Radiation Pattern Synthesis of the Coupled almost Periodic Antenna Arrays Using an Artificial Neural Network Model
Abstract
:1. Introduction
2. Problem Formulation: (Radiation Patterns of the Almost Periodic Structures)
- On the metallic part, the electric field can be given by:
- On the discontinuity plane (or on the radiating aperture), the electric field is expressed in function of the guide’s modes as:
- For small and large finite arrays:
- For infinite arrays:
3. Concept of Artificial Neural Networks (ANNs)
- 1.
- The structure of the network is first defined. In the network, activation functions are chosen and the network parameters, weights, and biases are initialized.
- 2.
- The parameters associated with the training algorithm—the error goal, the maximum number of epochs (iterations), etc.—are defined.
- 3.
- The training algorithm is called.
- 4.
- Once the neural network is determined, the result is first tested by simulating the output of the neural network with the measured input data. This result is compared to the measured output. The final validation must be performed with independent data.
- Sixty percent are used for training.
- Twenty percent are used to validate that the network is generalizing and to stop training before overfitting.
- The last 20% are used for a completely independent test of network generalization.
4. Results and Observations
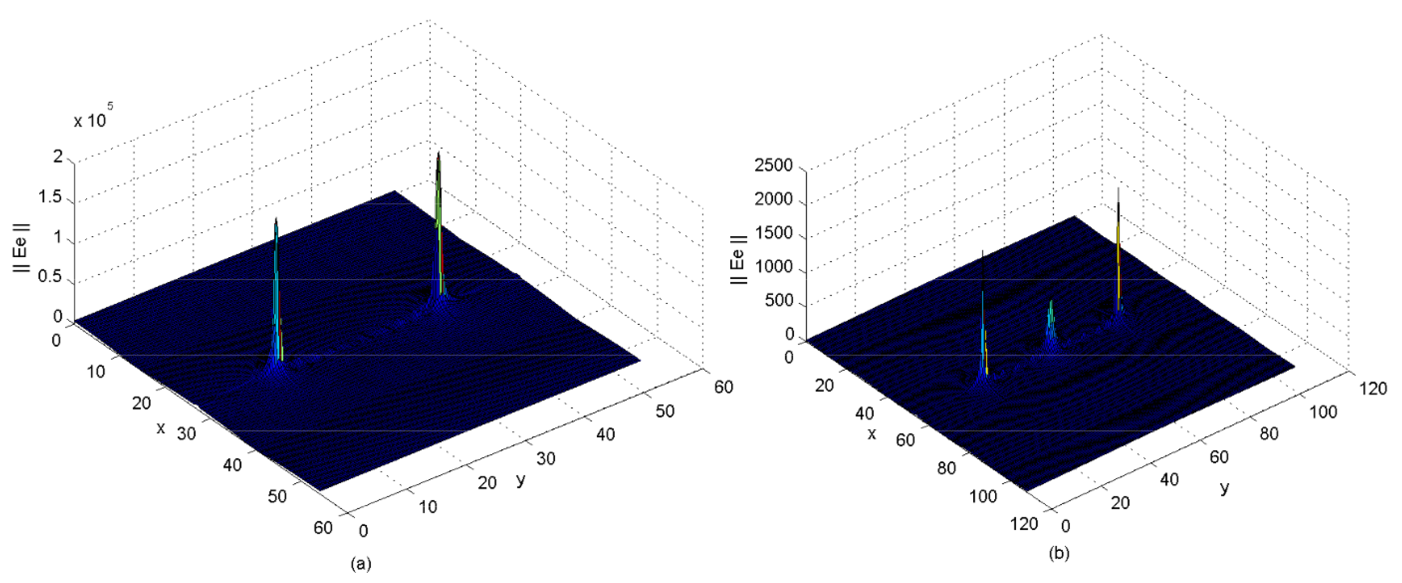
4.1. Numerical Results
4.2. ANN Application
- 1.
- The training set was used to determine ANN weights.
- 2.
- The validation set was used to check the ANN’s performance and decide when to stop the training process.
- 3.
- The test set was used to assess the performance capabilities of the developed ANN model.
4.3. ANN Performance
5. Conclusions
- Reduced computational time and memory usage, especially when adopting the early stopping method, which eliminates the overfitting problem.
- It is suitable for use with a coupled and complex quasi-periodic configuration.
