Novel Hybrid Fusion-Based Technique for Securing Medical Images
Abstract
1. Introduction
- Designing and developing a novel watermarking technique for medical images to achieve copyrights.
- Designing and developing a novel encryption algorithm to secure the watermarked images.
- Developing a fusion process that is based on a fully different image than that to be encrypted.
- Developing three different systems that consider the watermarked images in spatial and DCT domains and the fused watermarked images in DCT. Double random phase encryption (DRPE) and chaotic encryption are used for each system.
- Performance evaluation of the developed technique for heterogeneous images and using various metrics.
2. Background and Related Works
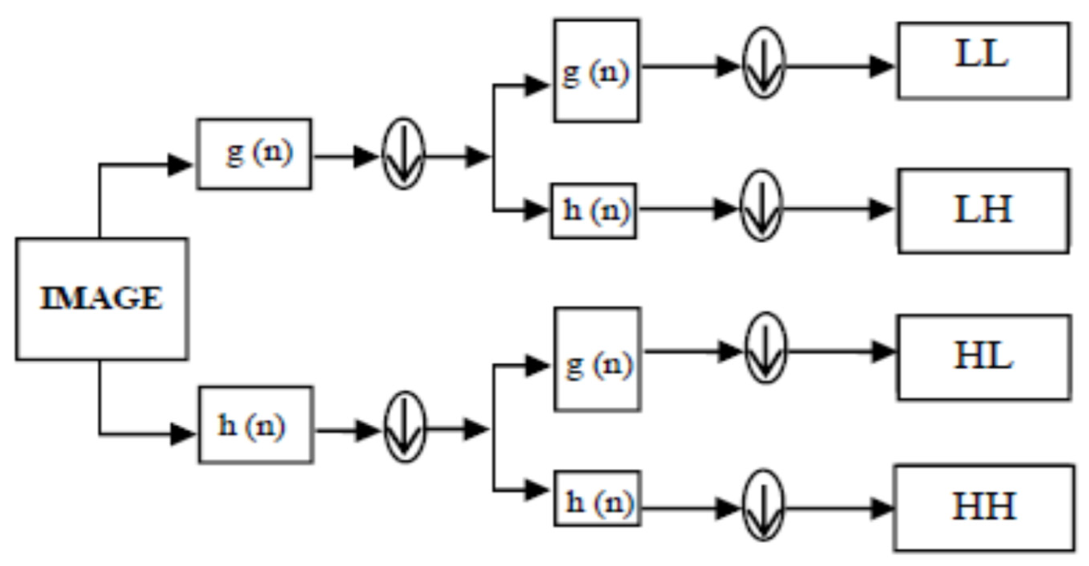
2.1. Discrete Transforms
- A.
- Discrete Cosine Transform (DCT)
- B.
- Discrete Wavelet Transform (DWT)
2.2. The Double Random Phase Encryption (DRPE)
2.3. Chaotic Baker Map
2.4. Fusion with Wavelet Transform
2.5. Related Works
3. Proposed Fusion-Based Securing Technique
4. Experimental Results
4.1. Imperceptibility and Robustness Analysis
4.2. Robustness Analysis
4.2.1. Rotation Attack Analysis
4.2.2. Cropping and Additive Gaussian Noise Analysis
5. Discussion
6. Conclusions
Author Contributions
Funding
Institutional Review Board Statement
Informed Consent Statement
Acknowledgments
Conflicts of Interest
References
- Dhawan, S.; Gupta, R. Analysis of Various Data Security Techniques of Steganography: A Survey. Inf. Secur. J. Glob. Perspect. 2021, 30, 63–87. [Google Scholar] [CrossRef]
- Mahto, D.K.; Singh, A.K. A Survey of Color Image Watermarking: State-of-the-Art and Research Directions. Comput. Electr. Eng. 2021, 93, 107255. [Google Scholar] [CrossRef]
- Wan, W.; Wang, J.; Zhang, Y.; Li, J.; Yu, H.; Sun, J. A Comprehensive Survey on Robust Image Watermarking. Neurocomputing 2022, 488, 226–247. [Google Scholar] [CrossRef]
- Karatas, M.; Eriskin, L.; Deveci, M.; Pamucar, D.; Garg, H. Big Data for Healthcare Industry 4.0: Applications, Challenges and Future Perspectives. Expert Syst. Appl. 2022, 200, 116912. [Google Scholar] [CrossRef]
- Hussain, S.; Mubeen, I.; Ullah, N.; Shah, S.S.U.D.; Khan, B.A.; Zahoor, M.; Ullah, R.; Khan, F.A.; Sultan, M.A. Modern Diagnostic Imaging Technique Applications and Risk Factors in the Medical Field: A Review. BioMed Res. Int. 2022, 2022, 5164970. [Google Scholar] [CrossRef]
- Salcudean, S.E.; Moradi, H.; Black, D.G.; Navab, N. Robot-Assisted Medical Imaging: A Review. Proc. IEEE 2022, 110, 951–967. [Google Scholar] [CrossRef]
- Kaviani, S.; Han, K.J.; Sohn, I. Adversarial Attacks and Defenses on AI in Medical Imaging Informatics: A Survey. Expert Syst. Appl. 2022, 198, 116815. [Google Scholar] [CrossRef]
- Singh, A.K.; Anand, A.; Lv, Z.; Ko, H.; Mohan, A. A Survey on Healthcare Data: A Security Perspective. ACM Trans. Multimed. Comput. Commun. Appl. 2021, 17, 1–26. [Google Scholar] [CrossRef]
