ( u T W u + ζ T W u + u T W ζ + ζ T W ζ ) + λ T ( B u v )
where λ R 3 is the Lagrangian multiplier. Taking the partial derivatives of L w.r.t. u and λ yields
L u = u T W + ζ T W + λ T B = 0 W u = B T λ W ζ L λ = ( B u v ) T = 0 B u = v
Using (61), virtual control v can be obtained as follows:
v = B u = B W 1 W u = B W 1 ( B T λ W ζ )
Solving (62), we have
λ = ( B W 1 B T ) 1 ( v + B ζ )
From (61) and (63), the closed-form solution of CA problem is derived as
u = W 1 B T λ ζ = W 1 B T ( B W 1 B T ) 1 B # ( v + B ζ ) ζ
where B # is weighted pseudoinverse; if W = I , B # = B is the Moore–Penrose pseudoinverse.

4.2. Enhanced Redistributed Pseudo-Inverse

If all of the actuator constraints are inactive, the optimal solution is obtained by the weighted pseudoinverse (WPI) as in (64). However, if inequality constraints are violated, that is, some elements of u exceed the limits (58), recalculation is necessary to obtain an optimal solution within limits.
For the convenience of describing the RPI algorithm, a new matrix variable B r is defined that is modified at each step of the iteration. If an actuator triggers saturation, corresponding element u i is set to its saturation value, the corresponding column of B r is set to zero, and a reduced pseudoinverse B r # is computed. The offset vector ζ N = [ ζ 1 N , , ζ μ N ] T of the N-th iteration is calculated by
ζ i N = u ¯ i , if u i N 1 u ¯ i u ̲ i , if u i N 1 u ̲ i 0 , otherwise
Then, the solution of RPI is obtained as
u N = ζ N + W 1 B r T ( B r W 1 B r T ) 1 B r # ( v + B 0 ζ N )
where B 0 = B denotes the original control effectivity matrix.
From (66), the resulting actual control after the application of RPI is obtained:
v a c t = B 0 u N = B 0 ζ N + B 0 B r # v d e s + B 0 B r # B 0 ζ N
where v d e s is the desired virtual control input vector. Obviously, sufficient conditions for the desired v d e s can be achieved as
B 0 B r # = I 3
Let j be the number of actuators that did not trigger saturation after executing the RPI algorithm, and k be the generalized force space dimension (here, k = 3 ). The authors in [18] showed that, in the case of a lack of j < k and B r # , desired virtual control input v d e s is not reached any more by the RPI algorithm because B B r # I 3 . On this basis, a new enhanced redistributed pseudoinverse (ERPI) control allocation algorithm was proposed in [18]. If an exact solution cannot be achieved due to actuator saturation, the errors of those components with high priority are forced to zero in preference. This goal is achieved by altering the factorization (57) during execution. The following is a summary of the ERPI method:
Step (1) Find pseudoinverse resolution (64) of the system. If no actuator triggers the saturation, the process stops, and the WPI solution (64) is used.
Step (2) If any actuator triggers the saturation bound, recalculate modified matrix B r and offset ζ according to (65).
Step (3) If j k , CA problem is solved again according to (66). This process is repeated until no new saturation is triggered or j < k .
Step (4) If j < k , let B ˜ R k × j be the columns of B r corresponding to the actuators that do not trigger saturation. Select j rows of B ˜ with indices equal to the first j entries of the priority list and refer to that matrix as B ˜ j R j × j . The remaining rows of B ˜ are called B ˜ k j R ( k j ) × j .
Step (5) If det ( B ˜ j ) = 0 , the RPI solution (66) is used.
Step (6) If det ( B ˜ j ) 0 , choose an arbitrary full column rank matrix T ¯ k j R k × ( k j ) and compute a basis of its left null-space N T R k × j . Evaluate T ¯ j = ( N T T B ˜ k j T T ¯ k j T ) T B ˜ j 1 to obtain the inverse transformation matrix T ¯ = T ¯ j T ¯ k j with T ¯ R k × k .
Step (7) Use B T ¯ B , B v B v T ¯ 1 and v T ¯ v to transform B ( B 0 ) , B v and v d e s . Then, T ¯ is used to reformulate (66) as:
u ^ N = ζ N + ( T ¯ B r ) # T ¯ ( v + B ζ N )
Step (8) The algorithm is stopped and the ERPI solution (69) is used if no new saturation is triggered or j = 0 . Otherwise, go to step 2 again.
Remark 6.
Because modified matrix B r W 1 B r T typically becomes singular at some point, it is necessary to replace it by a regularized matrix B r W 1 B r T + ϵ I 3 , where ϵ > 0 is a small regularization parameter.

