Design and Fabrication of a Compact Branch-Line Coupler Using Resonators with Wide Harmonics Suppression Band
Abstract
1. Introduction
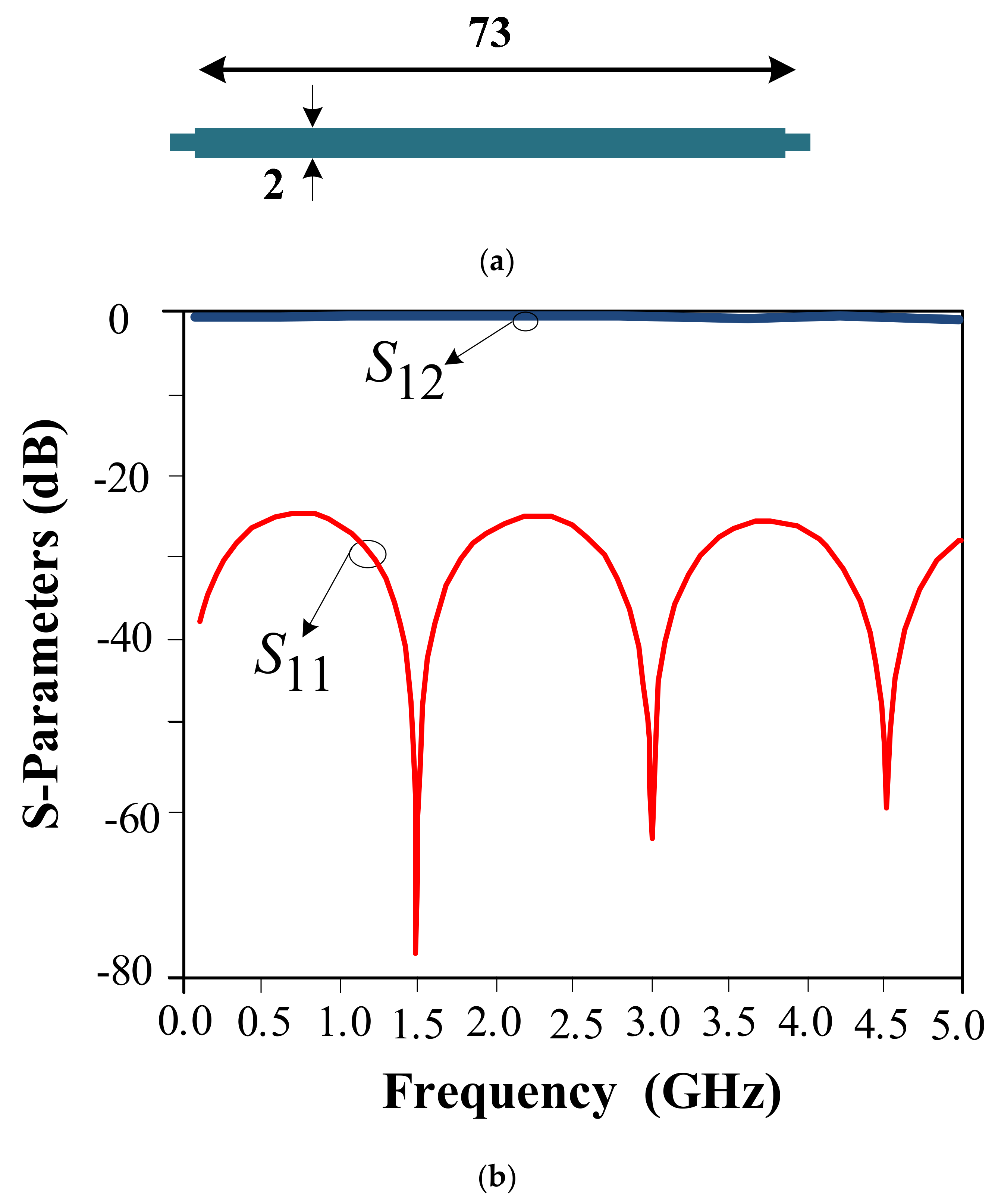
2. The Conventional Coupler
3. Proposed Resonators
3.1. Design Procedure of the Proposed Circuit
3.2. Vertical Branches
3.3. Horizontal Branches
3.4. Proposed Vertical Resonator
3.5. Proposed Horizontal Resonator
3.6. The LC Models of the Preliminary and the Final Prototypes of the Coupler
4. Proposed Coupler Design
4.1. The Preliminary Prototype of the Designed Coupler
4.2. The Final Prototype of the Designed Coupler
5. Fabrication and Measurements
6. Conclusions
Author Contributions
Funding
Data Availability Statement
Conflicts of Interest
References
- Lalbakhsh, A.; Mohamadpour, G.; Roshani, S.; Ami, M.; Roshani, S.; Sayem, A.S.M.; Alibakhshikenari, M.; Koziel, S. Design of a compact planar transmission line for miniaturized rat-race coupler with harmonics suppression. IEEE Access 2021, 9, 129207–129217. [Google Scholar] [CrossRef]
- Hosseinkhani, F.; Roshani, S. A compact branch-line coupler design using low-pass resonators and meandered lines open stubs. Turk. J. Electr. Eng. Comput. Sci. 2018, 26, 1164–1170. [Google Scholar]
- Lu, K.; Wang, G.-M.; Zhang, C.-X.; Wang, Y.-W. Design of miniaturized branch-line coupler based on novel spiral-based resonators. J. Electromagn. Waves Appl. 2011, 25, 2244–2253. [Google Scholar] [CrossRef]
- Siahkamari, H.; Jahanbakhshi, M.; Al-Anbagi, H.N.; Abdulhameed, A.A.; Pokorny, M.; Linhart, R. Trapezoid-shaped resonators to design compact branch line coupler with harmonic suppression. AEU-Int. J. Electron. Commun. 2022, 144, 154032. [Google Scholar] [CrossRef]
- Kumar, M.; Islam, S.N.; Sen, G.; Parui, S.K.; Das, S. Design of compact Wilkinson power divider and branch line coupler using hairpin based line. AEU-Int. J. Electron. Commun. 2019, 110, 152825. [Google Scholar] [CrossRef]
- Du, R.-N.; Weng, Z.-B.; Zhang, C. A miniaturized filtering 3-dB branch-line hybrid coupler with wide suppression band. Prog. Electromagn. Res. Lett. 2018, 73, 83–89. [Google Scholar] [CrossRef]
- Liao, S.-S.; Peng, J.-T. Compact planar microstrip branch-line couplers using the quasi-lumped elements approach with nonsymmetrical and symmetrical T-shaped structure. IEEE Trans. Microw. Theory Tech. 2006, 54, 3508–3514. [Google Scholar] [CrossRef]
- Jamshidi, M.B.; Roshani, S.; Talla, J.; Roshani, S.; Peroutka, Z. Size reduction and performance improvement of a microstrip Wilkinson power divider using a hybrid design technique. Sci. Rep. 2021, 11, 7773. [Google Scholar] [CrossRef]
- Huang, W.; Liu, C.; Yan, L.; Huang, K. A miniaturized dual-band power divider with harmonic suppression for GSM applications. J. Electromagn. Waves Appl. 2010, 24, 81–91. [Google Scholar] [CrossRef]