- Nagarajan, S.; Anita, X.; Rajangam, V. Medical Image Watermarking: A Review on Wavelet-Based Methods. In Signal and Image Processing Techniques for the Development of Intelligent Healthcare Systems; Springer Singapore: Singapore, 2021; pp. 203–221. ISBN 9789811561405. [Google Scholar]
- Wadhera, S.; Kamra, D.; Rajpal, A.; Jain, A.; Jain, V. A Comprehensive Review on Digital Image Watermarking. arXiv 2022, arXiv:2207.06909. [Google Scholar]
- Mishra, P.; Ahuja, R. Review of Secured, Robust and Imperceptible Digital Watermarking Scheme. In Proceedings of the 2021 9th International Conference on Reliability, Infocom Technologies and Optimization (Trends and Future Directions) (ICRITO), Nodia, India, 3–4 September 2021; pp. 1–5. [Google Scholar]
- Shamshad, F.; Khan, S.; Zamir, S.W.; Khan, M.H.; Hayat, M.; Khan, F.S.; Fu, H. Transformers in Medical Imaging: A Survey. arXiv 2022, arXiv:2201.09873. [Google Scholar]
- Sahin, A.; Guler, I. A Survey of Digital Image Watermarking Techniques Based on Discrete Cosine Transform. Int. J. Inf. Secur. Sci. 2021, 10, 99–110. [Google Scholar]
- Ochoa-Domínguez, H.; Rao, K.R. Discrete Cosine Transform, 1st ed.; CRC Press: Boca Raton, FL, USA, 2019; ISBN 9780203729854. [Google Scholar]
- Solé-Casals, J.; Anchustegui-Echearte, I.; Marti-Puig, P.; Calvo, P.M.; Bergareche, A.; Sánchez-Méndez, J.I.; Lopez-de-Ipina, K. Discrete Cosine Transform for the Analysis of Essential Tremor. Front. Physiol. 2018, 9, 1947. [Google Scholar] [CrossRef] [PubMed]
- Choudhry, M.S.; Kapoor, R.; Abhishek; Gupta, A.; Bharat, B. A Survey on Different Discrete Wavelet Transforms and Thresholding Techniques for EEG Denoising. In Proceedings of the 2016 International Conference on Computing, Communication and Automation (ICCCA), Noida, India, 29–30 April 2016; pp. 1048–1053. [Google Scholar]
- Othman, G.; Zeebaree, D.Q. The Applications of Discrete Wavelet Transform in Image Processing: A Review. Jscdm 2020, 1, 31–43. [Google Scholar]
- Ghadirli, H.M.; Nodehi, A.; Enayatifar, R. An Overview of Encryption Algorithms in Color Images. Signal Process. 2019, 164, 163–185. [Google Scholar] [CrossRef]
- Zhou, K.; Fan, J.; Fan, H.; Li, M. Secure Image Encryption Scheme Using Double Random-Phase Encoding and Compressed Sensing. Opt. Laser Technol. 2020, 121, 105769. [Google Scholar] [CrossRef]
- Zolfaghari, B.; Koshiba, T. Chaotic Image Encryption: State-of-the-Art, Ecosystem, and Future Roadmap. Appl. Syst. Innov. 2022, 5, 57. [Google Scholar] [CrossRef]
- Vijayakumar, T.; Mohamed Parvees, M.Y. Applications of Chaotic Maps for Image Security. J. Optoelectron. Laser 2022, 41, 559–565. [Google Scholar]
- Azam, M.A.; Khan, K.B.; Salahuddin, S.; Rehman, E.; Khan, S.A.; Khan, M.A.; Kadry, S.; Gandomi, A.H. A Review on Multimodal Medical Image Fusion: Compendious Analysis of Medical Modalities, Multimodal Databases, Fusion Techniques and Quality Metrics. Comput. Biol. Med. 2022, 144, 105253. [Google Scholar] [CrossRef]
- Kaur, H.; Koundal, D.; Kadyan, V. Image Fusion Techniques: A Survey. Arch. Comput. Methods Eng. 2021, 28, 4425–4447. [Google Scholar] [CrossRef]
- Thabit, R. Review of Medical Image Authentication Techniques and Their Recent Trends. Multimed. Tools Appl. 2021, 80, 13439–13473. [Google Scholar] [CrossRef]