5. Simulation

In this section, simulation results are presented to confirm the effectiveness of the proposed CA-based robust tracking control scheme. The numerical values of all hydrodynamic coefficients are given in Table 1. The diagram of the thruster distribution is shown in Figure 2. The ship has three azimuth thrusters A 1 , A 2 and A 3 , and two transverse tunnel thruster T 4 and T 5 . It is easy to verify that this actuator configuration is designed with sufficient redundancy for the ship to have the capability to maintain position after any single fault in the thruster. It is assumed that each azimuth thruster can rotate 360 degrees. Moreover, taking l x , 1 = l x , 2 = 19.1 , l y , 1 = l y , 2 = 5.91 , l x , 3 = 18.5 , l x , 4 = 30 , l x , 5 = 35 . For simplicity, the actual output limits of thrusters are given by u ¯ i = u ̲ i = 145,000, i = 1 , , 8 . In addition, the initial values of ASMDO are selected as k o ( 0 ) = [ 1 × 10 4 , 1 × 10 5 , 1 × 10 5 ] T , v z ( 0 ) = [ 0 , 0 , 0 ] T and z ( 0 ) = [ 0 , 0 , 0 ] T . The initial position and velocity of the ship are given as η ( 0 ) = [ 10 , 10 , 0 ] T and ν ( 0 ) = [ 0 , 0 , 0 ] T , respectively. The other control parameters are given in Table 2.
In order to better show the superiority of the proposed ASMDO, the following adaptive nonlinear disturbance observer (ANDO) proposed in [8] and sliding mode disturbance observer (SMDO) proposed in [6] were constructed to compare performance.
( ANDO ) f ^ = h + K a M ν h ˙ = K a f ^ K a ( D ( ν ) ν C ( ν ) ν + τ )
where K a is selected as K a = diag ( [ 5 , 5 , 5 ] ) in the simulation.
( SMDO ) f ^ = v s M z ˙ = D ( ν ) ν C ( ν ) ν + τ + v s v s = Λ 1 e o Λ 2 e o p s / q s L sgn ( e o )
where e o = z v , the design parameters of SMDO were selected to be Λ 1 = diag ( [ 5 , 5 , 5 ] ) , Λ 2 = diag ( [ 5 , 5 , 5 ] ) , p s = 3 , q s = 5 , L = diag ( [ 3 × 10 5 , 3 × 10 5 , 1.5 × 10 7 ] ) in the simulation. Moreover, to validate the performance of the ASMDO proposed in our paper, simulations are done in two different disturbance cases:
  • Continuous type disturbance. The disturbance vector is designed as follows
    f = 4 e 5 ( 0.5 sin ( 0.1 t ) 0.4 cos ( 0.2 t ) 0.2 ) 7 e 4 ( sin ( 0.3 t ) + cos ( 0.5 t ) 2 cos ( 0.2 t ) ) 8 e 6 ( 0.5 sin ( 0.2 t ) + 0.3 cos ( 0.3 t ) + 1.2 sin ( 0.2 t ) )
  • Step-type disturbance. Disturbance is represented by f = J T b , where b is the output of the 1st order Markov process (6). The band-limited white-noise block with sample time 2 [s] and noise power [ 200 , 200 , 1500 ] was used in Simulink to generates the white noise. The initial value for Markov process was selected to be b ( 0 ) = [ 1.5 × 10 5 , 1.5 × 10 5 , 6 × 10 6 ] T . According to [16], parameter matrices were chosen to be A b = d i a g ( [ 1 × 10 3 , 1 × 10 3 , 1 × 10 3 ] ) and B b = d i a g ( [ 3 × 10 3 , 3 × 10 3 , 3 × 10 4 ] ) .
Simulation results are presented in Figure 3 and Figure 4. First, Figure 3 shows that, for continuous-type disturbance, although the adaptive nonlinear disturbance observer (ANDO) can achieve effective estimation, its estimation error is relatively large. This is because the ANDO can theoretically only guarantee that the estimation error is bounded [8]. In addition, due to the use of a fixed switching gain L in (71), the chattering of the sliding mode disturbance observer (SMDO) is significant. This leads to a large chattering phenomenon in the sliding surface. The adaptive sliding mode disturbance observer (ASMDO) designed in this paper can both estimate unknown disturbance in finite time and, due to using the double-layer nested adaptive gain k o rather than a fixed gain L, ensure low chattering in the sliding mode, achieving an accurate estimation of disturbance, even if the bound of the derivative of the disturbance is unknown. Adaptive switching gain k o is shown in Figure 3, varying relative to | f ˙ | . In the simulation, k o closely follows | M 1 f ˙ | , which is a sufficient condition to enforce a finite-time sliding motion in (20). Further, from Figure 4, we can learn that the proposed ASMDO can successfully achieve a better estimation than ANDO and SMDO, even for the discontinuous disturbance.
Command reference signal η c is given by
η c = [ 0.1 t 2 10 , 10 , 0 ] T , if t 10 [ sin ( 0.2 t 2 ) , 10 cos ( 0.2 t 2 ) , 0.2 t 2 ] T , else
To obtain the differentiable commands, desired reference command η d is generated by the following filter
η d η c = w N 2 s 2 + 2 ζ N w N s + w N 2
where w N = 0.5 , ζ N = 0.7 . Meanwhile, to satisfy trajectory tracking requirements, constraining functions α h and α l are selected by
α h = η d + a h , α l = η d a l
where
a h = 0.2 ( 1 0.2 sin ( 0.3 t + 2 ) ) 0.2 ( 1 + 0.2 cos ( 0.3 t ) ) 1 + 0.2 sin ( 0.3 t ) , a l = 0.2 ( 1 0.2 cos ( 0.2 t ) ) 0.2 ( 1 + 0.2 sin ( 0.2 t ) ) 1 0.2 cos ( 0.3 t )
Further, constraining functions β h and β l are selected by
β h = 5 ( 1 0.2 sin ( 0.09 t + 2 ) ) 2.5 ( 1 0.2 sin ( 0.09 t + 2 ) ) 0.5 ( 5 + 5 exp ( 0.1 t ) + 2 cos ( 0.05 t ) + sin ( 0.1 t ) ) ,
β l = 5 ( 1 0.2 cos ( 0.09 t + 2 ) ) 8 1 0.2 cos ( 0.09 t + 2 ) 2 0.5 ( 5 5 exp ( 0.1 t ) sin ( 0.1 t ) cos ( 0.1 t ) )
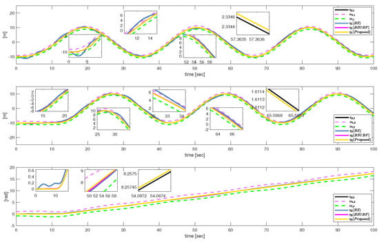
To illustrate the performance of the proposed control method, simulation comparisons are presented by applying the backstepping controller (BS) and backstepping approach in conjunction with UBF (BSUBF). Simulation results are depicted in Figure 5, Figure 6, Figure 7 and Figure 8, where Figure 5 and Figure 6 show the trajectories of η and ν with asymmetric full-state constraints. Figure 5 shows that the introduction of UBF has a distinct effect on guaranteeing state constraints. Figure 7 shows that both proposed controller and BSUBF controller could achieve relatively accurate tracking without violating the state constraints, but the tracking performance of the proposed controller may have been superior, as could be inferred from the quantitative comparison summarized in Table 3. From the above analysis, it is clear that the control law proposed in this paper could maintain the desired performance in the presence of uncertain disturbances and asymmetric time-varying state constraints. In addition, due to the adoption of the ERPI control allocation scheme, the proposed control law can also address the saturation problem of a limited number of actuators to a certain extent. However, under the proposed CA-based control method, the ERPI control allocation scheme could not always perfectly solve the actuator saturation problem since the number of free actuators was less than 2 in the initial stage of the simulation (Figure 8). How to better deal with the actuator saturation problem is also the focus of our future work.