- It is simple and easier to use than other optimization techniques (genetic, LMS, etc.).
- It is adaptable to complex electromagnetic calculations taking into account the effects of mutual coupling.
Author Contributions
Funding
Institutional Review Board Statement
Informed Consent Statement
Data Availability Statement
Conflicts of Interest
Abbreviations
| MoM-GEC | Method of Moment with Generalized Equivalent Circuits |
| FSS | Frequency Selective Surfaces |
| EEEE | Electric walls |
| EMEM | Electric and Magnetic walls |
| EPEP | Electric and Periodic walls |
| PPPP | Periodic walls |
| 1-D | Uni-dimensional |
| 2-D | Two-dimensional |
| ANN | Artificial Neural Network |
| GA | Genetic Algorithm |
| ES | Early Stopping technique |
| MLP | Multilayer Perceptron |
| LMA | Levenberg-Marquart Algorithm |
| MSE | Mean Squared Error |
| CPU | Central Processing Unit |
| LMS | Least Mean Squares algorithms |
| EM | Electromagnetic Calculation |
| HFSS | High-Frequency Structure Simulator, a high frequency electromagnetic simulation software |
Appendix A
Appendix B
- 1
- % Steering angles
- 2
- Phi_s=0;
- 3
- Theta_s=0;% Theta_s=pi/6;
- 4
- 5
- Phi=0;
- 6
- Theta=0; % Theta=pi/6; (The maximum of radiation change with the steering angle Theta_s)
- 7
- a = 0; b =d_x; c =0; d =d_y;
- 8
- m = 8; n = 12;
- 9
- dx = (b - a)/m; dy = (d - c)/n;
- 10
- i = 1: m; j = 1: n;
- 11
- u = a + (i - 1/2)∗dx;
- 12
- v = c + (j - 1/2)∗dy;
- 13
- [u,v] = meshgrid(u,v);
- 14
- intgralmax=sum( sum(abs(calcul_E_{aperture}(u,v,A,Xs,alfa_moins1,beta_moins1))
- 15
- .∗exp(1i.∗k.∗((u.∗sin(Theta).∗cos(Phi)+v.∗sin(Theta).∗sin(Phi))-
- 16
- (u.∗sin(Theta_s).∗cos(Phi_s)+v.∗sin(Theta_s).∗sin(Phi_s))))∗dx∗dy;
- 17
- radiationmax=intgralmax;
- 18
- Theta=-pi/2:pi/100:pi/2;
- 19
- for j=1:length(Theta)
- 20
- Integral(j)=sum( sum(abs(calcul_E_{aperture}(u,v,A,Xs,alpha,beta))
- 21
- .∗exp(1i.∗k.∗((u.∗sin(Theta).∗cos(Phi)+v.∗sin(Theta).∗sin(Phi))-
- 22
- (u.∗sin(Theta_s).∗cos(Phi_s)+v.∗sin(Theta_s).∗sin(Phi_s))))∗dx∗dy;
- 23
- En(j)=Integral(j)./radiationmax;
- 24
- Edb(j)=20.∗log10(abs(En(j)));
- 25
- deg(j)=Theta(j).∗180./pi;
- 26
- value(j)=Edb(j);
- 27
- end
- 28
- figure,plot(deg,value,’g’);
- 29
- % figure,polar(Theta,abs(En)); % Possible to draw the normalized polar pattern
References
- Vardaxoglou, J.C. Frequency Selective Surfaces, Analysis and Design; John Wiley and Sons: Hoboken, NJ, USA, 1997. [Google Scholar]
- Hamdi, B.; Aguili, T.; Raveu, N.; Baudrand, H. Calculation of the mutual coupling parameters and their effects in 1-D planar almost periodic structures. Prog. Electromagn. Res. B 2014, 59, 269–289. [Google Scholar] [CrossRef] [Green Version]
- Hamdi, B.; Aguili, T.; Baudrand, H. Floquet modal analysis to modelize and study 2-D planar almost periodic structures in finite and infinite extent with coupled motifs. Prog. Electromagn. Res. B 2015, 62, 63–86. [Google Scholar] [CrossRef] [Green Version]