- Lavanya, A.; Natarajan, V. Watermarking Patient Data in Encrypted Medical Images. Indian Acad. Sci. 2012, 37, 723–729. [Google Scholar] [CrossRef]
- Anand, A.; Singh, A.K. Watermarking Techniques for Medical Data Authentication: A Survey. Multimed. Tools Appl. 2021, 80, 30165–30197. [Google Scholar] [CrossRef]
- Guo, J.; Zheng, P.; Huang, J. Secure Watermarking Scheme against Watermark Attacks in the Encrypted Domain. J. Vis. Commun. Image Represent. 2015, 30, 125–135. [Google Scholar] [CrossRef]
- Mohananthini, N.; Yamuna, G. Comparison of Multiple Watermarking Techniques Using Genetic Algorithms. J. Electr. Syst. Inf. Technol. 2016, 3, 68–80. [Google Scholar] [CrossRef]
- Prathap, I.; Natarajan, V.; Anitha, R. Hybrid Robust Watermarking for Color Images. Comput. Electr. Eng. 2014, 40, 920–930. [Google Scholar] [CrossRef]
- Parah, S.A.; Sheikh, J.A.; Ahad, F.; Loan, N.A.; Bhat, G.M. Information Hiding in Medical Images: A Robust Medical Image Watermarking System for E-Healthcare. Multimed. Tools Appl. 2017, 76, 10599–10633. [Google Scholar] [CrossRef]
- Thakkar, F.N.; Srivastava, V.K. A Blind Medical Image Watermarking: DWT-SVD Based Robust and Secure Approach for Telemedicine Applications. Multimed. Tools Appl. 2017, 76, 3669–3697. [Google Scholar] [CrossRef]
- Badshah, G.; Liew, S.-C.; Zain, J.M.; Ali, M. Watermark Compression in Medical Image Watermarking Using Lempel-Ziv-Welch (LZW) Lossless Compression Technique. J. Digit. Imaging 2016, 29, 216–225. [Google Scholar] [CrossRef]
- Eswaraiah, R.; Sreenivasa Reddy, E. Robust Medical Image Watermarking Technique for Accurate Detection of Tampers inside Region of Interest and Recovering Original Region of Interest. IET Image Process. 2015, 9, 615–625. [Google Scholar] [CrossRef]
- Selvam, P.; Balachandran, S.; Pitchai Iyer, S.; Jayabal, R. Hybrid Transform Based Reversible Watermarking Technique for Medical Images in Telemedicine Applications. Optik 2017, 145, 655–671. [Google Scholar] [CrossRef]
- Turuk, M.P.; Dhande, A.P. A Novel Reversible Multiple Medical Image Watermarking for Health Information System. J. Med. Syst. 2016, 40, 269. [Google Scholar] [CrossRef]
- Gao, L.; Gao, T.; Zhao, J. Reversible Watermarking in Medical Image Using RDWT and Sub-Sample. In Cryptography; IGI Global: Hershey, PA, USA, 2020; pp. 480–497. [Google Scholar]
- Swaraja, M.; Kora, P. An Optimized Blind Dual Medical Image Watermarking Framework for Tamper Localization and Content Authentication in Secured Telemedicine. Biomed. Signal Process. Control. 2020, 55, 101665. [Google Scholar] [CrossRef]
- Khare, P.; Srivastava, V.K. A Secured and Robust Medical Image Watermarking Approach for Protecting Integrity of Medical Images. Trans. Emerg. Telecommun. Technol. 2021, 32, e3918. [Google Scholar] [CrossRef]
- Parah, S.A.; Sheikh, J.A.; Akhoon, J.A.; Loan, N.A. Electronic Health Record Hiding in Images for Smart City Applications: A Computationally Efficient and Reversible Information Hiding Technique for Secure Communication. Future Gener. Comput. Syst. 2020, 108, 935–949. [Google Scholar] [CrossRef]