- Shum, K.M.; Xue, Q.; Chan, C.H. A novel microstrip ring hybrid incorporating a PBG cell. IEEE Microw. Wirel. Compon. Lett. 2001, 11, 258–260. [Google Scholar] [CrossRef]
- Oraizi, H.; Esfahlan, M. Miniaturization of Wilkinson power dividers by using defected ground structures. Prog. Electromagn. Res. Lett. 2008, 4, 113–120. [Google Scholar] [CrossRef]
- Woo, D.-J.; Lee, T.-K. Suppression of harmonics in Wilkinson power divider using dual-band rejection by asymmetric DGS. IEEE Trans. Microw. Theory Tech. 2005, 53, 2139–2144. [Google Scholar]
- Ghaloua, A.; Zbitou, J.; El Abdellaoui, L.; Latrach, M. Miniaturization and Reduction of Mutual Coupling between Antennas Arrays Using DGS and Planar EBG Structures. In Emerging Innovations in Microwave and Antenna Engineering; IGI Global: Hershey, PA, USA, 2019; pp. 192–222. [Google Scholar]
- Kumar, K.; Dixit, A.; Kala, P.; Yadav, S.; Pant, R. A Review on Design of Multiband Bandpass Filter Using Different DGS Structures to Enhance the Performance. J. Circuits Syst. Comput. 2020, 29, 2030012. [Google Scholar] [CrossRef]
- Mohamadzade, B.; Lalbakhsh, A.; Simorangkir, R.B.; Rezaee, A.; Hashmi, R.M. Mutual coupling reduction in microstrip array antenna by employing cut side patches and EBG structures. Prog. Electromagn. Res. M 2020, 89, 179–187. [Google Scholar] [CrossRef]
- Lalbakhsh, A.; Afzal, M.U.; Esselle, K.P.; Smith, S.L. Low-cost nonuniform metallic lattice for rectifying aperture near-field of electromagnetic bandgap resonator antennas. IEEE Trans. Antennas Propag. 2020, 68, 3328–3335. [Google Scholar] [CrossRef]
- Parandin, F.; Heidari, F.; Rahimi, Z.; Olyaee, S. Two-Dimensional photonic crystal Biosensors: A review. Opt. Laser Technol. 2021, 144, 107397. [Google Scholar] [CrossRef]
- Parandin, F. Ultra-compact terahertz all-optical logic comparator on GaAs photonic crystal platform. Opt. Laser Technol. 2021, 144, 107399. [Google Scholar] [CrossRef]
- Vahdati, A.; Parandin, F. Antenna patch design using a photonic crystal substrate at a frequency of 1.6 THz. Wirel. Pers. Commun. 2019, 109, 2213–2219. [Google Scholar] [CrossRef]
- Parandin, F.; Kamarian, R.; Jomour, M. Optical 1-bit comparator based on two-dimensional photonic crystals. Appl. Opt. 2021, 60, 2275–2280. [Google Scholar] [CrossRef]
- Karkhanehchi, M.M.; Parandin, F.; Zahedi, A. Design of an all optical half-adder based on 2D photonic crystals. Photonic Netw. Commun. 2017, 33, 159–165. [Google Scholar] [CrossRef]
- Parandin, F.; Moayed, M. Designing and simulation of 3-input majority gate based on two-dimensional photonic crystals. Optik 2020, 216, 164930. [Google Scholar] [CrossRef]
- Parandin, F.; Karkhanehchi, M.M. Low size all optical XOR and NOT logic gates based on two-dimensional photonic crystals. Majlesi J. Electr. Eng. 2019, 13, 1–5. [Google Scholar]
