Detection of an Incipient Fault for Dual Three-Phase PMSMs Using a Modified Autoencoder
Abstract
1. Introduction
2. IITSC Fault and Dataset Description
2.1. IITSC Fault
2.2. Dataset Description
3. MDAE Network with an Improved Distribution Metric
3.1. Basic AE Network
3.2. MMD + MCD
3.3. Regular Term
3.4. Objective Function
4. IITSC Online Fault Detection Based on the Proposed AE Network
4.1. Overall Framework of the IITSC Detection Algorithm
4.2. Abnormal Detection Model
5. Experimental Results
5.1. Experiment Platform and Data Processing
5.2. Test Results
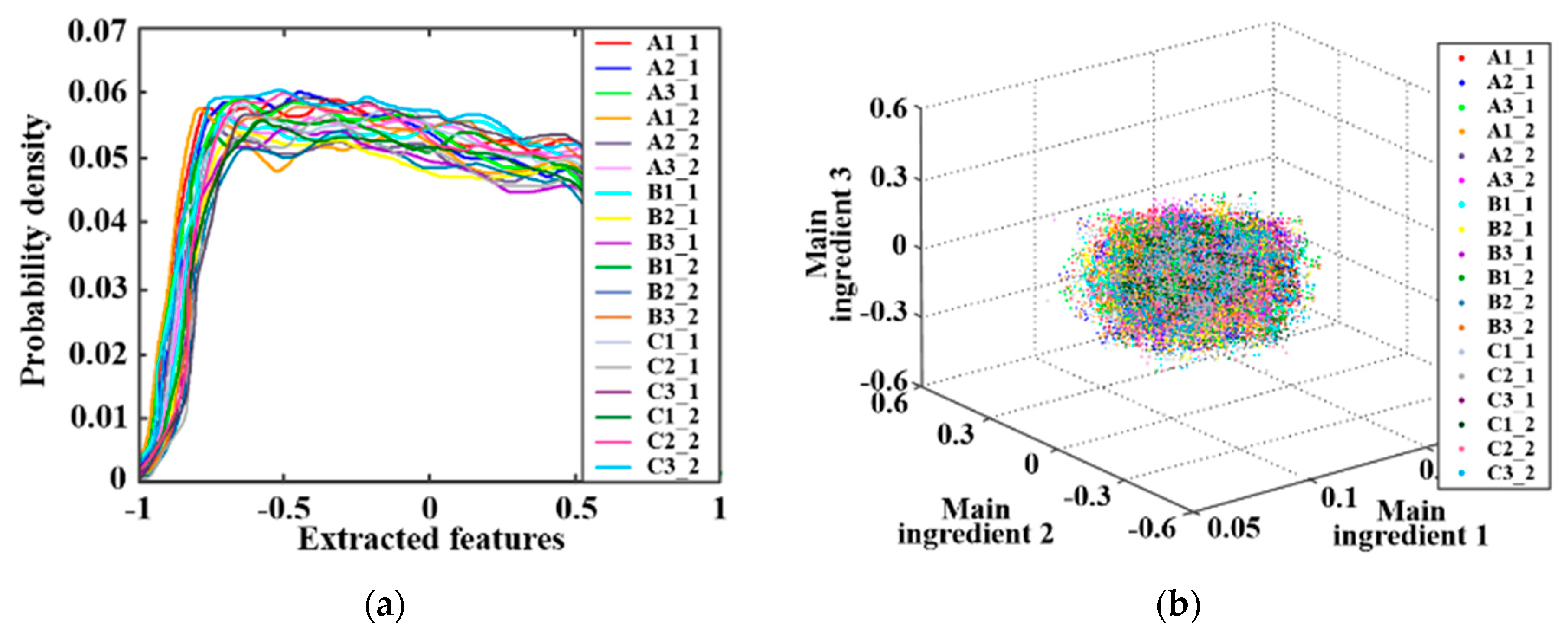
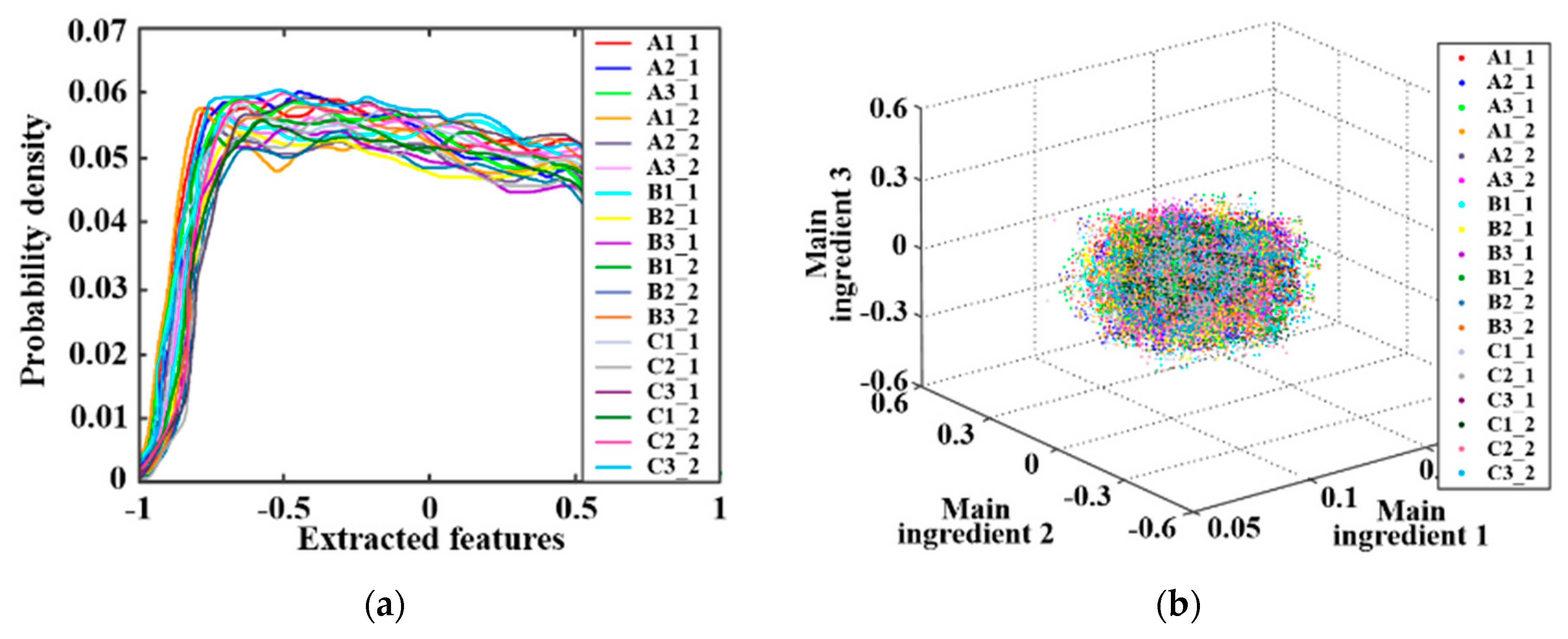
5.2.1. Extracted Feature Results
5.2.2. Permutation Entropy Results
5.3. Experimental Results of the IISC
5.3.1. Experiment for the Winding C2_2
5.3.2. Experiment for Winding B1_1
5.4. Comparison of the Related Methods
6. Conclusions
Author Contributions
Funding
Conflicts of Interest
References
- Hang, J.; Ding, S.C.; Ren, X.X.; Hu, Q.T.; Huang, Y.R.; Hua, W.; Wang, Q.J. Ripple Minimization Control for Direct-Torque-Controlled SPMSM Drive System. IEEE Trans. Power Electron. 2021, 36, 11124–11134. [Google Scholar] [CrossRef]
- Zuo, Y.; Zhu, X.; Si, X.; Lee, C.H.T. Fault-Tolerant Control for Multiple Open-Leg Faults in Open-End Winding Permanent Magnet Synchronous Motor System Based on Winding Reconnection. IEEE Trans. Power Electron. 2021, 36, 6068–6078. [Google Scholar] [CrossRef]
- Nguyen, V.; Wang, D. A closed-form solution to fault parameter estimation and faulty phase identification of stator winding inter-turn fault in induction machines. In Proceedings of the IECON 2015—41st Annual Conference of the IEEE Industrial Electronics Society, Yokohama, Japan, 9–12 November 2015; pp. 000286–000291. [Google Scholar]
- Singh, M.; Shaik, A.G. Incipient Fault Detection in Stator Windings of an Induction Motor Using Stock well Transform and SVM. IEEE Trans. Instrum. Meas. 2020, 69, 9496–9504. [Google Scholar] [CrossRef]