- Zheng, X.; Zhang, L.; Li, K.; Zeng, X. Efficient Publication of Distributed and Overlapping Graph Data under Differential Privacy. Tsinghua Sci. Technol. 2022, 27, 235–243. [Google Scholar] [CrossRef]
- Qi, L.; Hu, C.; Zhang, X.; Khosravi, M.R.; Sharma, S.; Pang, S.; Wang, T. Privacy-Aware Data Fusion and Prediction with Spatial-Temporal Context for Smart City Industrial Environment. IEEE Trans. Industr. Inform. 2021, 17, 4159–4167. [Google Scholar] [CrossRef]
- Li, F.; Yu, X.; Ge, R.; Wang, Y.; Cui, Y.; Zhou, H. BCSE: Blockchain-Based Trusted Service Evaluation Model over Big Data. Big Data Min. Anal. 2022, 5, 1–14. [Google Scholar] [CrossRef]
- Sun, L.; Ping, G.; Ye, X. PrivBV: Distance-Aware Encoding for Distributed Data with Local Differential Privacy. Tsinghua Sci. Technol. 2022, 27, 412–421. [Google Scholar] [CrossRef]
- Panigrahy, C.; Seal, A.; Mahato, N.K. MRI and SPECT Image Fusion Using a Weighted Parameter Adaptive Dual Channel PCNN. IEEE Signal Process. Lett. 2020, 27, 690–694. [Google Scholar] [CrossRef]









| Name of the Proposed Techniques | Encryption Method | Description of the Technique |
|---|---|---|
| Proposed technique (1) | DRPE | DRPE encryption of watermarked image in spatial domain |
| Chaotic | Chaotic encryption of watermarked image in spatial domain | |
| Proposed technique (2) | DRPE | DRPE encryption of watermarked image in DCT domain |
| Chaotic | Chaotic encryption of watermarked image in DCT domain | |
| Proposed technique (3) | DRPE | DRPE encryption of Fused watermarked image in DCT domain |
| Chaotic | Chaotic encryption of Fused watermarked image in DCT domain |
| Cover Image | Watermark | Proposed (3) DRPE (Watermarking + Fusion in Frequency Domain) | ||||
|---|---|---|---|---|---|---|
| Encryption | Decryption | |||||
| PSNRw (After adding watermark) | PSNRf (After fusion) | PSNRe (After DRPE encryption) | PSNRd (After decryption) | Cr (between the recovered watermark and the original one) | ||
![]() | ![]() | ![]() | ![]() | ![]() | ![]() | ![]() |
| 116.87 dB | 16.48 dB | 11.99 dB | 116.87 dB | 0.8964 | ||
![]() | ![]() | ![]() | ![]() | ![]() | ![]() | ![]() |
| 116.86 dB | 15.49 dB | 9.246 dB | 116.86 dB | 0.8964 | ||
![]() | ![]() | ![]() | ![]() | ![]() | ![]() | ![]() |
| 116.85 dB | 16.22 dB | 11.33 dB | 116.85 dB | 0.8964 | ||
![]() | ![]() | ![]() | ![]() | ![]() | ![]() | ![]() |
| 116.85 dB | 15.91 dB | 10.72 dB | 116.85 dB | 0.8964 | ||
![]() | ![]() | ![]() | ![]() | ![]() | ![]() | ![]() |
| 115 dB | 14.45 dB | 11.95 dB | 115 dB | 0.8964 | ||
![]() | ![]() | ![]() | ![]() | ![]() | ![]() | ![]() |
| 113 dB | 17.13 dB | 10.47 dB | 113 dB | 0.79 | ||
| Cover Image | Watermark | Proposed (3) Chaotic (Watermarking Fusion in Frequency Domain) | ||||
|---|---|---|---|---|---|---|
| Encryption | Decryption | |||||
| PSNRw (After adding Watermark) | PSNRf (After fusion) | PSNRe (After DRPE encryption) | PSNRd (After decryption) | Cr (between the recovered watermark and the original one) | ||
![]() | ![]() | ![]() | ![]() | ![]() | ![]() | ![]() |