6. Conclusions

In this paper, a control-allocation-based robust tracking control method was proposed for overactuated marine surface vessels subject to asymmetric state constraints and unknown external disturbances. The overall structure of the controller was composed of two parts: high-level controller and control allocator. The high-level controller calculates the generalized force command to compensate deflections of the ship from the desired position and heading. Unknown external disturbances are solved by constructing a double-layer adaptive sliding-mode disturbance observer. In addition, with the backstepping design framework, the time-varying state constraints are addressed by the unified barrier function and dynamic surface control techniques. Further, with consideration of actuator constraints, we designed a control allocation algorithm for overactuated ships that maps the desired high-level control demand onto individual actuator settings. Simulation results show that the proposed robust tracking control law can keep the vessel’s position and heading at desired values even in the presence of unknown environmental disturbances and time-varying state constraints. However, the control method proposed in this paper cannot perfectly solve the problem of input saturation and is model-dependent. Any minor unknown fault of the system can lead to serious consequences. Given that the model-free control can greatly reduce the dependence of the control system on the model, this is a focus of our future research [27,28].

Author Contributions

Conceptualization, H.L. and X.L.; methodology, H.L. and C.L.; software, H.L. and C.L.; validation, H.L. and X.L.; investigation, H.L. and A.J.; resources, X.L.; writing—original draft preparation, H.L. and A.J.; writing—review and editing, H.L. and X.L. All authors have read and agreed to the published version of the manuscript.

Funding

This research received no external funding.

Data Availability Statement

Not applicable.

Conflicts of Interest

The authors declare no conflict of interest.