- Mekkioui, Z.; Baudrand, H. Bi-dimensional bi-periodic centred-fed microstrip leaky-wave antenna analysis by a source modal decomposition in spectral domain. IET Microw. Antennas Propag. 2009, 3, 1141–1149. [Google Scholar] [CrossRef]
- Hamdi, B.; Aguili, T.; Baudrand, H. Uni-dimensional planar almost periodic structures analysis to decompose central arbitrary located source in spectral domain. In Proceedings of the 2012 15 International Symposium on Antenna Technology and Applied Electromagnetics (ANTEM), Toulouse, France, 25–28 June 2012; pp. 1–5. [Google Scholar]
- Sagar, M.S.I.; Ouassal, H.; Omi, A.I.; Wisniewska, A.; Jalajamony, H.M.; Fernandez, R.E.; Sekhar, P.K. Application of Machine Learning in Electromagnetics: Mini-Review. Electronics 2021, 10, 2752. [Google Scholar] [CrossRef]
- Taghvaee, H. On Scalable, Reconfigurable, and Intelligent Metasurfaces; Universitat Politècnica de Catalunya: Barcelona, Spain, 2021. [Google Scholar]
- Laseetha, T.J.; Sukanesh, R. Synthesis of uniform linear antenna array using genetic algorithm with cost based roulette to maximize sidelobe level reduction. Int. J. Inf. Acquis. 2011, 8, 171–179. [Google Scholar] [CrossRef]
- Brown, A.D. (Ed.) Electronically Scanned Arrays MATLAB® Modeling and Simulation; CRC Press: Boca Raton, FL, USA, 2017. [Google Scholar]
- Babale, S.A.; Dajab, D.D.; Ahmad, K. Synthesis of a Linear Antenna Array for Maximum Side-lobe Level Reduction. Int. J. Comput. Appl. 2014, 85, 24–28. [Google Scholar]
- Singh, A.; Singh, S. Design and optimization of a modified Sierpinski fractal antenna for broadband applications. Appl. Soft Comput. 2016, 38, 843–850. [Google Scholar] [CrossRef]
- Yan, K.K.; Lu, Y. Sidelobe reduction in array-pattern synthesis using genetic algorithm. IEEE Trans. Antennas Propag. 1997, 45, 1117–1122. [Google Scholar]
- Hamdi, B.; Limam, S.; Aguili, T. Uniform and concentric circular antenna arrays synthesis for smart antenna systems using artificial neural network algorithm. Prog. Electromagn. Res. B 2016, 67, 91–105. [Google Scholar] [CrossRef] [Green Version]
- Freni, A.; Mussetta, M.; Pirinoli, P. Neural network characterization of reflectarray antennas. Int. J. Antennas Propag. 2012, 2012, 541354. [Google Scholar] [CrossRef]
- Merad, L.; Bendimerad, F.T.; Meriah, S.M.; Djennas, S.A. Neural networks for synthesis and optimization of antenna arrays. Radioengineering 2007, 16, 23–30. [Google Scholar]
- Ghayoula, R.; Fadlallah, N.; Gharsallah, A.; Rammal, M. Phase-only adaptive nulling with neural networks for antenna array synthesis. IET Microw. Antennas Propag. 2009, 3, 154–163. [Google Scholar] [CrossRef]
- Oueslati, A.; Menudier, C.; Thevenot, M.; Monediere, T. Potentialities of hybrid arrays with parasitic elements. In Proceedings of the 8th European Conference on Antennas and Propagation (EuCAP 2014), The Hague, The Netherlands, 6–11 April 2014; pp. 1829–1830. [Google Scholar]
- Abdallah, Y.; Menudier, C.; Thevenot, M.; Monediere, T. Investigations of the effects of mutual coupling in reflectarray antennas. IEEE Antennas Propag. Mag. 2013, 55, 49–61. [Google Scholar] [CrossRef]