- Mazzoletti, M.A.; Bossio, G.R.; De Angelo, C.H. Interturn short-circuit fault diagnosis in PMSM with partitioned stator windings. IET Electr. Power Appl. 2020, 14, 2301–2311. [Google Scholar] [CrossRef]
- Gurusamy, V.; Bostanci, E.; Li, C.; Qi, Y.; Akin, B. A Stray Magnetic Flux-Based Robust Diagnosis Method for Detection and Location of Interturn Short Circuit Fault in PMSM. IEEE Trans. Instrum. Meas. 2020, 70, 3500811. [Google Scholar] [CrossRef]
- Chen, J.; Hao, L.; Wang, X.; Guo, L.; Xiong, X.; Wei, Y.; Li, W.; Yang, D. Analysis of armature winding open-phase fault in multi-phase annular brushless exciter at nuclear power plant. IET Electr. Power Appl. 2021, 15, 271–283. [Google Scholar] [CrossRef]
- Li, X.; Feng, G. Different Faults Diagnosis and Classification on-Line in Permanent Magnet Synchronous Machines Using Improved Exponential Discriminant Analysis. IEEJ Trans. Electr. Eng. 2020, 15, 1365–1376. [Google Scholar]
- Hang, J.; Zhang, J.; Xia, M.; Ding, S.; Hua, W. Interturn Fault Diagnosis for Model-Predictive-Controlled-PMSM Based on Cost Function and Wavelet Transform. IEEE Trans. Power Electron. 2020, 35, 6405–6418. [Google Scholar] [CrossRef]
- Mahmoud, H.; Abou-Elyazied Abdallh, A. An Inverse Approach for Interturn Fault Detection in Asynchronous Machines Using Magnetic Pendulous Oscillation Technique. IEEE Trans. Ind. Appl. 2016, 52, 226–233. [Google Scholar] [CrossRef]
- Espinosa, A.G.; Rosero, J.A.; Cusidó, J.; Romeral, L.; Ortega, J.A. Fault detection by means of Hilbert–Huang transform of the stator current in a PMSM with demagnetization. IEEE Trans. Energy Convers. 2010, 25, 312–318. [Google Scholar] [CrossRef]
- Bouzid, M.B.K.; Champenois, G.; Bellaaj, N.M.; Signac, L.; Jelassi, K. An Effective Neural Approach for the Automatic Location of Stator Interturn Faults in Induction Motor. IEEE Trans. Ind. Electron. 2008, 55, 4277–4289. [Google Scholar] [CrossRef]
- Zidani, F.; Benbouzid, M.E.H.; Diallo, D.; Nait-Said, M. Induction motor stator faults diagnosis by a current concordia pattern-based fuzzy decision system. IEEE Trans. Energy Convers. 2003, 18, 469–475. [Google Scholar] [CrossRef]