References

  1. Fossen, T. Handbook of Marine Craft Hydrodynamics and Motion Control; John Wiley & Sons: Hoboken, NJ, USA, 2011. [Google Scholar]
  2. Zhang, G.; Yao, M.; Xu, J.; Zhang, W. Robust neural event-triggered control for dynamic positioning ships with actuator faults. Ocean Eng. 2020, 207, 107292. [Google Scholar] [CrossRef]
  3. Sørensen, A.J. A survey of dynamic positioning control systems. Annu. Rev. Control 2011, 35, 123–136. [Google Scholar] [CrossRef]
  4. Zhang, J.; Yu, S.; Yan, Y. Fixed-time velocity-free sliding mode tracking control for marine surface vessels with uncertainties and unknown actuator faults. Ocean Eng. 2020, 201, 107107. [Google Scholar] [CrossRef]
  5. Sariyildiz, E.; Oboe, R.; Ohnishi, K. Disturbance observer-based robust control and its applications: 35th anniversary overview. IEEE Trans. Ind. Electron. 2019, 67, 2042–2053. [Google Scholar] [CrossRef] [Green Version]
  6. Yuan, Z.; Wu, B.; He, J.; Fu, X.; Chen, H. Leader–follower formation source seeking control of multiple ships using sliding mode active disturbance rejection observer. Meas. Control 2021, 54, 737–747. [Google Scholar] [CrossRef]
  7. Guo, G.; Zhang, P. Asymptotic stabilization of usvs with actuator dead-zones and yaw constraints based on fixed-time disturbance observer. IEEE Trans. Veh. Technol. 2020, 69, 302–316. [Google Scholar] [CrossRef]
  8. Li, J.; Du, J.; Hu, X. Robust adaptive prescribed performance control for dynamic positioning of ships under unknown disturbances and input constraints. Ocean Eng. 2020, 206, 107254. [Google Scholar] [CrossRef]
  9. Jiang, X.; Wang, Y. Prescribed performance control of marine surface vessel trajectory tracking in finite-time with full-state constraints and input saturation. J. Mar. Sci. Eng. 2021, 9, 866. [Google Scholar] [CrossRef]
  10. Humaidi, A.J.; Hameed, A.H. Pmlsm position control based on continuous projection adaptive sliding mode controller. Syst. Sci. Control Eng. 2018, 6, 242–252. [Google Scholar] [CrossRef]
  11. Cristofaro, A.; Johansen, T.A. Fault tolerant control allocation using unknown input observers. Automatica 2014, 50, 1891–1897. [Google Scholar] [CrossRef]
  12. Cavanini, L.; Ippoliti, G. Fault tolerant model predictive control for an over-actuated vessel. Ocean Eng. 2018, 160, 1–9. [Google Scholar] [CrossRef]
  13. Chen, M.; Ge, S.S.; How, B.V.E.; Choo, Y.S. Robust adaptive position mooring control for marine vessels. IEEE Trans. Control Technol. 2021, 21, 395–409. [Google Scholar] [CrossRef]
  14. Johansen, T.A.; Fossen, T.I. Control allocation—A survey. Automatica 2013, 49, 1087–1103. [Google Scholar] [CrossRef] [Green Version]
  15. Bui, P.V.; Kim, Y.B. Development of constrained control allocation for ship berthing by using autonomous tugboats. Int. J. Control Autom. Syst. 2011, 9, 1203–1208. [Google Scholar]
  16. Witkowska, A.; Śmierzchalski, R. Adaptive dynamic control allocation for dynamic positioning of marine vessel based on backstepping method and sequential quadratic programming. Ocean Eng. 2018, 163, 570–582. [Google Scholar] [CrossRef]
  17. Härkegård, O. Dynamic control allocation using constrained quadratic programming. J. Guid. Control Dyn. 2004, 27, 1028–1034. [Google Scholar] [CrossRef] [Green Version]
  18. Kirchengast, M.; Steinberger, M.; Horn, M. Input matrix factorizations for constrained control allocation. IEEE Trans. Autom. Control 2017, 63, 1163–1170. [Google Scholar] [CrossRef]
  19. Du, J.; Hu, X.; Sun, Y. Adaptive robust nonlinear control design for course tracking of ships subject to external disturbances and input saturation. IEEE Trans. Syst. Man Cybern. Syst. 2017, 50, 193–202. [Google Scholar] [CrossRef]
  20. Su, Y.; Zheng, C.; Mercorelli, P. Nonlinear pd fault-tolerant control for dynamic positioning of ships with actuator constraints. IEEE/ASME Trans. Mechatronics 2016, 22, 1132–1142. [Google Scholar] [CrossRef]
  21. Wang, Y.; Wang, H.; Li, M.; Wang, D.; Fu, M. Adaptive fuzzy controller design for dynamic positioning ship integrating prescribed performance. Ocean Eng. 2021, 219, 107956. [Google Scholar] [CrossRef]