| 116.87 dB | 16.09 dB | 13.4 dB | 116.87 dB | 0.8964 | ||
![]() | ![]() | ![]() | ![]() | ![]() | ![]() | ![]() |
| 116.84 dB | 14.7 dB | 11.66 dB SSIM = 0.0779 | 116.84 dB | 0.8964 | ||
![]() | ![]() | ![]() | ![]() | ![]() | ![]() | ![]() |
| 116.86 dB | 15.75 dB | 12.53 dB | 116.86 dB | 0.8964 | ||
![]() | ![]() | ![]() | ![]() | ![]() | ![]() | ![]() |
| 116.86 dB | 15.39 dB | 11.77 dB SSIM = 0.055 | 116.86 dB | 0.8964 | ||
![]() | ![]() | ![]() | ![]() | ![]() | ![]() | ![]() |
| 115.13 dB | 13.72 dB | 11.95 dB SSIM = 0.0368 | 115.13 dB | 0.8964 | ||
![]() | ![]() | ![]() | ![]() | ![]() | ![]() | ![]() |
| 113 dB | 17.13 dB | 12.21 dB | 113 dB | 0.7924 | ||
| Cover Image | Watermark | Proposed (2) DRPE (Watermarking in Frequency Domain) | |||
|---|---|---|---|---|---|
| Encryption | Decryption | ||||
| PSNRw (After adding watermark) | PSNRe (After DRPE encryption) | PSNRd (After decryption) | Cr (between the recovered watermark and the original one) | ||
![]() | ![]() | ![]() | ![]() | ![]() | ![]() |
| 116.87 dB | 7.36 dB | 116.87 dB | 0.8964 | ||
![]() | ![]() | ![]() | ![]() | ![]() | ![]() |
| 116.86 dB | 3.33 dB | 116.86 dB | 0.8964 | ||
![]() | ![]() | ![]() | ![]() | ![]() | ![]() |
| 116.85 dB | 6.77 dB | 116.85 dB | 0.8964 | ||
![]() | ![]() | ![]() | ![]() | ![]() | ![]() |
| 116.85 dB | 5.99 dB | 116.85 dB | 0.8964 | ||
![]() | ![]() | ![]() | ![]() | ![]() | ![]() |
| 115 dB | 10.72 dB | 115 dB | 0.8964 | ||
![]() | ![]() | ![]() | ![]() | ![]() | ![]() |
| 113 dB | 5.74 dB | 113 dB | 0.79 | ||
| Cover Image | Watermark | Proposed (2) Chaotic (Watermarking in Frequency Domain) | |||
|---|---|---|---|---|---|
| Encryption | Decryption | ||||
| PSNRw (After adding watermark) | PSNRe (After DRPE encryption) | PSNRd (After decryption) | Cr (between the recovered watermark and the original one) | ||
![]() | ![]() | ![]() | ![]() | ![]() | ![]() |
| 116.88 dB | 13.14 dB | 116.88 dB | 0.8964 | ||
![]() | ![]() | ![]() | ![]() | ![]() | ![]() |
| 116.84 dB | 12 dB SSIM = 0.0789 | 116.84 dB | 0.8964 | ||
![]() | ![]() | ![]() | ![]() | ![]() | ![]() |
| 116.86 dB | 11.78 dB | 116.86 dB | 0.8964 | ||
![]() | ![]() | ![]() | ![]() | ![]() | ![]() |
| 116.86 dB | 10.67 dB | 116.86 dB | 0.8964 | ||
![]() | ![]() | ![]() | ![]() | ![]() | ![]() |
| 115.13 dB | 12.55 dB | 115.13 dB | 0.8964 | ||
![]() | ![]() | ![]() | ![]() | ![]() | ![]() |
| 113.012 dB | 11.6 dB SSIM = 0.038 | 113.012 | 0.625 | ||
| Cover Image | Watermark | Proposed (1) DRPE (Watermarking-Single Watermark-Spatial) | |||
|---|---|---|---|---|---|
| Encryption | Decryption | ||||
| PSNRw (After adding watermark) | PSNRe (After DRPE encryption) | PSNRd (After decryption) | Cr (between the recovered watermark and the original one) | ||
![]() | ![]() | ![]() | ![]() | ![]() | ![]() |
| 74.77 dB | 12.32 dB | 74.77 dB | 0.8964 | ||
![]() | ![]() | ![]() | ![]() | ![]() | ![]() |
| 74.65 dB | 8.94 dB | 74.65 dB | 0.8964 | ||
![]() | ![]() | ![]() | ![]() | ![]() | ![]() |
| 74.68 dB | 11.47 dB | 74.68 dB | 0.8964 | ||
![]() | ![]() | ![]() | ![]() | ![]() | ![]() |