- Parandin, F.; Kamarian, R.; Jomour, M. A novel design of all optical half-subtractor using a square lattice photonic crystals. Opt. Quantum Electron. 2021, 53, 1–10. [Google Scholar] [CrossRef]
- Abdollahi, M.; Parandin, F. A novel structure for realization of an all-optical, one-bit half-adder based on 2D photonic crystals. J. Comput. Electron. 2019, 18, 1416–1422. [Google Scholar] [CrossRef]
- El-Bouslemti, R.; Salah-Belkhodja, F. Miniaturized Power Divider with Planar Stub Structures. Microw. J. 2021, 64, 54–62. [Google Scholar]
- Coromina, J.; Vélez, P.; Bonache, J.; Martín, F. Branch line couplers with small size and harmonic suppression based on non-periodic step impedance shunt stub (SISS) loaded lines. IEEE Access 2020, 8, 67310–67320. [Google Scholar] [CrossRef]
- Singh, R.B.; Weller, T. Miniaturized 20 GHz CPW quadrature coupler using capacitive loading. Microw. Opt. Technol. Lett. 2001, 30, 3–5. [Google Scholar] [CrossRef]
- Eccleston, K.W.; Ong, S.H. Compact planar microstripline branch-line and rat-race couplers. IEEE Trans. Microw. Theory Tech. 2003, 51, 2119–2125. [Google Scholar] [CrossRef]
- Tsai, K.-Y.; Yang, H.-S.; Chen, J.-H.; Chen, Y.-J.E. A miniaturized 3 dB branch-line hybrid coupler with harmonics suppression. IEEE Microw. Wirel. Compon. Lett. 2011, 21, 537–539. [Google Scholar] [CrossRef]
- Coromina, J.; Selga, J.; Velez, P.; Bonache, J.; Martín, F. Size reduction and harmonic suppression in branch line couplers implemented by means of capacitively loaded slow-wave transmission lines. Microw. Opt. Technol. Lett. 2017, 59, 2822–2830. [Google Scholar] [CrossRef]
- Cao, Y.; Wang, Z.; Fang, S.-J.; Liu, Y.A. A miniaturized 3-DB microstrip TRD coupled-line rat-race coupler with harmonics SUPPRESSION. Prog. Electromagn. Res. C 2016, 67, 107–116. [Google Scholar] [CrossRef][Green Version]
- Kumar, M.; Islam, S.N.; Sen, G.; Das, T.M.; Parui, S.K.; Das, S. Miniaturisation of branch line couplers with a compact transmission line topology based on coupled line section. IET Microw. Antennas Propag. 2020, 14, 448–455. [Google Scholar] [CrossRef]
- Venter, J.J.; Stander, T.; Ferrari, P. X-Band Reflection-Type Phase Shifters Using Coupled-Line Couplers on Single-Layer RF PCB. IEEE Microw. Wirel. Compon. Lett. 2018, 28, 807–809. [Google Scholar] [CrossRef]
- Liu, H.; Xun, C.; Fang, S.; Wang, Z.; Liu, D. Coupled-line trans-directional coupler with arbitrary power divisions for equal complex termination impedances. IET Microw. Antennas Propag. 2019, 13, 92–98. [Google Scholar] [CrossRef]
- Wang, Q.; Lim, J.; Jeong, Y. Design of a compact dual-band branch line coupler using composite right/left-handed transmission lines. Electron. Lett. 2016, 52, 630–631. [Google Scholar] [CrossRef]