- Wei, W.Y.; Shi, Y.; Yang, J.X.; Meng, H.X. Artificial neural network and convex optimization enable antenna array design. Int. J. Microw. Comput.-Aided Eng. 2021, 31, e22593. [Google Scholar] [CrossRef]
- Cui, C.; Li, W.T.; Ye, X.T.; Rocca, P.; Hei, Y.Q.; Shi, X.W. An Effective Artificial Neural Network-Based Method for Linear Array Beampattern Synthesis. IEEE Trans. Antennas Propag. 2021, 69, 6431–6443. [Google Scholar] [CrossRef]
- Patnaik, A.; Choudhury, B.; Pradhan, P.; Mishra, R.K.; Christodoulou, C. An ANN application for fault finding in antenna arrays. IEEE Trans. Antennas Propag. 2007, 55, 775–777. [Google Scholar] [CrossRef]
- Ozdemir, E.; Akgol, O.; Ozkan Alkurt, F.; Karaaslan, M.; Abdulkarim, Y.I.; Deng, L. Mutual Coupling Reduction of Cross-Dipole Antenna for Base Stations by Using a Neural Network Approach. Appl. Sci. 2020, 10, 378. [Google Scholar] [CrossRef] [Green Version]
- Taghvaee, H.; Jain, A.; Timoneda, X.; Liaskos, C.; Abadal, S.; Alarcón, E.; Cabellos-Aparicio, A. Radiation Pattern Prediction for Metasurfaces: A Neural Network-Based Approach. Sensors 2021, 21, 2765. [Google Scholar] [CrossRef]
- Reddy, B.; Vakula, D.; Sarma, N.V.S.N. Design of multiple function antenna array using radial basis function neural network. J. Microw. Optoelectron. Electromagn. Appl. 2013, 12, 210–216. [Google Scholar] [CrossRef]
- Wang, Z.; Fang, S. ANN synthesis model of single-feed corner-truncated circularly polarized microstrip antenna with an air gap for wideband applications. Int. J. Antennas Propag. 2014, 2014, 392843. [Google Scholar] [CrossRef] [Green Version]
- Famoriji, O.J.; Shongwe, T. Electromagnetic machine learning for estimation and mitigation of mutual coupling in strongly coupled arrays. ICT Express 2021. [Google Scholar] [CrossRef]
- Dukare, M.P.; Badjate, S. Modeling Of Antenna Array Parameter Using Neural Network For Directivity Prediction. Int. J. Adv. Res. Electron. Commun. Eng. 2015, 4, 1946–1950. [Google Scholar]
- Rahnamai, K.; Arabshahi, P.; Yan, T.Y.; Pham, T.; Finley, S.G. An Intelligent Fault Detection and Isolation Architecture for Antenna Arrays. The Telecommunications and Data Acquisition Progress Report 42-132. 1998. Available online: https://ipnpr.jpl.nasa.gov/progress_report/42-132/132A.pdf (accessed on 3 January 2022).
- Kurup, D.G. Active and Passive Unequally Spaced Reflect-Arrays and Elements of RF Integration Techniques. Doctoral Dissertation, Acta Universitatis Upsaliensis, Uppsala, Sweden, 2003. [Google Scholar]
- Sallomi, A.H.; Ahmed, S. Elman recurrent neural network application in adaptive beamforming of smart antenna system. Int. J. Comput. Appl. 2015, 975, 8887. [Google Scholar]
- Xin, W.; Konno, K.; Chen, Q. Applying Artificial Neural Network to Diagnose Array Antennas. 2019. Available online: http://www.chenq.ecei.tohoku.ac.jp/common/item/pdf/densou/2019Feb_wangxin.pdf (accessed on 3 January 2022).