| 74.47 dB | 10.63 dB | 74.47 dB | 0.8963 | ||
![]() | ![]() | ![]() | ![]() | ![]() | ![]() |
| 74.37 dB | 13.69 dB | 74.37 dB | 0.8964 | ||
![]() | ![]() | ![]() | ![]() | ![]() | ![]() |
| 70.53 dB | 10.31 dB SSIM = 0.016 | 70.53 dB | 0.79 | ||
| Cover Image | Watermark | Proposed (1) Chaotic (Watermarking-Single Watermark-Spatial) | |||
|---|---|---|---|---|---|
| Encryption | Decryption | ||||
| PSNRw(After adding watermark) | PSNRe(After DRPE encryption) | PSNRd(After decryption) | Cr (between the recovered watermark and original one) | ||
![]() | ![]() | ![]() | ![]() | ![]() | ![]() |
| 64.72 dB | 14.46 dB | 64.72 dB | 0.8964 | ||
![]() | ![]() | ![]() | ![]() | ![]() | ![]() |
| 53.59 dB | 13.33 dB | 53.59 dB | 0.8965 | ||
![]() | ![]() | ![]() | ![]() | ![]() | ![]() |
| 66.88 dB | 13.1 dB | 66.88 dB | 0.8964 | ||
![]() | ![]() | ![]() | ![]() | ![]() | ![]() |
| 60 dB | 12.07 dB | 60 dB | 0.8963 | ||
![]() | ![]() | ![]() | ![]() | ![]() | ![]() |
| 69.81 dB | 12.55 dB | 69.81 dB | 0.8964 | ||
![]() | ![]() | ![]() | ![]() | ![]() | ![]() |
| 55.72 dB | 1.6 dB SSIM = 0.0379 | 55.72 dB | 0.79 SSIM = 0.73 | ||
| Cover Image | Proposed (3) Chaotic (Watermarking + Fusion in Frequency Domain) | Proposed (3) DRPE (Watermarking + Fusion in Frequency Domain) | ||
|---|---|---|---|---|
| Encryption | Decryption | Encryption | Decryption | |
| The encrypted image is rotated by 30 degrees | correlation (between the recovered watermark and the original one) | The encrypted image is rotated by 30 degrees | correlation (between the recovered watermark and the original one) | |
![]() | ![]() | ![]() | ![]() | ![]() |
| 0.76 | 0.63 | |||
![]() | ![]() | ![]() | ![]() | ![]() |
| 0.8 | 0.7 | |||
![]() | ![]() | ![]() | ![]() | ![]() |
| 0.69 | 0.63 | |||
![]() | ![]() | ![]() | ![]() | ![]() |
| 0.66 | 0.64 | |||
| Cover Image | Proposed (2) Chaotic (Watermarking in Frequency Domain) | Proposed (2) DRPE (Watermarking in Frequency Domain) | ||
|---|---|---|---|---|
| Encryption | Decryption | Encryption | Decryption | |
| The encrypted image is rotated by 30 degrees | correlation (between the recovered watermark and the original one) | The encrypted image is rotated by 30 degrees | correlation (between the recovered watermark and the original one) | |
![]() | ![]() | ![]() | ![]() | ![]() |
| 0.75 | 0.64 | |||
![]() | ![]() | ![]() | ![]() | ![]() |
| 0.8 | 0.67 | |||
![]() | ![]() | ![]() | ![]() | ![]() |
| 0.65 | 0.58 | |||
![]() | ![]() | ![]() | ![]() | ![]() |
| 0.7 | 0.6 | |||
| Cover Image | Proposed (1) Chaotic (Watermarking-Single Watermark-Spatial) | Proposed (1) DRPE (Watermarking-Single Watermark-Spatial) | ||
|---|---|---|---|---|
| Encryption | Decryption | Encryption | Decryption | |
| The encrypted image is rotated by 30 degree | Cr (between the recovered watermark and the original one) | The encrypted image is rotated by 30 degree | Cr (between the recovered watermark and the original one) | |
![]() | ![]() | ![]() | ![]() | ![]() |
| 0.78 | 0.66 | |||
![]() | ![]() | ![]() | ![]() | ![]() |
| 0.81 | 0.67 | |||