- Wang, Y.; Ma, K.; Mou, S. A compact branch-line coupler using substrate integrated suspended line technology. IEEE Microw. Wirel. Compon. Lett. 2016, 26, 95–97. [Google Scholar] [CrossRef]
- Shi, J.; Qiang, J.; Xu, K.; Wang, Z.-b.; Lin, L.; Chen, J.-X.; Liu, W.; Zhang, X.Y. A balanced filtering branch-line coupler. IEEE Microw. Wirel. Compon. Lett. 2016, 26, 119–121. [Google Scholar] [CrossRef]
- Honari, M.M.; Mirzavand, R.; Mousavi, P.; Abdipour, A. Class of miniaturised/arbitrary power division ratio couplers with improved design flexibility. IET Microw. Antennas Propag. 2015, 9, 1066–1073. [Google Scholar] [CrossRef]
- Jamshidi, M.B.; Talla, J.; Lalbakhsh, A.; Sharifi-Atashgah, M.S.; Sabet, A.; Peroutka, Z. A Conceptual Deep Learning Framework for COVID-19 Drug Discovery. In Proceedings of the 2021 IEEE 12th Annual Ubiquitous Computing, Electronics & Mobile Communication Conference (UEMCON), New York, NY, USA, 1–4 December 2021; pp. 00030–00034. [Google Scholar]
- Jamshidi, M.B.; Roshani, S.; Talla, J.; Lalbakhsh, A.; Peroutka, Z.; Roshani, S.; Sabet, A.; Dehghani, M.; Lotfi, S.; Hadjilooei, F. A Review on Potentials of Artificial Intelligence Approaches to Forecasting COVID-19 Spreading. Res. Sq. 2021. in preprint. [Google Scholar] [CrossRef]
- Roshani, G.; Nazemi, E.; Roshani, M. Usage of two transmitted detectors with optimized orientation in order to three phase flow metering. Measurement 2017, 100, 122–130. [Google Scholar] [CrossRef]
- Roshani, G.; Nazemi, E. Intelligent densitometry of petroleum products in stratified regime of two phase flows using gamma ray and neural network. Flow Meas. Instrum. 2017, 58, 6–11. [Google Scholar] [CrossRef]
- Roshani, G.; Feghhi, S.; Mahmoudi-Aznaveh, A.; Nazemi, E.; Adineh-Vand, A. Precise volume fraction prediction in oil–water–gas multiphase flows by means of gamma-ray attenuation and artificial neural networks using one detector. Measurement 2014, 51, 34–41. [Google Scholar] [CrossRef]
- Roshani, G.; Nazemi, E.; Feghhi, S. Investigation of using 60Co source and one detector for determining the flow regime and void fraction in gas–liquid two-phase flows. Flow Meas. Instrum. 2016, 50, 73–79. [Google Scholar] [CrossRef]
- Roshani, G.; Nazemi, E.; Feghhi, S.; Setayeshi, S. Flow regime identification and void fraction prediction in two-phase flows based on gamma ray attenuation. Measurement 2015, 62, 25–32. [Google Scholar] [CrossRef]
- Jamshidi, M.B.; Lalbakhsh, A.; Talla, J.; Peroutka, Z.; Roshani, S.; Matousek, V.; Roshani, S.; Mirmozafari, M.; Malek, Z.; Spada, L.L. Deep learning techniques and covid-19 drug discovery: Fundamentals, state-of-the-art and future directions. In Emerging Technologies During the Era of COVID-19 Pandemic; Springer: Berlin/Heidelberg, Germany, 2021; pp. 9–31. [Google Scholar]