- Ghayoula, R.; Fadlallah, N.; Gharsallah, A.; Rammal, M. Design, modelling, and synthesis of radiation pattern of intelligent antenna by artificial neural networks. Appl. Comput. Electromagn. Soc. J. 2008, 23, 336–344. [Google Scholar]
- Kumar, U.; Kapoor, R. Patch Antenna Array Fault Modeling and its Monitoring. IOSR J. Electron. Commun. Eng. 2012, 6, 6–11. [Google Scholar] [CrossRef]
- Wang, L.; Quek, H.C.; Tee, K.H.; Zhou, N.; Wan, C. Optimal size of a feedforward neural network: How much does it matter? In Proceedings of the Joint International Conference on Autonomic and Autonomous Systems and International Conference on Networking and Services-(icas-isns’ 05), Papeete, France, 23–28 October 2005; p. 69. [Google Scholar]
- Thevenot, M.; Menudier, C.; El Sayed Ahmad, A.; Zakka El Nashef, G.; Fezai, F.; Abdallah, Y.; Monediere, T. Synthesis of antenna arrays and parasitic antenna arrays with mutual couplings. Int. J. Antennas Propag. 2012, 2012, 309728. [Google Scholar] [CrossRef] [Green Version]
- Valerio, G.; Baccarelli, P.; Burghignoli, P.; Galli, A.; Rodríguez-Berral, R.; Mesa, F. Analysis of periodic shielded microstrip lines excited by nonperiodic sources through the array scanning method. Radio Sci. 2008, 43, 1–15. [Google Scholar] [CrossRef]
- Mekkioui, Z.; Baudrand, H. A full-wave analysis of uniform microstrip leaky-wave antenna with arbitrary metallic strips. Electromagnetics 2008, 28, 296–314. [Google Scholar] [CrossRef]
- Mekkioui, Z.; Baudrand, H. Effects of multilayers superstrates on microstrip leaky-wave antennas radiating characteristics and performances. Electromagnetics 2005, 25, 133–151. [Google Scholar] [CrossRef]
- Mekkioui, Z.; Baudrand, H. Analyse rigoureuse d’antenne diélectrique microruban uniforme à ondes de fuite. In Annales des Télécommunications; Springer: Berlin/Heidelberg, Germany, 2002; Volume 57, pp. 540–560. [Google Scholar]
- Aidi, M.; Hajji, M.; Ben Ammar, A.; Aguili, T. Graphene nanoribbon antenna modeling based on MoM-GEC method for electromagnetic nanocommunications in the terahertz range. J. Electromagn. Waves Appl. 2016, 30, 1032–1048. [Google Scholar] [CrossRef]
- Yann, C. Modélisation électromagnétique de cellules actives environnées-Application à l’analyse et la synthèse d’une antenne reflectarray à balayage électronique. Doctoral Dissertation, INSA de Rennes, Rennes, France, 2012. [Google Scholar]
- Tchikaya, E.B. Modélisation électromagnétique des Surfaces Sélectives en Fréquence finies uniformes et non-uniformes par la Technique de Changement d’Echelle (SCT). Doctoral Dissertation, Polytechnique Toulouse, Toulouse, France, 2010. [Google Scholar]
- Costa, B.F.; Abrao, T. Closed-form directivity expression for arbitrary volumetric antenna arrays. IEEE Trans. Antennas Propag. 2018, 66, 7443–7448. [Google Scholar] [CrossRef]
- Bilel, H.; Taoufik, A. Floquet Spectral Almost-Periodic Modulation of Massive Finite and Infinite Strongly Coupled Arrays: Dense-Massive-MIMO, Intelligent-Surfaces, 5G, and 6G Applications. Electronics 2022, 11, 36. [Google Scholar] [CrossRef]
- Bilel, H.; Selma, L.; Taoufik, A. Artificial neural network (ANN) approach for synthesis and optimization of (3D) three-dimensional periodic phased array antenna. In Proceedings of the 2016 17th International Symposium on Antenna Technology and Applied Electromagnetics (ANTEM), Montreal, QC, Canada, 10–13 July 2016; pp. 1–6. [Google Scholar]
- Dudczyk, J.; Kawalec, A. Adaptive forming of the beam pattern of microstrip antenna with the use of an artificial neural network. Int. J. Antennas Propag. 2012, 2012, 935073. [Google Scholar] [CrossRef]
- Hamdi, B.; Nouainia, A.; Aguili, T.; Baudrand, H. ANN Synthesis and Optimization of Electronically Scanned Coupled Planar Periodic and Aperiodic Antenna Arrays Modeled by the MoM-GEC Approach. In Proceedings of the 2020 IEEE Eighth International Conference on Communications and Electronics (ICCE)—MICROWAVE ENGINEERING, Phu Quoc Island, Vietnam, 13–15 January 2021; Available online: https://vixra.org/pdf/2111.0161v1.pdf (accessed on 3 January 2022).