- Seshadrinath, J.; Singh, B.; Panigrahi, B.K. Vibration Analysis Based Interturn Fault Diagnosis in Induction Machines. IEEE Trans. Ind. Inform. 2014, 10, 340–350. [Google Scholar] [CrossRef]
- Skowron, M.; Orlowska-Kowalska, T.; Kowalski, C.T. Application of simplified convolutional neural networks for initial stator winding fault detection of the PMSM drive using different raw signal data. IET Electr. Power Appl. 2021, 15, 932–946. [Google Scholar] [CrossRef]
- Zhang, Y.; Ji, J. Intelligent Fault Diagnosis of a Reciprocating Compressor Using Mode Isolation Convolutional Deep Belief Networks. IEEE/ASME Trans. Mechatronics 2021, 26, 1668–1677. [Google Scholar] [CrossRef]
- Lee, H.; Jeong, H.; Koo, G.; Ban, J.; Kim, S.W. Attention Recurrent Neural Network-Based Severity Estimation Method for Interturn Short-Circuit Fault in Permanent Magnet Synchronous Machines. IEEE Trans. Ind. Electron. 2021, 68, 3445–3453. [Google Scholar] [CrossRef]
- Zhao, X.; Jia, M.; Ding, P.; Yang, C.; She, D.; Liu, Z. Intelligent Fault Diagnosis of Multichannel Motor–Rotor System Based on Multimanifold Deep Extreme Learning Machine. IEEE/ASME Trans. Mechatronics 2020, 25, 2177–2187. [Google Scholar] [CrossRef]
- Cheng, C.; Qiao, X.; Luo, H.; Wang, G.; Teng, W.; Zhang, B. Data-Driven Incipient Fault Detection and Diagnosis for the Running Gear in High-Speed Trains. IEEE Trans. Veh. Technol. 2020, 69, 9566–9576. [Google Scholar] [CrossRef]
- Chen, H.; Jiang, B.; Zhang, T.; Lu, N. Data-driven and deep learning-based detection and diagnosis of incipient faults with application to electrical traction systems. Neurocomputing 2020, 396, 429–437. [Google Scholar] [CrossRef]
- Munikoti, S.; Das, L.; Natarajan, B.; Srinivasan, B. Data-Driven Approaches for Diagnosis of Incipient Faults in DC Motors. IEEE Trans. Ind. Inform. 2019, 15, 5299–5308. [Google Scholar] [CrossRef]