- Jamshidi, M.B.; Lalbakhsh, A.; Alibeigi, N.; Soheyli, M.R.; Oryani, B.; Rabbani, N. Socialization of industrial robots: An innovative solution to improve productivity. In Proceedings of the 2018 IEEE 9th Annual Information Technology, Electronics and Mobile Communication Conference (IEMCON), Vancouver, BC, Canada, 1–3 November 2018; pp. 832–837. [Google Scholar]
- Jamshidi, M.B.; Alibeigi, N.; Lalbakhsh, A.; Roshani, S. An ANFIS approach to modeling a small satellite power source of NASA. In Proceedings of the 2019 IEEE 16th International Conference on Networking, Sensing and Control (ICNSC), Banff, AB, Canada, 9–11 May 2019; pp. 459–464. [Google Scholar]
- Lalbakhsh, A.; Jamshidi, M.B.; Siahkamari, H.; Ghaderi, A.; Golestanifar, A.; Linhart, R.; Talla, J.; Simorangkir, R.B.; Mandal, K. A compact lowpass filter for satellite communication systems based on transfer function analysis. AEU-Int. J. Electron. Commun. 2020, 124, 153318. [Google Scholar] [CrossRef]
- Roshani, G.; Nazemi, E.; Roshani, M. Identification of flow regime and estimation of volume fraction independent of liquid phase density in gas-liquid two-phase flow. Prog. Nucl. Energy 2017, 98, 29–37. [Google Scholar] [CrossRef]
- Nazemi, E.; Feghhi, S.; Roshani, G.; Peyvandi, R.G.; Setayeshi, S. Precise void fraction measurement in two-phase flows independent of the flow regime using gamma-ray attenuation. Nucl. Eng. Technol. 2016, 48, 64–71. [Google Scholar] [CrossRef]
- Roshani, G.H.; Roshani, S.; Nazemi, E.; Roshani, S. Online measuring density of oil products in annular regime of gas-liquid two phase flows. Measurement 2018, 129, 296–301. [Google Scholar] [CrossRef]
- Roshani, G.; Nazemi, E.; Roshani, M. Intelligent recognition of gas-oil-water three-phase flow regime and determination of volume fraction using radial basis function. Flow Meas. Instrum. 2017, 54, 39–45. [Google Scholar] [CrossRef]
- Roshani, G.; Nazemi, E.; Roshani, M. Flow regime independent volume fraction estimation in three-phase flows using dual-energy broad beam technique and artificial neural network. Neural Comput. Appl. 2017, 28, 1265–1274. [Google Scholar] [CrossRef]
- Nazemi, E.; Roshani, G.; Feghhi, S.; Setayeshi, S.; Zadeh, E.E.; Fatehi, A. Optimization of a method for identifying the flow regime and measuring void fraction in a broad beam gamma-ray attenuation technique. Int. J. Hydrogen Energy 2016, 41, 7438–7444. [Google Scholar] [CrossRef]
- Karami, A.; Roshani, G.H.; Nazemi, E.; Roshani, S. Enhancing the performance of a dual-energy gamma ray based three-phase flow meter with the help of grey wolf optimization algorithm. Flow Meas. Instrum. 2018, 64, 164–172. [Google Scholar] [CrossRef]