  22. Tee, K.P.; Ge, S.S. Control of nonlinear systems with partial state constraints using a barrier lyapunov function. Int. J. Control 2011, 84, 2008–2023. [Google Scholar] [CrossRef]
  23. Tee, K.P.; Ge, S.S. Control of state-constrained nonlinear systems using integral barrier lyapunov functionals. In Proceedings of the 2012 IEEE 51st IEEE Conference on Decision and Control (CDC), Maui, HI, USA, 10–13 December 2012; pp. 3239–3244. [Google Scholar]
  24. Zhao, K.; Song, Y.; Chen, C.P.; Chen, L. Control of nonlinear systems under dynamic constraints: A unified barrier function-based approach. Automatica 2020, 119, 109102. [Google Scholar] [CrossRef]
  25. Edwards, C.; Shtessel, Y.B. Adaptive continuous higher order sliding mode control. Automatica 2016, 65, 183–190. [Google Scholar] [CrossRef] [Green Version]
  26. Humaidi, A.J.; Hameed, A.H. Design and comparative study of advanced adaptive control schemes for position control of electronic throttle valve. Information 2019, 10, 65. [Google Scholar] [CrossRef] [Green Version]
  27. Tutsoy, O.; Barkana, D.E.; Balikci, K. A novel exploration-exploitation-based adaptive law for intelligent model-free control approaches. IEEE Trans. Cybern. 2021. [Google Scholar] [CrossRef] [PubMed]
  28. Tutsoy, O.; Barkana, D.E. Model free adaptive control of the under-actuated robot manipulator with the chaotic dynamics. ISA Trans. 2021, 118, 106–115. [Google Scholar] [CrossRef] [PubMed]
Figure 1. System architecture incorporating control allocation.
Figure 1. System architecture incorporating control allocation.
Electronics 11 00794 g001
Figure 2. Thruster configuration diagram for the marine surface vessel.
Figure 2. Thruster configuration diagram for the marine surface vessel.
Electronics 11 00794 g002
Figure 3. Disturbance estimation and double-layer adaptive switching gain (continuous type).
Figure 3. Disturbance estimation and double-layer adaptive switching gain (continuous type).
Electronics 11 00794 g003
Figure 4. Disturbance estimation and double-layer adaptive switching gain (step type).
Figure 4. Disturbance estimation and double-layer adaptive switching gain (step type).
Electronics 11 00794 g004
Figure 5. Time responses of ψ under step-type disturbance.
Figure 5. Time responses of ψ under step-type disturbance.
Electronics 11 00794 g005
Figure 6. Time responses of ν under step-type disturbance.
Figure 6. Time responses of ν under step-type disturbance.
Electronics 11 00794 g006
Figure 7. Time response of trajectory tracking.
Figure 7. Time response of trajectory tracking.
Electronics 11 00794 g007
Figure 8. Time response of control inputs provided by each actuator under ERPI method.
Figure 8. Time response of control inputs provided by each actuator under ERPI method.
Electronics 11 00794 g008
Table 1. Model parameters.
Table 1. Model parameters.
ItemsValueItemsValueItemsValue
m v 262,670 I z 36,325,530 x g −4.85522
X u ˙ −12,540 Y v ˙ −500,810 Y r ˙ −537,290
N r ˙ −30,584,100 X u −25 Y v −9865
Y r −1375 N v −711 N r −2,813,355
X | u | u −2375 Y | v | v −2830 Y | r | v −953,700
Y | v | r −134,950 N | v | r −11,886,500 N | r | r −156,288,000
Table 2. Control parameters.
Table 2. Control parameters.
ItemsValueItemsValue
η o [ 0.2 , 0.2 , 0.2 ] T α o [ 0.95 , 0.95 , 0.95 ] T
ϵ o [ 6.5 × 10 3 , 6.5 × 10 3 , 1.3 × 10 5 ] T τ o [ 0.01 , 0.01 , 0.01 ] T
R o [ 0.1 , 0.1 , 0.1 ] T Δ o [ 5000 , 5000 , 5000 ] T
γ o [ 200 , 200 , 200 ] T T v [ 0.05 , 0.05 , 0.05 ] T
K 1 diag ( [ 1 , 1 , 0.1 ] T ) K 2 diag ( [ 1 , 1 , 10 ] T )
Table 3. Maximal absolute tracking errors (MAEs).
Table 3. Maximal absolute tracking errors (MAEs).
MAESurge DirectionSway DirectionYaw Direction
BS1.062 (m)1.204 (m)0.263 (rad)
BSUBF0.240 (m)0.285 (m)0.141 (rad)
Proposed0.083 (m)0.049 (m)0.004 (rad)
Publisher’s Note: MDPI stays neutral with regard to jurisdictional claims in published maps and institutional affiliations.