- Chen, H.; Chai, Z.; Jiang, B.; Huang, B. Data-Driven Fault Detection for Dynamic Systems with Performance Degradation: A Unified Transfer Learning Framework. IEEE Trans. Instrum. Meas. 2021, 70, 3504712. [Google Scholar] [CrossRef]
- Yang, S.; Kong, X.; Wang, Q.; Li, Z.; Cheng, H.; Xu, K. Deep multiple auto-encoder with attention mechanism network: A dynamic domain adaptation method for rotary machine fault diagnosis under different working conditions. Knowledge-Based Syst. 2022, 249, 108639. [Google Scholar] [CrossRef]
- Ma, Y.; Yang, J.; Li, L. Collaborative and adversarial deep transfer auto-encoder for intelligent fault diagnosis. Neurocomputing 2022, 486, 1–15. [Google Scholar] [CrossRef]
- Shi, H.; Shang, Y. Initial Fault Diagnosis of Rolling Bearing Based on Second-Order Cyclic Autocorrelation and DCAE Combined with Transfer Learning. IEEE Trans. Instrum. Meas. 2022, 71, 3503818. [Google Scholar] [CrossRef]
- Lu, W.; Liang, B.; Cheng, Y.; Meng, D.; Yang, J.; Zhang, T. Deep Model Based Domain Adaptation for Fault Diagnosis. IEEE Trans. Ind. Electron. 2017, 64, 2296–2305. [Google Scholar] [CrossRef]
- Wen, L.; Gao, L. A New Deep Transfer Learning Based on Sparse Auto-Encoder for Fault Diagnosis. IEEE Trans. Syst. Man Cybern. Syst. 2019, 49, 136–144. [Google Scholar] [CrossRef]
- Yang, B.; Lei, Y.; Jia, F.; Xing, S. An intelligent fault diagnosis approach based on transfer learning from laboratory bearings to locomotive bearings. Mech. Syst. Signal Process. 2019, 122, 692–706. [Google Scholar] [CrossRef]
- Zhang, W.; Zhang, X.; Lan, L.; Luo, Z. Maximum Mean and Covariance Discrepancy for Unsupervised Domain Adaptation. Neural Process. Lett. 2020, 51, 347–366. [Google Scholar] [CrossRef]
- Mao, W.; Tian, S.; Dou, Z.; Zhang, D.; Ding, L. A New Deep Transfer Learning-based Online Detection Method of Rolling Bearing Early Fault. Acta Autom. Sin. 2022, 48, 302–314. [Google Scholar]
- Mao, W.; Chen, J.; Liang, X.; Zhang, X. A New Online Detection Approach for Rolling Bearing Incipient Fault via Self-Adaptive Deep Feature Matching. IEEE Trans. Instrum. Meas. 2020, 69, 443–456. [Google Scholar] [CrossRef]