- Jamshidi, M.; Lalbakhsh, A.; Talla, J.; Peroutka, Z.; Hadjilooei, F.; Lalbakhsh, P.; Jamshidi, M.; la Spada, L.; Mirmozafari, M.; Dehghani, M. Artificial intelligence and COVID-19: Deep learning approaches for diagnosis and treatment. IEEE Access 2020, 8, 109581–109595. [Google Scholar] [CrossRef] [PubMed]
- Jamshidi, M.; Lalbakhsh, A.; Lotfi, S.; Siahkamari, H.; Mohamadzade, B.; Jalilian, J. A neuro-based approach to designing a Wilkinson power divider. Int. J. RF Microw. Comput. Aided Eng. 2020, 30, e22091. [Google Scholar] [CrossRef]
- Jamshidi, M.B.; Lalbakhsh, A.; Mohamadzade, B.; Siahkamari, H.; Mousavi, S.M.H. A novel neural-based approach for design of microstrip filters. AEU Int. J. Electron. Commun. 2019, 110, 152847. [Google Scholar] [CrossRef]
- Karami, A.; Roshani, G.; Khazaei, A.; Nazemi, E.; Fallahi, M. Investigation of different sources in order to optimize the nuclear metering system of gas–oil–water annular flows. Neural Comput. Appl. 2020, 32, 3619–3631. [Google Scholar] [CrossRef]
- Roshani, G.; Hanus, R.; Khazaei, A.; Zych, M.; Nazemi, E.; Mosorov, V. Density and velocity determination for single-phase flow based on radiotracer technique and neural networks. Flow Meas. Instrum. 2018, 61, 9–14. [Google Scholar] [CrossRef]
- Sattari, M.A.; Roshani, G.H.; Hanus, R.; Nazemi, E. Applicability of time-domain feature extraction methods and artificial intelligence in two-phase flow meters based on gamma-ray absorption technique. Measurement 2021, 168, 108474. [Google Scholar] [CrossRef]
- Roshani, M.; Sattari, M.A.; Ali, P.J.M.; Roshani, G.H.; Nazemi, B.; Corniani, E.; Nazemi, E. Application of GMDH neural network technique to improve measuring precision of a simplified photon attenuation based two-phase flowmeter. Flow Meas. Instrum. 2020, 75, 101804. [Google Scholar] [CrossRef]
- Roshani, M.; Phan, G.; Faraj, R.H.; Phan, N.-H.; Roshani, G.H.; Nazemi, B.; Corniani, E.; Nazemi, E. Proposing a gamma radiation based intelligent system for simultaneous analyzing and detecting type and amount of petroleum by-products. Nucl. Eng. Technol. 2021, 53, 1277–1283. [Google Scholar] [CrossRef]
- Roshani, M.; Phan, G.T.; Ali, P.J.M.; Roshani, G.H.; Hanus, R.; Duong, T.; Corniani, E.; Nazemi, E.; Kalmoun, E.M. Evaluation of flow pattern recognition and void fraction measurement in two phase flow independent of oil pipeline’s scale layer thickness. Alex. Eng. J. 2021, 60, 1955–1966. [Google Scholar] [CrossRef]
- Dubovitskiy, M.A.; Pashaev, S.Y.; Zhukov, A.O. Machine Learning Based Computational Electromagnetic Methods for Intelligence CAD/CAE Application. In Proceedings of the 2021 3rd International Youth Conference on Radio Electronics, Electrical and Power Engineering (REEPE), Moscow, Russia, 11–13 March 2021; pp. 1–6. [Google Scholar]
- Motaqi, A.; Helaoui, M.; Boulejfen, N.; Chen, W.; Ghannouchi, F. Artificial Intelligence based Power-Temperature Inclusive Digital Pre-Distortion. IEEE Trans. Ind. Electron. 2021, 1. [Google Scholar] [CrossRef]