- Kapetanakis, T.N.; Vardiambasis, I.O.; Liodakis, G.S.; Ioannidou, M.P.; Maras, A.M. Smart antenna design using neural networks. In Proceedings of the 8th International Conference: New Horizons in Industry, Business and Education (NHIBE 2013), Chania, Greece, 29 August 2013; pp. 130–135. [Google Scholar]
- Rawat, A.; Yadav, R.N.; Shrivastava, S.C. Neural network applications in smart antenna arrays: A review. AEU-Int. J. Electron. Commun. 2012, 66, 903–912. [Google Scholar] [CrossRef]
- Ali, B.A.; Salit, M.S.; Zainudin, E.S.; Othman, M. Integration of artificial neural network and expert system for material classification of natural fibre reinforced polymer composites. Am. J. Appl. Sci. 2015, 12, 174. [Google Scholar]
- Ghayoula, E.; Ghayoula, R.; Haj-Taieb, M.; Chouinard, J.Y.; Bouallegue, A. Pattern Synthesis Using Hybrid Fourier-Neural Networks for IEEE 802.11 MIMO Application. Prog. Electromagn. Res. B 2016, 67, 45–58. [Google Scholar] [CrossRef] [Green Version]
- Ayari, M.; Aguili, T.; Temimi, H.; Baudrand, H. An extended version of Transverse Wave Approach (TWA) for full-wave investigation of planar structures. J. Microw. Optoelectron. Electromagn. Appl. (JMOe) 2008, 7, 123–138. [Google Scholar]
- Hamdi, B.; Aguili, T. MoM-GEC combined with Floquet analysis to study scanned coupled almost periodic antenna arrays in massive MIMO for 5G generation and FMCW automotive radar applications. In Proceedings of the 2020 IEEE International Symposium on Antennas and Propagation and North American Radio Science Meeting, Montreal, QC, Canada, 5–10 July 2020; pp. 1941–1942. [Google Scholar]
- 14.1 Project:Midpoint Sums Approximating Double Integrals (Using MATLAB). Available online: https://people.math.aau.dk/~olav/undervisning/ide10/proj14-1.pdf (accessed on 3 January 2022).
- Das, S.K. Antenna and Wave Propagation; Tata McGraw-Hill Education: New York, NY, USA, 2013. [Google Scholar]

































| Number of input neurons | 100 |
| Number of hidden layers | 2 |
| Number of output neurons | 1 |
| Algorithm | lm |
| Learning rate | 0.01 |
| Momentum | 0.95 |
| MSE goal | |
| Minimum performance gradient | |
| Initial mu | 0.001 |
| mu decrease factor | 0.1 |
| mu increase factor | 10 |
| Maximum mu | |
| Epochs between displays | 25 |
| Generate command-line output | false |
| Show training GUI | true |
| Maximum time to train in seconds | inf |
| Maximum number of epochs | 300 |
| Regularization parameter | 0.8 |
| Transfer function in hidden layer | tan-sigmoid (“tansig”) |
| Transfer function in output layer | linear(“purelin”) |
| Training | Time Consumed by the Algorithm (s) |
|---|---|
| Default training (with levenberg algorithm) | |
| Training with early stopping method (using levenberg algorithm) |
| EM Calculation Using ANN Optimization | ANN with Spatial MoM Coding | ANN with Floquet MoM Coding |
|---|---|---|
| Elapsed CPU Time (in seconds) |
Publisher’s Note: MDPI stays neutral with regard to jurisdictional claims in published maps and institutional affiliations. |
© 2022 by the authors. Licensee MDPI, Basel, Switzerland. This article is an open access article distributed under the terms and conditions of the Creative Commons Attribution (CC BY) license (https://creativecommons.org/licenses/by/4.0/).
Share and Cite
Bilel, H.; Taoufik, A. Radiation Pattern Synthesis of the Coupled almost Periodic Antenna Arrays Using an Artificial Neural Network Model. Electronics 2022, 11, 703. https://doi.org/10.3390/electronics11050703
Bilel H, Taoufik A. Radiation Pattern Synthesis of the Coupled almost Periodic Antenna Arrays Using an Artificial Neural Network Model. Electronics. 2022; 11(5):703. https://doi.org/10.3390/electronics11050703
Chicago/Turabian StyleBilel, Hamdi, and Aguili Taoufik. 2022. "Radiation Pattern Synthesis of the Coupled almost Periodic Antenna Arrays Using an Artificial Neural Network Model" Electronics 11, no. 5: 703. https://doi.org/10.3390/electronics11050703
APA StyleBilel, H., & Taoufik, A. (2022). Radiation Pattern Synthesis of the Coupled almost Periodic Antenna Arrays Using an Artificial Neural Network Model. Electronics, 11(5), 703. https://doi.org/10.3390/electronics11050703