![]() | ![]() | ![]() | ![]() | ![]() |
| 0.7 | 0.59 | |||
![]() | ![]() | ![]() | ![]() | ![]() |
| 0.72 | 0.62 | |||
| Cover Image | Proposed (3) Chaotic (Watermarking + Fusion in Frequency Domain) | Proposed (3) DRPE (Watermarking + Fusion in Frequency Domain) | ||
|---|---|---|---|---|
| Encryption | Decryption | Encryption | Decryption | |
| Encrypted image cropped by 20% | Cr (between the recovered watermark and the original one) | Encrypted image cropped by 20% | Cr (between the recovered watermark and the original one) | |
![]() | ![]() | ![]() | ![]() | ![]() |
| 0.62 | 0.69 | |||
![]() | ![]() | ![]() | ![]() | ![]() |
| 0.77 | 0.72 | |||
![]() | ![]() | ![]() | ![]() | ![]() |
| 0.836 | 0.63 | |||
![]() | ![]() | ![]() | ![]() | ![]() |
| 0.55 | 0.66 | |||
| Cover image | Proposed (2) Chaotic (Watermarking in frequency domain) | Proposed (2) DRPE (Watermarking in frequency domain) | ||
|---|---|---|---|---|
| Encryption | Decryption | Encryption | Decryption | |
| Encrypted image cropped by 20% | Cr (between the recovered watermark and the original one) | Encrypted image cropped by 20% | Cr (between the recovered watermark and the original one) | |
![]() | ![]() | ![]() | ![]() | ![]() |
| 0.69 | 0.71 | |||
![]() | ![]() | ![]() | ![]() | ![]() |
| 0.79 | 0.73 | |||
![]() | ![]() | ![]() | ![]() | ![]() |
| 0.82 | 0.66 | |||
![]() | ![]() | ![]() | ![]() | ![]() |
| 0.83 | 0.76 | |||
| Cover image | Proposed (1) Chaotic (Watermarking-Single Watermark-Spatial) | Proposed (1) DRPE (Watermarking-Single Watermark-Spatial) | ||
|---|---|---|---|---|
| Encryption | Decryption | Encryption | Decryption | |
| Encrypted image cropped by 20% | Cr (between the recovered watermark and the original one) | Encrypted image cropped by 20% | Cr (between the recovered watermark and the original one) | |
![]() | ![]() | ![]() | ![]() | ![]() |
| 0.732 | 0.669 | |||
![]() | ![]() | ![]() | ![]() | ![]() |
| 0.826 | 0.687 | |||
![]() | ![]() | ![]() | ![]() | ![]() |
| 0.868 | 0.602 | |||
![]() | ![]() | ![]() | ![]() | ![]() |
| 0.61 | 0.72 | |||
| Cover Image | Proposed (3) Chaotic (Watermarking + Fusion in Frequency Domain) | Proposed (3) DRPE (Watermarking + Fusion in Frequency Domain) | ||
|---|---|---|---|---|
| Encryption | Decryption | Encryption | Decryption | |
| Adding Gaussian noise with variance = 0.1 | Cr (between the recovered watermark and the original one) | Adding Gaussian noise with variance = 0.1 | Cr (between the recovered watermark and the original one) | |
![]() | ![]() | ![]() | ![]() | ![]() |
| 0.64 | 0.66 | |||
![]() | ![]() | ![]() | ![]() | ![]() |
| 0.67 | 0.68 | |||
![]() | ![]() | ![]() | ![]() | ![]() |
| 0.56 | 0.6 | |||
![]() | ![]() | ![]() | ![]() | ![]() |
| 0.59 | 0.63 | |||
| Cover Image | Proposed (1) Chaotic (Watermarking-Single Watermark-Spatial) | Proposed (1) DRPE (Watermarking-Single Watermark-Spatial) | ||
|---|---|---|---|---|
| Encryption | Recover watermark | Encryption | Decryption | |