- Pozar, D.M. Microwave Engineering; John Wiley & Sons: Hoboken, NJ, USA, 2011; pp. 203–210. [Google Scholar]
- Hong, J.-S.G.; Lancaster, M.J. Microstrip Filters for RF/Microwave Applications; John Wiley & Sons: Hoboken, NJ, USA, 2004; pp. 84–99. [Google Scholar]



















| Parameters | L1 | L2 | L3 | L4 | L5 | L6 |
| Values (nH) | 2.1 | 2.3 | 5.2 | 0.4 | 0.15 | 0.15 |
| Parameters | C1 | C2 | C3 | C4 | C5 | C6 |
| Values (pF) | 1 | 1 | 0.87 | 6 | 1.2 | 1.2 |
| Parameters | LV1 | LV2 | LV3 | LV4 | LV5 | LV6 |
| Values (nH) | 1 | 6.3 | 5.2 | 0.4 | 0.18 | 0.18 |
| Parameters | CV1 | CV2 | CV3 | CV4 | CV5 | CV6 |
| Values (pF) | 5.4 | 1 | 0.87 | 6 | 1.2 | 1.2 |
| Ref. | Reduction Size (%) | IL (dB) | RL (dB) | Isolation (dB) | Freq. (GHz) | FBW (%) | Size (λ × λ) | Suppressed Harmonics | |
|---|---|---|---|---|---|---|---|---|---|
| Num. | Details | ||||||||
| [36] | 66% | 1 | 27 | 20 | 0.93 | 11 | 0.14λ × 0.15λ | 0 | - |
| [37] | 62% | 1 | 20 | 28 | 1.5 | 20 | 0.15λ × 0.16λ | 0 | - |
| [38] | - | 1.4 | - | 15 | 1.87 | 3.5 | 0.33λ × 0.42λ | 0 | - |
| [39] | 73% | - | 30 | 30 | 1 | 13.6 | 0.125λ × 0.135λ | 1 | 2nd: 18 dB |
| Conv. Coupler | - | 0.2 | 35 | 35 | 0.75 | 20 | 0.25λ × 0.25λ | 0 | - |
This work | 84% | 0.3 | 20 | 20 | 0.75 | 26 | 0.08λ × 0.12λ | 6 | 2nd: 20 dB 3rd: 23 dB 4th: 28 dB 5th: 39 dB 6th: 52 dB 7th: 23 dB |
Publisher’s Note: MDPI stays neutral with regard to jurisdictional claims in published maps and institutional affiliations. |
© 2022 by the authors. Licensee MDPI, Basel, Switzerland. This article is an open access article distributed under the terms and conditions of the Creative Commons Attribution (CC BY) license (https://creativecommons.org/licenses/by/4.0/).
Share and Cite
Roshani, S.; Yahya, S.I.; Roshani, S.; Rostami, M. Design and Fabrication of a Compact Branch-Line Coupler Using Resonators with Wide Harmonics Suppression Band. Electronics 2022, 11, 793. https://doi.org/10.3390/electronics11050793
Roshani S, Yahya SI, Roshani S, Rostami M. Design and Fabrication of a Compact Branch-Line Coupler Using Resonators with Wide Harmonics Suppression Band. Electronics. 2022; 11(5):793. https://doi.org/10.3390/electronics11050793
Chicago/Turabian StyleRoshani, Sobhan, Salah I. Yahya, Saeed Roshani, and Meysam Rostami. 2022. "Design and Fabrication of a Compact Branch-Line Coupler Using Resonators with Wide Harmonics Suppression Band" Electronics 11, no. 5: 793. https://doi.org/10.3390/electronics11050793
APA StyleRoshani, S., Yahya, S. I., Roshani, S., & Rostami, M. (2022). Design and Fabrication of a Compact Branch-Line Coupler Using Resonators with Wide Harmonics Suppression Band. Electronics, 11(5), 793. https://doi.org/10.3390/electronics11050793