Share and Cite

MDPI and ACS Style

Li, H.; Lin, X.; Jiang, A.; Lai, C. Control Allocation-Based Robust Tracking Control for Overactuated Surface Vessels Subject to Time-Varying Full-State Constraints. Electronics 2022, 11, 794. https://doi.org/10.3390/electronics11050794

AMA Style

Li H, Lin X, Jiang A, Lai C. Control Allocation-Based Robust Tracking Control for Overactuated Surface Vessels Subject to Time-Varying Full-State Constraints. Electronics. 2022; 11(5):794. https://doi.org/10.3390/electronics11050794

Chicago/Turabian Style

Li, Heng, Xiaogong Lin, Anzuo Jiang, and Chonglang Lai. 2022. "Control Allocation-Based Robust Tracking Control for Overactuated Surface Vessels Subject to Time-Varying Full-State Constraints" Electronics 11, no. 5: 794. https://doi.org/10.3390/electronics11050794

APA Style

Li, H., Lin, X., Jiang, A., & Lai, C. (2022). Control Allocation-Based Robust Tracking Control for Overactuated Surface Vessels Subject to Time-Varying Full-State Constraints. Electronics, 11(5), 794. https://doi.org/10.3390/electronics11050794

Note that from the first issue of 2016, this journal uses article numbers instead of page numbers. See further details here.

Article Metrics

Back to TopTop