- Ren, Z. Research on Fault Diagnosis of the Key Componets of Wind Turbine Based on Deep Belief Network. Master’s Thesis, Yanshan University, Qinhuangdao, China, 2018. [Google Scholar]













| Parameter | Value | Parameter | Value | Parameter | Value |
|---|---|---|---|---|---|
| Number of phases | 6 | Number of coils | 12 | Maximum current | 300 A |
| Rated power | 2.2 kW | Turns per phase | 10 | Maximum torque | 310 N·m |
| Operating Conditions | Speed (r/min) | Torque (N·m) | Winding Dataset |
|---|---|---|---|
| 1 | 400 | 0 | A1_1 A1_2 B1_1 B1_2 C1_1 C1_2 |
| 2 | 800 | 3 | A2_1 A2_2 B2_1 B2_2 C2_1 C2_2 |
| 3 | 1200 | 5 | A3_1 A3_2 B3_1 B3_2 C3_1 C3_2 |
Publisher’s Note: MDPI stays neutral with regard to jurisdictional claims in published maps and institutional affiliations. |
© 2022 by the authors. Licensee MDPI, Basel, Switzerland. This article is an open access article distributed under the terms and conditions of the Creative Commons Attribution (CC BY) license (https://creativecommons.org/licenses/by/4.0/).
Share and Cite
Xiao, L.; Chen, Q.; Hou, S.; Yan, Z.; Tian, Y. Detection of an Incipient Fault for Dual Three-Phase PMSMs Using a Modified Autoencoder. Electronics 2022, 11, 3741. https://doi.org/10.3390/electronics11223741
Xiao L, Chen Q, Hou S, Yan Z, Tian Y. Detection of an Incipient Fault for Dual Three-Phase PMSMs Using a Modified Autoencoder. Electronics. 2022; 11(22):3741. https://doi.org/10.3390/electronics11223741
Chicago/Turabian StyleXiao, Li, Qi Chen, Shuping Hou, Zhi Yan, and Yiming Tian. 2022. "Detection of an Incipient Fault for Dual Three-Phase PMSMs Using a Modified Autoencoder" Electronics 11, no. 22: 3741. https://doi.org/10.3390/electronics11223741
APA StyleXiao, L., Chen, Q., Hou, S., Yan, Z., & Tian, Y. (2022). Detection of an Incipient Fault for Dual Three-Phase PMSMs Using a Modified Autoencoder. Electronics, 11(22), 3741. https://doi.org/10.3390/electronics11223741