| Adding Gaussian noise with variance = 0.1 | Cr (between the recovered watermark and the original one) | Adding Gaussian noise with variance = 0.1 | Cr (between the recovered watermark and the original one) | |
![]() | ![]() | ![]() | ![]() | ![]() |
| Cr = 0.698 | Cr = 0.66 | |||
![]() | ![]() | ![]() | ![]() | ![]() |
| Cr = 0.725 | Cr = 0.69 | |||
![]() | ![]() | ![]() | ![]() | ![]() |
| Cr = 0.60 | Cr = 0.59 | |||
![]() | ![]() | ![]() | ![]() | ![]() |
| Cr = 0.61 | Cr = 0.62 | |||
| Cover Image | Proposed (2) Chaotic (Watermarking in Frequency Domain) | Proposed (2) DRPE (Watermarking in Frequency Domain) | ||
|---|---|---|---|---|
| Encryption | Recover watermark | Encryption | Decryption | |
| Adding Gaussian noise with variance = 0.1 | Cr (between the recovered watermark and original one) | Adding Gaussian noise with variance = 0.1 | Cr (between the recovered watermark and original one) | |
![]() | ![]() | ![]() | ![]() | ![]() |
| Cr = 0.676 | Cr = 0.6494 | |||
![]() | ![]() | ![]() | ![]() | ![]() |
| Cr = 0.732 | Cr = 0.6707 | |||
![]() | ![]() | ![]() | ![]() | ![]() |
| Cr = 0.588 | Cr = 0.5805 | |||
![]() | ![]() | ![]() | ![]() | ![]() |
| Cr = 0.7048 | Cr = 0.5917 | |||
| Proposed Technique 3 | Proposed Technique 2 | Proposed Technique 1 | ||
|---|---|---|---|---|
| Additive Gaussian Noise (Lena image) | Cr (chaotic) | 0.59 | 0.7048 | 0.61 |
| Cr (DRPE) | 0.63 | 0.5917 | 0.62 | |
| Cropping (Lena image) | Cr (chaotic) | 0.55 | 0.83 | 0.61 |
| Cr (DRPE) | 0.66 | 0.76 | 0.72 | |
| Rotation (Lena image) | Cr (chaotic) | 0.66 | 0.7 | 0.72 |
| Cr (DRPE) | 0.64 | 0.6 | 0.62 | |
Publisher’s Note: MDPI stays neutral with regard to jurisdictional claims in published maps and institutional affiliations. |
© 2022 by the authors. Licensee MDPI, Basel, Switzerland. This article is an open access article distributed under the terms and conditions of the Creative Commons Attribution (CC BY) license (https://creativecommons.org/licenses/by/4.0/).
Share and Cite
Abdallah, H.A.; Alkanhel, R.; Ateya, A.A. Novel Hybrid Fusion-Based Technique for Securing Medical Images. Electronics 2022, 11, 3421. https://doi.org/10.3390/electronics11203421
Abdallah HA, Alkanhel R, Ateya AA. Novel Hybrid Fusion-Based Technique for Securing Medical Images. Electronics. 2022; 11(20):3421. https://doi.org/10.3390/electronics11203421
Chicago/Turabian StyleAbdallah, Hanaa A., Reem Alkanhel, and Abdelhamied A. Ateya. 2022. "Novel Hybrid Fusion-Based Technique for Securing Medical Images" Electronics 11, no. 20: 3421. https://doi.org/10.3390/electronics11203421
APA StyleAbdallah, H. A., Alkanhel, R., & Ateya, A. A. (2022). Novel Hybrid Fusion-Based Technique for Securing Medical Images. Electronics, 11(20), 3421. https://doi.org/10.3390/electronics11203421

























































































































































































































































































































































































































